西安理工大学是中央与地方共建、陕西省重点建设的高水平大学,是国家中西部高等教育振兴计划——中西部高校基础能力建设工程实施院校,是我国西北地区水利水电、装备制造、印刷包装行业高级专门人才的重要培养基地和科研中心之一。作为我国首批获得博士、硕士、学士学位授予权的高校之一,学校现有14个博士学位授权一级学科,41个博士学位授权二级学科,有1个国家一级重点学科(涵盖 5个二级学科),21个陕西省重点学科,12个陕西省优势学科。
请记住,西安理工大学国标代码:10700
西安理工大学坐落于古都西安,建有金花、曲江、莲湖3个校区和1个大学科技园,地理位置优越,校园环境优雅,教研设施完备,学术氛围浓郁,文化底蕴深厚,历史遗迹丰富。金花校区已有六十多年历史,坐落于风景秀丽的兴庆公园旁;曲江校区2002年建成,与闻名中外的名胜古迹大雁塔比邻;莲湖校区建于1950年代,位于世界著名的“古丝绸之路”起点。学校科技园位于国家高新技术产业重要基地西安高新技术开发区,现代开放,充满活力。
日前,西安理工大学权威发布2018年在陕招生计划,陕西的考生们速来前排围观!
(1)本硕连读37名(提前批C段)
(2)艺术类168名
注:设计学类包括视觉传达设计、环境设计、产品设计3个专业;美术学类包括摄影、雕塑2个专业。
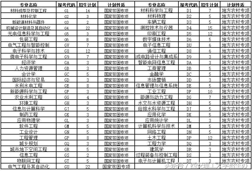
注:过程装备与控制工程、信息工程、电子与计算机工程3个专业学生在西安理工大学莲湖校区(西安市大庆路219号)由信息技术与装备工程学院培养。
再看近5年西安理工大学在陕西招生的分数线和位次变化。
与2017年相比,西安理工大学2018年在提前批与单设批次计划招生数量都没有发生变化,但本科一批计划招生量减少约170,其中,文史类不降反增,比去年多招收4个学生。据悉,西安理工大学近年来在全国第一志愿录取率均超过97%。欢迎各位学子踊跃报考西安理工大学,相遇美好风景,不负青春韶华!
获取更多校园资讯,欢迎关注“西安理工大学招生办”头条号
注:文章整理自西安理工大学官网
版权声明:我们致力于保护作者版权,注重分享,被刊用文章【西安理工大学主页(填报必看)】因无法核实真实出处,未能及时与作者取得联系,或有版权异议的,请联系管理员,我们会立即处理! 部分文章是来自自研大数据AI进行生成,内容摘自(百度百科,百度知道,头条百科,中国民法典,刑法,牛津词典,新华词典,汉语词典,国家院校,科普平台)等数据,内容仅供学习参考,不准确地方联系删除处理!;
工作时间:8:00-18:00
客服电话
电子邮件
beimuxi@protonmail.com
扫码二维码
获取最新动态
