考研确定自己的目标院校之后,需要注意它往年的录取分数线(校线)和报考专业的录取分数线(院线),前者决定你能不能参加校内调剂,后者决定你能不能参加本专业面试。参照这个院线分数,上下浮动10分左右制定你的目标分数。
学校有中医学、中药学、中西医结合、护理学4个一级学科及中医1个专业学位博士学位授权点。11个一级学科硕士学位授权点:中医学、中药学、中西医结合、护理学、药学、生物学、基础医学、临床医学、公共管理、科学技术史、软件工程。5个专业学位授权点:中医、中药学、药学、护理、应用心理。3个博士后科研流动站:中医学、中药学、中西医结合。











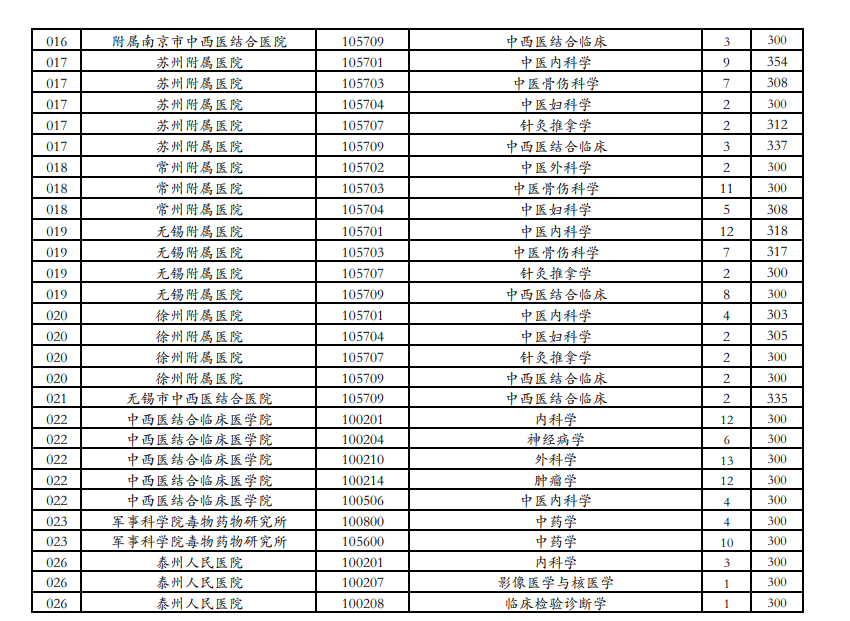
这个是基本复试线,不代表过了线就可以考上,只能说如果你连这条线都达不到,那么就没有复试的机会!初复试比为1:1,复试占比很高,逆袭的可能也就更大。按1:1.2进复试,即录取名额如是10个,则12个人进复试。而且南京复试没有单科线,也就是说不论一志愿还是调剂,英语都只要过一区国家线就可以。

南中医作为中医类院校的老名校,分数一直都很高,所以各个专业分数线大部分都在三百五以上,而我们都知道擦线进复试可是很危险的,如果知道自己分数不高,那么就两种选择,努力冲专业知识准备复试和迅速联系别的院校找老师调剂。
版权声明:我们致力于保护作者版权,注重分享,被刊用文章【2017南京中医药大学录取分数线(南京中医药大学近3年硕士研究生招生复试基本分数线)】因无法核实真实出处,未能及时与作者取得联系,或有版权异议的,请联系管理员,我们会立即处理! 部分文章是来自自研大数据AI进行生成,内容摘自(百度百科,百度知道,头条百科,中国民法典,刑法,牛津词典,新华词典,汉语词典,国家院校,科普平台)等数据,内容仅供学习参考,不准确地方联系删除处理!;
工作时间:8:00-18:00
客服电话
电子邮件
beimuxi@protonmail.com
扫码二维码
获取最新动态
