9月15日下午,安徽省政府新闻办召开安徽省高考综合改革新闻发布会,安徽省从2021年秋季入学的高一学生开始,实施高考综合改革。针对这次改革所涉及的问题,安徽省教育厅整理了政策解读问答,供广大考生、家长和老师参阅!
01
国家实施高考综合改革的背景和意义是什么?
考试招生制度是国家基本教育制度。恢复全国统一高考40多年来,伴随着我国政治、经济及教育体制改革的步伐,高考招生制度不断改进完善,初步形成了相对完整的考试招生体系,为学生成长、国家选才、社会公平作出了历史性贡献,成功走出了一条具有中国特色、基本符合中国国情的人才选拔道路。这一制度总体上符合国情,权威性、公平性得到社会的普遍认可,但也存在一些社会反映强烈的问题,主要有“唯分数论”影响学生全面发展,“一考定终身”使学生学习负担过重等。
新一轮考试招生制度改革作为党中央确定的重大政治任务,是党中央、国务院直接领导和推动的重大改革。党的十八届三中全会通过了《中共中央关于全面深化改革若干重大问题的决定》(以下简称《决定》),对高考综合改革作出了全面、系统的部署,明确要求推进考试招生制度改革,探索招生和考试相对分离、学校依法自主招生、专业机构组织实施、政府宏观管理、社会参与监督的运行机制,从根本上解决“一考定终身”的弊端。
02
我省高考综合改革实施方案是怎样出台的?
党的十八届三中全会《决定》对深化考试招生制度改革做出了全面部署;2014年9月,国务院下发了《关于深化考试招生制度改革的实施意见》(以下简称《实施意见》),并确定上海市、浙江省为首批高考综合改革试点省市,新一轮高考综合改革正式拉开帷幕。2017年,北京市、天津市、山东省、海南省启动第二批高考综合改革试点。2018 年,河北省、辽宁省、江苏省、福建省、湖北省、湖南省、广东省、重庆市实施第三批高考综合改革。2021年,吉林省、黑龙江省、安徽省、江西省、广西壮族自治区、贵州省、甘肃省实施第四批高考综合改革。
国务院《实施意见》出台后,省委、省政府高度重视,把推进考试招生制度改革列入重要议事日程,并作为促进教育公平、深化教育改革的重要抓手进行全面部署。在省委、省政府坚强领导下,省教育厅组织专门力量,认真学习领会中共中央、国务院《深化新时代教育评价改革总体方案》和国务院《实施意见》精神,积极借鉴前三批启动高考综合改革省市成功经验,充分考虑我省原有高考模式、基础教育发展水平、高等教育和学科专业布局等因素,严格按照重大行政决策程序,因地制宜制定高考综合改革方案。
方案研制过程中,我省组织开展了深入系统调研,通过召开系列座谈会、开展问卷调查等,广泛征求省人大、省政协,市、县(市、区)教育行政部门、考试机构、教研机构、本专科高校、普通高中、中职学校等部门、学校,以及有关专家和学生、家长等各方面的意见,重点围绕选课走班、考试科目设置、等级赋分等重点难点问题开展专题研究,经过不懈攻关,先后经过60余次专题会议研究,制定了《安徽省深化普通高校考试招生综合改革实施方案》(以下简称《实施方案》),开展专家论证、风险评估、合法合规性审查,经省政府常务会审议通过,报省委审定,由省政府报教育部备案批复后,正式印发执行。
03
我省高考综合改革的指导思想和目标是什么?
