@杜永堂的子墨课堂子墨老师带你傲游大学海洋…
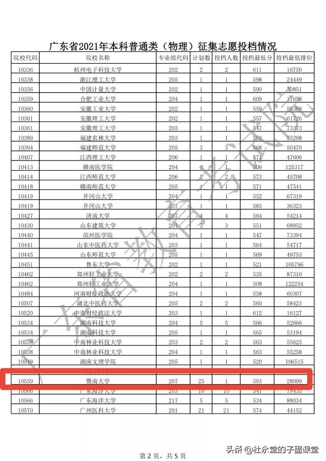
在本科批次招收学生,感觉整体分数还算正常!物理类考生排位4.5万左右…
子墨高考
也就是我们说的中外合办专业,2021年招生要求,大家留意了吗?
第一条:数学≥113,外语≥120,这会堵多少人出去…
第二条:学费70000每年,对于广东娃都是小意思了
子墨高考
它在2021年广东省物理类公开了四个中外合办专业,四个都参加征集计划!
信息与计算科学,计划征集5人
经济统计学,计划征集8人
经济学,计划征集7人
数学与应用数学,计划征集5人
子墨高考
子墨高考
征集结果让大家意想不到的是…
计划征集25人,结果只有一个人参加征集!
子墨高考
子墨高考
版权声明:我们致力于保护作者版权,注重分享,被刊用文章【2016暨南大学最低排位(暨南大学伯明翰学院)】因无法核实真实出处,未能及时与作者取得联系,或有版权异议的,请联系管理员,我们会立即处理! 部分文章是来自自研大数据AI进行生成,内容摘自(百度百科,百度知道,头条百科,中国民法典,刑法,牛津词典,新华词典,汉语词典,国家院校,科普平台)等数据,内容仅供学习参考,不准确地方联系删除处理!;
工作时间:8:00-18:00
客服电话
电子邮件
beimuxi@protonmail.com
扫码二维码
获取最新动态
