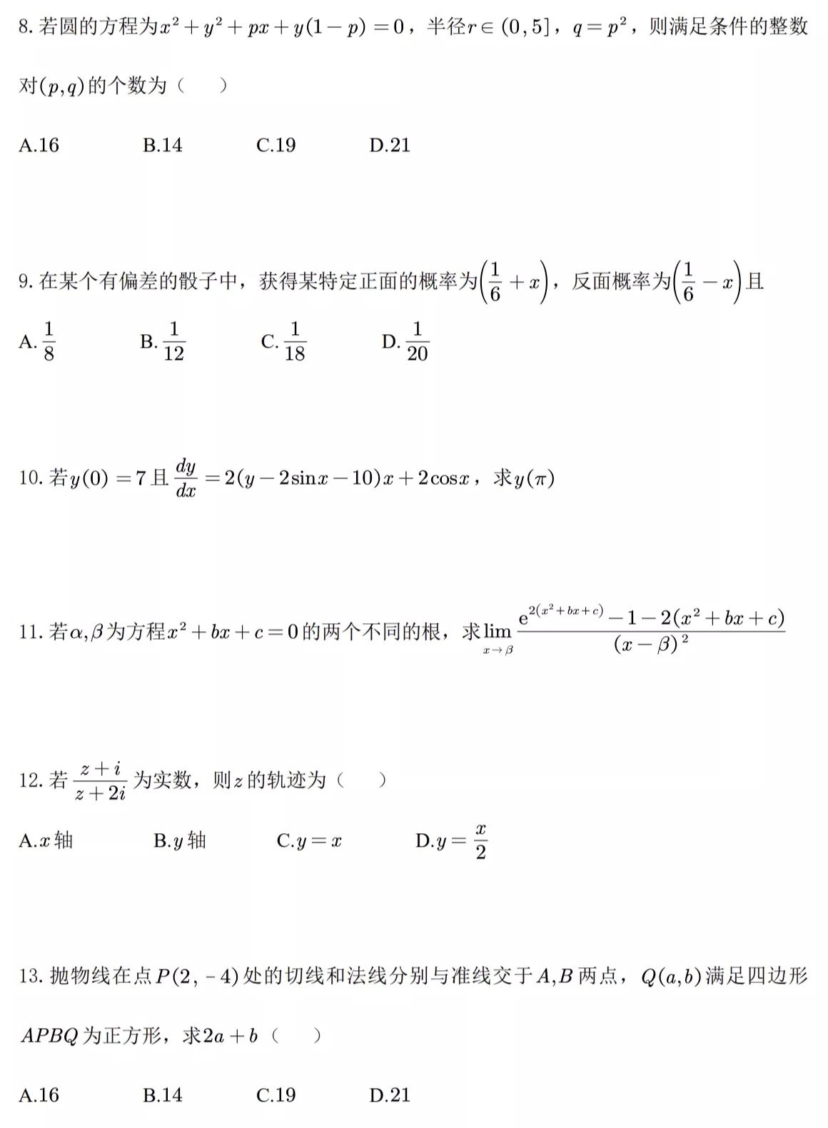
看过电影《三傻大闹宝莱坞》的朋友都知道,在印度,人们通常认为,一流学生上印度理工学院,二流的学生才选择国外著名大学.因此,几乎所有的印度学生都将印度理工学院视为自己理想学府,并为之而奋斗.在印度的高等教育系统中,印度理工学院拥有自己独立的管理系统,其入学考试也区别于一般的大学入学考试,他们通过理工学院联合入学考试JEE (Joint Entrance Examination)来招收学生. JEE被誉为“世界上最可信的和最具竞争性的入学考试之一”,为各印度理工学院招收了大量高素质学生.每年约有 20 万考生报名参加该考试,而录取率仅为2%左右.
其初试名为“JEE Main”,每年举行两次.学生可以参加两次考试,取其中最高的成绩,在JEE Main中名列前茅的考生可参加JEE Advanced (联合入学考试复试).
JEE Advanced (以前称为IIT-JEE)是JEE考试的第二轮,在JEE Main考试之后进行,通常由印度理工学院七个不同的校区轮流举行.
JEE Main所有试题均为单选题,线上进行测试.
版权声明:我们致力于保护作者版权,注重分享,被刊用文章【印度高考(印度高考数学究竟有多难)】因无法核实真实出处,未能及时与作者取得联系,或有版权异议的,请联系管理员,我们会立即处理! 部分文章是来自自研大数据AI进行生成,内容摘自(百度百科,百度知道,头条百科,中国民法典,刑法,牛津词典,新华词典,汉语词典,国家院校,科普平台)等数据,内容仅供学习参考,不准确地方联系删除处理!;
工作时间:8:00-18:00
客服电话
电子邮件
beimuxi@protonmail.com
扫码二维码
获取最新动态