指导思想:以习近平新时代中国特色社会主义思想为指导,认真贯彻落实党的十九大和十九届二中、三中、四中、五中全会精神,按照全国教育大会部署,全面贯彻党的教育方针,落实立德树人根本任务,培养德智体美劳全面发展的社会主义建设者和接班人。坚持有利于引导普通高中育人方式改革、有利于促进高校科学选拔人才、有利于维护社会公平的原则,实施普通高校考试招生制度综合改革,构建更加公平公正、科学高效的普通高校考试招生制度,满足人民群众日益增长的接受优质、多样化教育的需求,适应经济社会发展对多样化高素质人才的需要,为建设新阶段现代化美好安徽提供人才支撑和智力支持。
改革目标:2021年启动普通高校考试招生综合改革。改革考试科目设置,全面实施普通高中学业水平考试和综合素质评价制度,完善高校招生录取方式。到2024年,形成分类考试、综合评价、多元录取的考试招生模式,健全促进公平、科学选才、监督有力的高校考试招生体制机制,形成依据国家统一高考和高中学业水平考试成绩,参考综合素质评价的多元录取机制。
04
我省高考综合改革主要内容是什么?
我省这次高考综合改革是对高考招生制度的整体设计,是一次综合、系统、全面的改革,主要包括五个方面内容:一是完善普通高中学业水平考试制度,明确了考试科目设置、考试内容、考试对象和时间、成绩呈现等;二是深化高考考试科目改革,明确了考试科目设置、成绩构成及计分方式、考试时间及形式等;三是实施高中阶段学生综合素质评价制度,明确了完善评价体系和强化评价使用;四是改革统一高考招生录取模式,明确了加强学生发展指导、建立科目引导机制、完善志愿设置和投档办法等;五是深化高职院校分类考试招生改革。
05
我省高考综合改革从哪一年开始实施?
根据教育部总体安排,我省作为第四批推进高考综合改革省份之一,从2021年秋季入学的高一年级学生开始实施,到2024年,我省普通高校统一考试招生录取将建立基于统一高考和普通高中学业水平考试成绩、参考综合素质评价的招生录取新机制,简称“两依据一参考”。
06
什么是普通高中学业水平考试?
普通高中学业水平考试是根据国家普通高中课程标准和教育部有关规定,由省级教育行政部门组织实施的国家考试,主要衡量学生达到国家规定学习要求的程度,是保障教育教学质量的一项重要制度。
普通高中学业水平考试根据其考试定位、性质和作用,分为合格性考试和选择性考试。合格性考试成绩是普通高中学生毕业以及高中同等学力认定的主要依据;选择性考试成绩纳入高考总成绩,作为高校招生录取的依据之一。
07
完善和强化普通高中学业水平考试制度的目的是什么?
一是促进学生全面发展。引导学生认真学习每一门课程,避免严重偏科现象,全面提高综合素质。二是促进学生个性发展。计入考生高考总成绩的选择性考试科目,学生须根据高等学校招生要求以及普通高中办学条件,充分考虑自身兴趣、志向、优势,自主科学合理选择。三是促进高中教育质量提升。通过普通高中学业水平考试制度改革,引导高中落实课程方案,加强课程实施,提高办学质量。四是促进高校科学选才。高校可以针对专业人才培养需要,通过合理设置招生录取科目要求,提高选拔人才的针对性和有效性。
08
合格性考试包括哪些科目?内容范围是什么?
合格性考试覆盖国家课程方案规定的除劳动和综合实践活动外的所有科目,包括语文、数学、外语、思想政治、历史、地理、物理、化学、生物学、信息技术、通用技术、音乐、美术、体育与健康。合格性考试内容范围为普通高中学科课程标准规定的必修内容。
09
合格性考试的考试对象是哪些?
普通高中应届生均须参加学业水平考试合格性考试,高中阶段其他在校生和符合条件的社会人员也可报名参加。普通高中在校生通过其学籍所在学校办理合格性考试的报名手续;高中阶段其他在校生和符合条件的社会人员在户籍所在地招生考试机构或指定的报名点办理报名手续。
10
合格性考试如何组织考试?
