这几天一直在网上追各种有关高考的热点,很多很感动的新闻。但谁也想不到,昨晚的热点流量,竟然被某大学的一位王教授分走了不少。
所以,今天吃个瓜,不过这个瓜,不是娱乐圈的瓜,而是一个普通大学老师的瓜。
人啊,说不清自己什么时候会突然爆红。这个每天在家给学生们上网课,长相斯文秀气、瘦弱白净的王教授,可能做梦也想不到,自己会出这样的纰漏。
在爆红之前,王教授是一个普通的老师,他出生于1982年,就职于一所大学海洋学院,是该学院的讲师、硕士生导师。
背书完毕,来看看王教授最近做了些什么?
7月6日,王教授在网上跟同学们上课,这和往常一样。
结果,网课课间休息的时候,王教授竟然忘记了关自己的微信聊天界面,没想到,短短10分钟,就被围观的学生看到:他和2个女性朋友聊天,而且其中还是一名孕妇。
下面先给大家看一下聊天记录截图。
也有热心网友,把王教授的聊天记录,整理成了一份书面的内容。
最后,有学生好意提醒:老师,你的微信是不是忘记关了?
这时候,王老师才仓皇发现,自己为人师表,竟然在直播过程。可惜,截图早就无法控制地传出去了。
仅有的几张截图,可以得出38岁王教授的管理方式和喜好——
聊天直播的10分钟,王教授就和3位女性聊天,其中两位的聊天内容已经直白地涉及到不正常男女关系。另一个叫琳琳的,只是吃饭,但也不清楚两人关系。
可见,王教授的效率非常高。
作为一个每天要上课、要搞学术、要照顾妻儿的中年男人,还要忙着应付这么多女人,不做好强大的时间管理,是不可能完成这么多事情的。
王教授是一位很谨慎的中年已婚男人。
何以见得?你看,短短10分钟就有2位女性,她们的名字都是南沙地产X号。这两个名字,绝对不是巧合,两个女人的微信也不可能叫南沙地产n号。
显然,这个南沙地产n号,是王教授发给每个和自己有染的女人的“爱的号码牌”,是王氏后宫编号,这样做的目的,是不是为了躲避妻子的巡查,不得而知。但是,聪明的王教授这样做,肯定是有目的的。
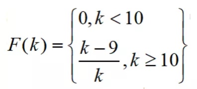
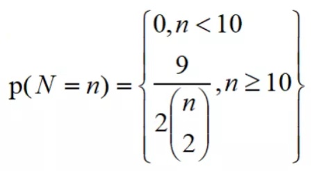
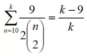
7月6号10分钟内出现的,一个是南沙地产8号,一个是南沙地产10号。那么显然,王教授至少有10个女友。
不过,也有较真的数学成绩优秀的网友,却根据出现的时间和人数、再用一系列数学概率学,精确计算出,王教授最少和10名女性有关系,最多90名。
公式如下,数学好的小伙伴,可以试一试。
渣男,在被撕掉画皮之前,都是暖男。
因为暖,才让女人感到温柔体贴,让女人无法控制地喜欢啊。一个言语粗糙、凶巴巴的男人,一般是不会找女人喜欢的,当然用钱砸,另当别论。
王教授呢,是一个拿着工薪族工资要养家糊口的中年男人,资金其实很有限,何况是和这么多女人有关系。
显然,用钱砸,是行不通的,也非常不划算的。
那么,暖男和才华,是王教授的最好的两副牌,因为这两副牌都不需要花钱,并且,可以简单地在无数女人身上无限次数复制。
我们可以假设自己是王教授的其中一位女友,如果你不知道他还找了其他女人,你会不会觉得这个王教授温柔体贴又儒雅?
