距离高考还有不到一个月的时间,高考提前批志愿填报时间为高考成绩及分数线公布后,预计会在6月底开始填报,填报志愿的地址为考生所在省份的教育考试院官网。今年受疫情影响大部分综合类、师范类大学都取消了艺术类校考,并直接以统考成绩由高到低录取。这其中既包含了985/211院校,同时也有四川音乐学院在内的艺术类院校。到底考到省内多少分才能报考名校?你的分数又能报考什么样的大学呢?
院校在发布招生简章时都会在招生计划中罗列出招生省份、人数,因此如果要报考外省的学校,考生们最好提前查明该院校今年在你所在的省份是否有招生计划,再根据各省份公布的一分一段表看看自己在省内的排名,并通过排名确定你的名次是否在有效范围之内。
部分省份官方不会发布一分一段表,但学生可以从准考证上直接查询到相关排名信息。小韵为大家更新了一下已经发布统考成绩省份的一分一段表,看看你在哪个名次吧。
(注:本文中只包括已发布省份数据,后续会持续更新,文章篇幅较长,大家可以重点关注自己的省份,具体数据以各省发布的官方信息为准。)
音乐类:(不含少数民族特色方向)
音乐类(少数民族特色):
音乐类(历史科目组合):
音乐类(物理科目组合):
音乐学专业:
音乐表演(声乐):
音乐表演(器乐):


音乐表演专业统考成绩统计表:
音乐学专业统考成绩统计表:
汉授音乐:
蒙授音乐:
音乐学类(音乐学):
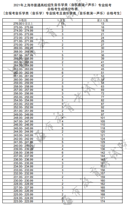
音乐学类(音乐表演—声乐)
音乐学类(音乐表演—器乐)
以上就是小韵为大家汇总的各省已发布的一分一段表啦~很多考生省统考排名比较靠前,但没有达到自己理想院校的招生名额范围,因此担心会落榜。小韵建议大家参考一下院校往年的录取数据,因为统考成绩排名靠前的很多考生可能都选择了走校考这条路,而剩下的考生们也有可能会报考全国各地不同的学校,毕竟统考的选择范围比较大,这也意味着报考经验十分重要啦~
如果大家有任何报考上的问题,比如自己的统考成绩可以报考什么样的院校?或者自己目前的水平是否可以通过统考和校考?都可以在文章下方留言,小韵会为大家解答~
版权声明:我们致力于保护作者版权,注重分享,被刊用文章【黑龙江高考成绩一分一段表(2021年各省音乐类统考一分一段表最全汇总)】因无法核实真实出处,未能及时与作者取得联系,或有版权异议的,请联系管理员,我们会立即处理! 部分文章是来自自研大数据AI进行生成,内容摘自(百度百科,百度知道,头条百科,中国民法典,刑法,牛津词典,新华词典,汉语词典,国家院校,科普平台)等数据,内容仅供学习参考,不准确地方联系删除处理!;
工作时间:8:00-18:00
客服电话
电子邮件
beimuxi@protonmail.com
扫码二维码
获取最新动态