合格性考试科目中的语文、数学、外语、思想政治、历史、地理、物理、化学、生物学、信息技术、通用技术,全省统一组织命题、考试、阅卷,统一公布成绩,合格性考试中的其他科目全省统一制定要求,各市制定实施方案,学校依据规定组织考试。
11
合格性考试成绩如何呈现和运用?
全省统一组织的合格性考试成绩以“合格”“不合格”呈现。
合格性考试各科成绩合格,是普通高中学生毕业及高中同等学力认定的主要依据。普通高中应届生只有通过合格性考试,方可参加该科目的选择性考试。
合格性考试科目成绩纳入学生综合素质评价,同时也是普通高中学校课程管理和教学质量监测的重要参考依据。
12
选择性考试包括哪些科目?内容范围是什么?
选择性考试科目包括思想政治、历史、地理、物理、化学和生物学。考试内容以普通高中各学科国家课程标准规定的必修课程和选择性必修课程的综合要求为准。
13
学业水平考试各门科目的考试方式和考试时间怎么安排?
学业水平考试合格性考试每门科目的考试方式和时间分别为:语文、数学、外语(不含听力)科目合格性考试采用书面笔试方式,考试时间均为90分钟。思想政治、历史、地理、物理、化学、生物学等科目合格性考试采用书面笔试方式,时间均为60分钟;信息技术、通用技术科目合格性考试合卷并采用上机考试方式,时间共60分钟。
学业水平考试选择性考试每门科目考试采用书面笔试方式,时间均为75分钟。
具体报名时间、开考科目、考试时间、报名方式等,省教育厅将提前公布,便于学校安排教学及考生报名考试。
14
合格性考试和选择性考试的区别是什么?
合格性考试与选择性考试主要有以下五个方面的区别:
一是考试目的不同。合格性考试的目的是检查全体高中学生是否达到了普通高中课程方案和课程标准规定的基本学业要求,可以称为“强化基础”;选择性考试的目的则是在“强化基础”的前提下,凸显不同高中生在学业修习上的学科特长,可以称为“突出个性”。
二是考试科目不同。合格性考试覆盖国家课程方案规定的所有学习科目。选择性考试是学生根据自身兴趣、志向、优势和高等学校招生要求以及普通高中办学条件,在物理、历史2门科目中首选1门,在思想政治、地理、化学、生物学4门科目中再选2门,共计3门科目。
三是考试范围不同。合格性考试范围为各学科课程标准确定的必修内容;选择性考试范围为各学科课程标准确定的必修和选择性必修内容。
四是成绩呈现不同。合格性考试科目成绩以“合格”和“不合格”呈现。选择性考试中,首选科目成绩以原始分呈现;再选科目成绩以等级分呈现。选择性考试成绩当年有效。
五是考试时间不同。合格性考试时间安排在高二第一学期末。成绩不合格的应届生可在高三第一学期(9月份)再参加一次合格性考试。选择性考试自2024年起实施,每年组织1次,时间紧随统一高考之后进行。
15
计入高考总分的考试科目有哪些?
计入高考总分的考试科目共有6门,即“3+1+2”。“3”为语文、数学、外语3门全国统一考试科目,不分文理科;“1”为在物理、历史2门选择性考试科目中选择1门;“2”为从思想政治、地理、化学、生物学4门选择性考试科目中选择2门。
16
高考的考试形式及时间怎么安排?
语文、数学、外语3门统考科目,按照国家统一高考时间进行,选择性考试科目的考试紧随统一高考之后进行。外语科目考试由听力和笔试两个部分组成,在条件成熟后,外语科目提供两次考试机会。
17
高考总成绩是如何组成的?
高考总成绩满分750分。考生总分由语文、数学、外语3门统考科目成绩和考生自主选择的3门学业水平考试选择性考试科目成绩组成。其中,语文、数学、外语满分均为150分,以原始分计入总分;学业水平考试选择性考试科目满分均为100分,历史和物理科目以原始分计入总分,思想政治、地理、化学、生物学以等级分计入总分。各科成绩当年有效。
18
考生确定选考科目时,为什么要在物理或历史中选1门,在其余4门中选2门?