对于孕妇(编号8)的寂寞求欢,他温柔地说:今天不行,今天比较忙(其实,王老师不忙,只是王老师找了另一个女人去酒店)。然后,王老师又温柔地说:你的肚子开始大了吧,我怕把你压坏了。
对于南沙地产10号,王老师的言语之间也是非常有礼貌,安排也是井然有序,先吃饭,再做ai,然后,他还没说完计划,就发现,聊天记录被直播了。
如果聊天记录不曝光,6号的下午,对于王教授一定是个快乐的下午——上午忙工作,中午下午和“女友”约会,傍晚时分,他心满意足地回到家,为妻子和孩子烧晚饭。晚上,有空的时候,再和其他几个排序的女网友聊聊骚。
如果这次聊天记录没曝光,王教授显然是一个妻子眼中的好男人。大家可以注意一个细节,王教授的微信头像,是一对影子,一高一低,一男一女,作为一个已婚的男人,那个矮的影子显然就是妻子的影子。
一个爱妻子的男人,才会把夫妻的影子作为头像啊。而且,很可能还把老婆的微信置了顶。
不过,这个微信并没压抑住他贪婪的灵魂。他一边做着爱妻子的好丈夫人设,一边疯狂出轨。
可惜,常在河边走,没有不湿鞋的,王教授突然翻车了。
王老师婚外多人运动,肯定不对。但我今天想和女读者说点心里话。
其实,做这么多年的情感博主。有很多读者对我进行情感倾诉,其中,婚外情的倾诉特别多,而这一类倾诉中,95%都是女人。
并不是说婚内出轨的女性比男性多,这事,一个萝卜一个坑,女人多,男人也多。只不过,大多数出轨的男人,并没把婚外情当成一个多大的事儿来看。他们没投入太多深情,自然也不会有什么伤痕和纠结。
“喜欢,就在一起开心。不喜欢,没感觉,就散。”这是我采访过大多数出轨男性的主要心理。
可是,女人却非常容易在感情中认真。
很多出轨女性,总是以为自己在婚外遇到了真爱,与之相见恨晚。新鲜感散尽,当婚外情中的男人要离开的时候,女人往往都哭的死去活来,想拼死挽回。
甚至有的女读者会花几万块钱,找各种机构做挽回。
让人看着无奈也心疼,一声叹息。
别动不动就把婚外情上升到什么爱情的地步。大多数婚外情,不过是源于性欲望,或者是因为寂寞,真爱的成分,就像果汁里含的水果一样,真真少得可怜!
大多数婚外情的男人,都和这个王教授一样,既不想出太多钱也不想给名分,甚至也完全做不到专一,他们找你,绝对不是因为你好,只是因为你傻、因为你缺爱、因为你贪婪。
可惜,很多女读者就是死也不信,非说对方对她是真爱。苦苦抱着一个想离开的婚外男人,卑微地一遍遍说:爱我爱我。
今天,我希望这些女读者看完王教授的聊天记录,能够有所思考——
1、内心不够强大、没足够能力承担后果的女人,不要触碰婚外情。
2、如果你执意要去尝试婚外情,请问问自己能否承担后果,并且不要有太多爱情的幻想,别动不动拿“爱情”说事。
多用男性思维来理解和处理一切。因为,很可能,你以为婚外的那个他在全心全意爱你,你以为他非你不可,可惜,你在他那里,也许只是一个编号10。
3、婚内的问题,首先向内找原因,而不是向外去出轨,来逃避问题和现实。因为,婚外的甜蜜,从来都是饮鸩止渴。
版权声明:我们致力于保护作者版权,注重分享,被刊用文章【中山大学副教授(中山大学副教授网课直播)】因无法核实真实出处,未能及时与作者取得联系,或有版权异议的,请联系管理员,我们会立即处理! 部分文章是来自自研大数据AI进行生成,内容摘自(百度百科,百度知道,头条百科,中国民法典,刑法,牛津词典,新华词典,汉语词典,国家院校,科普平台)等数据,内容仅供学习参考,不准确地方联系删除处理!;
工作时间:8:00-18:00
客服电话
电子邮件
beimuxi@protonmail.com
扫码二维码
获取最新动态
