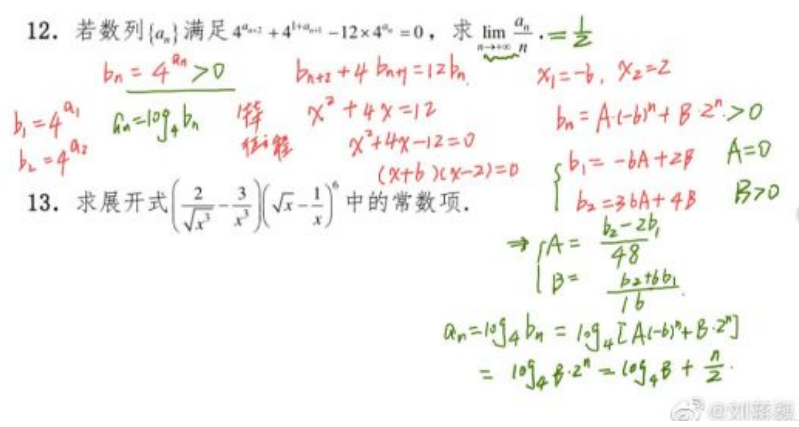
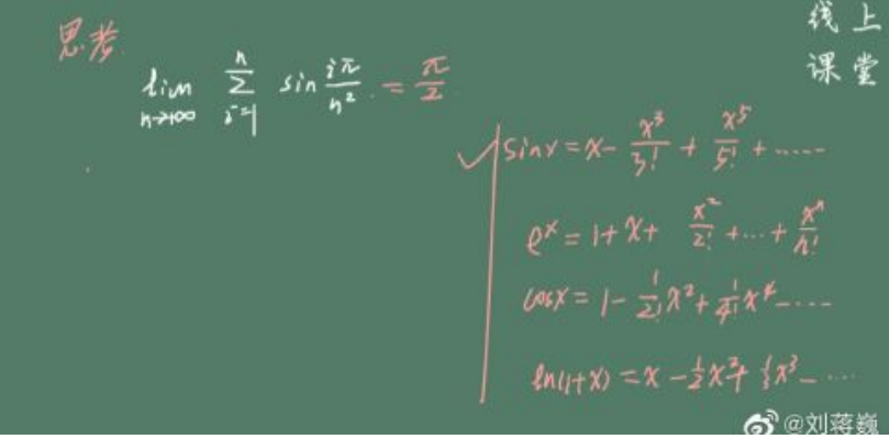
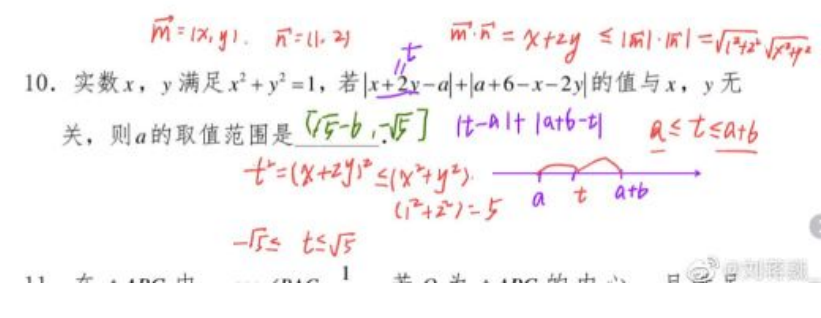
刘蒋巍:复旦大学强基计划数学串讲(2022)
刘蒋巍,代表作品《2018年自主招生模拟试题及解答》、《高中联赛经典题讲解(江苏预赛) 》、《抽屉原理——江苏高中数学复赛系列课程》、《数学压轴题的特征、破解之道及训练方法》、《命题人讲座:高考题是怎么出的(导数)》、《命题人讲座:高考题是怎么出的(圆锥曲线) 》、《高考题数学是怎么出的——以三角、向量为例》、《高等数学背景下的高考数学命题研究》、《高考数学题出题背景——数列的子列问题》、
《新高考数学极值点偏移压轴题出题背景及命题推广 》、《2021高三八省联考数学卷的导向性分析及数学关键能力的培养》、《新高考:以幂级数为背景的高考题》、《江苏高考数学真题讲析 》、《上海11年高考数学命题趋势研究(2010~2020)》、《2018年江苏高考数学命题的核心素养分析》、《2017年江苏高考数学分析报告》、《2016江苏高考数学填空题的命制、改编及解法探究》、《一道高中数学联赛模拟题的命制与解析》、
《2021年南京师范大学转专业考试仿真练习(命题人:刘蒋巍)》、《高等数学<函数与极限、导数的概念>测试(命题人:刘蒋巍) 》、《一道考研数学题的源与流》、《一道考研数学题的命题研究》、《一道积分不等式的命题研究——演绎深化,逆推生成》等300余部。
版权声明:我们致力于保护作者版权,注重分享,被刊用文章【上海大学数学系(刘蒋巍)】因无法核实真实出处,未能及时与作者取得联系,或有版权异议的,请联系管理员,我们会立即处理! 部分文章是来自自研大数据AI进行生成,内容摘自(百度百科,百度知道,头条百科,中国民法典,刑法,牛津词典,新华词典,汉语词典,国家院校,科普平台)等数据,内容仅供学习参考,不准确地方联系删除处理!;
工作时间:8:00-18:00
客服电话
电子邮件
beimuxi@protonmail.com
扫码二维码
获取最新动态