我省《实施方案》规定,考生在确定高中学业水平考试选择性考试科目时,应在历史和物理2门首选科目中选择1门,然后在思想政治、地理、化学、生物学4门再选科目中选择2门。这样设置的主要考虑:一是体现高校人才培养需要。高校、普通高中和学科专家普遍认为,在高校人才培养中,物理是自然科学类专业的基础性学科,历史是人文社会科学类专业的基础性学科。高中阶段学习物理或历史科目是大学阶段学习自然科学类专业或人文社科类专业以及其他交叉学科专业的重要基础。因此,将这两个科目作为首选科目,有利于考生为进入大学开展专业学习奠定扎实基础,有利于高校相关专业对学生的培养。二是符合我省普通高中教育教学实际。我省各地普通高中办学条件存在一定差异,将物理和历史作为考生首选的科目之一,可以与现有师资、教室等条件有效衔接,引导不同地区中学的学生合理选择学习科目,科学规划学业生涯,为进入大学继续深造奠定坚实的专业基础。三是有利于学生多样化成长发展。学生可从4门再选科目中选择2门参加选择性考试,理论上有12种组合。相比改革前文理分科的两种学科组合方式,不仅增加了学生的选择权,而且促进了文理交融,充分体现了以人为本、学其所好、考其所长的原则,更加符合教育发展规律和人才成长规律,为学生成长成才提供更多机会。
同时,为了便于投档录取,高校在安排招生计划时,将分物理和历史两个类别分别编制;在录取时,也将按照首选物理的考生和首选历史的考生两个序列分别排队录取。也就是说,同一名考生无法同时在物理和历史两个队列中排队录取,因此考生只能从物理和历史中选择1门参加选择性考试。
19
高考实施“3+1+2”模式和传统的文理分科有何区别?
“3+1+2”的模式和传统的文理分科有着本质上的区别。一是目标导向不同。“3+1+2”的模式既体现了物理、历史学科的基础性作用,突出了高校不同学科专业选才的要求,也更加注重学生的全面发展,提高学生的综合素质。二是选择科目组合不同。“3+1+2”的模式,学生可根据个人爱好、兴趣、特长和拟报考学校和专业的招生要求以及高中学校的办学条件,在12种组合中自主选择,增大了考生的选择面。而传统文理分科仅有2种固定的组合供考生选择。其中,文科考生只能选择思想政治、历史、地理1种固定组合,理科考生只能选择物理、化学、生物学1种固定组合。三是考试内容不同。“3+1+2”的模式,学生参加全国统一高考的语文、数学、外语3个科目考试时不分文理,所有考生的考试试卷完全一致。而传统文理分科的数学考试科目,试卷的内容和难度则是有区分的。
20
选择性考试科目选择组合有哪些?
选择性考试科目理论上有12种组合,具体如下:
21
考生如何确定选择性考试科目?
科学合理确定选考科目主要是要结合自身兴趣特长和优势、高校招生专业选考科目要求和普通高中办学条件进行选择。首先,考生可根据个人志向、兴趣爱好、自身优势等因素,按照对各科的喜好程度进行选择。其次,考生要结合报考院校相关专业选考科目要求进行选择。再次,考生可根据所在高中的办学条件、特色优势等进行选择。
22
选择性考试科目什么时候确定?
选择性考试科目由学生在合格性考试结束后选择,在高考报名时最终确定,高考报名结束后不可更改。考生在选择过程中,应慎重考虑。一是无论哪一学科的学习,随着内容难度的增加,都可能会遇到困难,有时成绩还会暂时下滑,这属于正常现象;二是选科后,各学科就开始学习所选科目选择性必修内容,如果一段时间后再更换学科,已经进行的课程很难补课。因此,建议学生选科时要综合考虑各种因素,征求家长、老师的意见,科学选择,尽量避免更换学科。
23
选择性考试如何组织考试?考试对象是哪些?
选择性考试由省里统一命题、统一考试、统一组织阅卷、统一公布成绩。选择性考试从2024年开始实施,每年组织1次,考试时间紧随全国统一高考进行,考试成绩当年有效。选择性考试的对象为符合教育部和我省规定的普通高校招生考试报名条件并已报名参加我省普通高校招生考试的人员。
24
选择性考试科目的成绩如何呈现和运用?
选择性考试科目中首选科目物理或历史成绩以原始分呈现,计入高校招生录取总成绩;再选科目成绩以等级分呈现,计入高校招生录取总成绩。
25
为什么物理和历史按原始分计入高校招生录取总成绩?
我省方案确定,在录取时选考物理科目类和选考历史科目类的考生将分列计划、分开录取。因此,选择物理(或历史)的考生使用同一物理(或历史)试卷,考试群体相同,成绩具有可比性,可以使用原始分计入高校招生录取总成绩。
26
为什么思想政治、地理、化学、生物学科目成绩要实行等级赋分?
首选科目相同的考生,可以在思想政治、地理、化学、生物学科目中,根据个人兴趣特长和高校招生选考科目要求,选择不同再选科目计入高考总成绩。由于再选科目中不同学科试题难度差异和报考相应学科的考生群体不同,选考科目的原始分不具有可比性。如,考生甲选考思想政治,考生乙选考化学,两人都考了80分,考生甲排在所有选考思想政治考生的第100位,考生乙排在所有选考化学考生的第1000位。若简单将他们各科成绩相加计入高考总成绩并进行比较,既不科学也不公平。因此,需要将不同科目的原始分按照一定规则通过转换得到等级分(转换后考生选考科目成绩排队顺序不变),以解决再选科目的原始分不具有可比性的问题。
27
等级分是如何转换的?
等级分是按统一规则,由原始分进行等级划定后,再由等级转换而来的分数。
对于某一再选科目,考生该科目的合格性考试成绩达到合格后,转换时赋分起点为 30 分,满分为 100 分。按照选择性考试科目考生的原始分从高到低划定A、B、C、D、E共5个等级,各等级人数所占比例分别约为15%、35%、35%、13%和2%。将A至E五个等级内的考生原始分,依照等比例转换原则,分别对应转换到100~86、85~71、70~56、55~41和40~30五个分数区间,得到考生的等级分。
(1)分数转换参数设置
(2)转换公式

其中:
(3)转换步骤
第一步,将同一门选择性考试科目考生的原始分从高到低依次排序,按照分数转换参数表确定的等级比例,依次将考生的原始分划定A、B、C、D、E共5个等级,得到每个等级考生原始分的分布区间;
第二步,同一等级内,根据考生的原始分、所在等级的原始分区间和转换分区间,按照分数转换公式,计算得到考生的转换分。
(4)转换示意图及示例
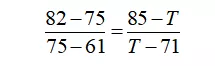
假设某考生思想政治科目合格性考试成绩达到合格,选择性考试科目原始分为 75 分。第一步,将该科目选择性考试原始分从高到低进行排序,按照规定的等级比例将该考生划定为 B 等级,该科目 B 等级的原始分区间为 82~61(仅是示例,实际各科目各等级原始分区间不固定);第二步,根据分数转换参数设置,将 B 等级内该考生原始分,依照等比例转换方法,转换到 85~71 分数区间,根据转换公式,该考生思想政治科目的等级分为:


第三批和第四批高考综合改革省市统一使用该转换办法。
28
等级分解决了什么问题?
一是通过将不同再选科目原始分按照统一规则转换到同一量尺上,较好地解决了不同再选科目成绩之间可比性的问题。二是通过依照等比例转换原则将等级转换成等级分,较好地解决了不同再选科目成绩之间可加性的问题。三是能够保持考生每门学科成绩排名顺序不变;四是能够最大限度保证考生的成绩具有良好的区分度,满足高校人才选拔需要。
29
为什么要建立并规范普通高中学生综合素质评价制度?
综合素质评价是对学生全面发展状况的观察、记录、分析,是发展和培育学生良好个性的重要手段,是深入推进素质教育的一项重要制度。开展综合素质评价,有利于促进学生全面而有个性地发展,引导学生坚定理想信念、厚植爱国主义情怀、加强品德修养、增长知识见识、培育奋斗精神、增强综合素质;有利于促进普通高中转变育人方式,为高校科学选拔人才提供重要参考。
30
综合素质评价的主要内容有哪些?
综合素质评价内容包括思想品德、学业水平、身心健康、艺术素养、劳动素养与社会实践五个方面,主要考察学生在爱党爱国、理想信念、诚实守信、仁爱友善、责任义务、遵纪守法等方面的表现,各门课程基础知识、基本技能掌握情况以及运用知识解决问题的能力和学生发展核心素养等,健康生活方式、体育锻炼习惯、身体机能、运动技能和心理素质等,对艺术的审美感受、理解、鉴赏和表现的能力,在劳动教育、综合实践活动中动手操作、体验经历等情况。
普通高中学校还可以基于学生发展的年龄特征,结合教育教学实际,细化学生综合素质评价的具体内容和要求,并分年级在上述五大指标框架内增设反映学校办学特色的评价内容。
31
通过什么方式记录学生综合素质发展情况?
学生综合素质发展情况使用统一的“安徽省中小学生综合素质评价信息管理系统”记录、录入典型材料和客观数据,经整理遴选、审核公示后形成学生综合素质评价档案。
32
综合素质评价档案材料如何应用?
一是指导学生积极主动发展。普通高中学校要利用每学期的班级评价结果建立学生分类发展性评价体系,指导学生建立自信、克服不足,学会自我管理,明确努力方向;引导教师全面、深刻地了解学生,反思教育教学行为,优化德育过程,实施素质教育。
二是促进普通高中学校实施素质教育。各级教育行政部门要利用“信息管理系统”和评价数据,定期根据基础教育质量综合评价改革的要求对评价结果进行分析,诊断普通高中学校教育教学中的问题,提出有针对性的改进建议,督促普通高中学校组织开展素质教育活动,促进学校多样化、特色化发展。
三是作为高校选拔人才的重要参考。高中学校要将学生综合素质评价档案提供给高校招生使用。2024年起,高等学校在安徽招生章程中应明确综合素质评价的具体使用办法,并提前向社会公布。
33
如何确保高中学生综合素质评价档案材料的真实可信?
一是建立审核制度。各级教育行政部门、学校负责审核各自录入“信息管理系统”的信息与数据,学生遴选进入的成长记录需经班主任及有关教师和学校审核。
二是加强信誉考核。各级教育行政部门要将各地、各校综合素质评价中材料的真实性纳入诚信考核体系,并依据教育诚信体系相关规定进行处理,违背国家法律法规的将依法予以追责。弄虚作假的实证材料不得作为对学生综合素质评价的依据。学生个人经查实有弄虚作假行为的,给予批评教育,性质恶劣的将记入个人诚信档案,本人承担相应后果。
三是建立健全监督与追责制度,建立公示制度、复核制度、抽查制度和责任追究制度。
34
普通高校招生录取方式有什么变化?
从2024年起,高校将按物理科目类、历史科目类分列招生计划、分开划线、分别录取。按“院校+专业组(专业)”,以平行志愿方式投档(特殊类型除外)。投档录取不分批次,按照考生总成绩分时分段进行。高校依据统一高考成绩、学业水平考试选择性考试成绩,参考高中阶段综合素质评价,择优录取考生。
35
普通高校招生录取志愿设置有什么变化?
高考综合改革后,普通高考招生录取志愿设置将主要采用“院校+专业组(专业)”的组合方式,适当增加志愿填报数量,满足考生志愿填报需求。考生志愿填报不分批次,按照考生总成绩分时分段进行。具体志愿数量及部分特殊类型招生志愿设置等将另行公布。
36
什么是“院校+专业组(专业)”的志愿组合方式?
传统的志愿设置是以一所学校为一个志愿单位,每个学校下可以填若干个专业志愿和是否服从专业调剂志愿;实行“院校+专业组(专业)”的方式后,则以“院校+专业组(专业)”为一个志愿单位。“院校+专业组(专业)”指的是某高校对考生选择性考试科目要求相同的专业(类)的组合。一所院校可设置一个或多个“院校+专业组(专业)”,每个专业组内可包含数量不等的专业(类)。同一专业组内各专业(类)对考生的选考科目要求相同。
37
“院校+专业组(专业)”的志愿填报有何优势?
一是能提高考生志愿满意度。“院校+专业组(专业)”的志愿设置模式,考生根据自己所选的选择性考试科目填报相应的专业组志愿,专业组内可能是一个专业,也可能是多个专业(即使是多个专业也是对选考科目要求相同的专业,跨度不会太大),考生按专业组投档后,符合条件的,可在该专业组内进行专业调剂,提升了考生的兴趣志向和最终所录专业的契合度,真正做到了“学其所好、录其所长”。
二是符合高校选拔和培养人才的要求,高校根据专业人才培养对学生学科专业基础的要求以及学校自身办学的需要,设置选择性考试科目要求。按“院校+专业组(专业)”投档录取,能提高考生选考科目与高校招生专业选考要求的匹配度,使学校招录到有相应学科特长和兴趣的考生,有利于进校后人才培养和学校自身发展。
三是能够引领基础教育健康发展。促使高中学校关注学生学习过程中的兴趣特长和专业志向,更多关注学生的综合素质发展,促进学生的个性特长发展。
38
高校招生专业对选考科目有何要求?
高校结合自身办学定位和专业培养目标,认真研究本校专业人才培养对高中学生学科专业基础的需要,对每个具体专业提出选考科目要求。如某高校的某专业首选科目要求为“物理”,再选科目不限,则表示考生选择性考试3科中只要选考物理就可报考该专业,对另2科再选科目没有要求。高校专业选考科目要求提前两年公布。我省将汇总在皖招生高校所提的选考科目要求,及时提供考生参考。
39
高校招生计划如何编制?
高校将严格按照提前公布的本校拟招生专业的选考科目要求,并根据人才培养要求,按照“物理科目类”和“历史科目类”两类分本、专科分别编制招生计划,对选考科目的要求将明确到每一个招生专业中。如果某一专业既可按“物理科目类”也可按“历史科目类”招生,也须分开编制招生计划。
40
为什么要实行高等职业教育分类考试招生?
实行高等职业教育分类考试招生是本轮高考综合改革的一个重大举措。高等职业教育担负着培养多样化人才、传承技术技能、促进就业创业的重要任务,因此在考试招生中更加注重对学生职业倾向和职业技能的考核。实行高等职业教育分类考试招生,将高职院校的招生与普通高校相对分开,既有利于高职院校按照职业教育的规律选拔和培养技能型人才,同时也有利于一部分学生尽早地选择适合自己的职业教育。
41
普通高中毕业生就读高职院校有哪些途径?
一是通过分类考试招生录取。将进一步完善“文化素质+职业技能”的考试招生制度,进一步扩大高职分类考试录取的比例,使分类考试录取成为高职院校招生主渠道。
二是参加普通高考但未被本科院校录取的考生,可以参加高职(专科)统招批次的录取。
42
高考综合改革对现行高中教学将会产生哪些影响?
一是对普通高中多样化发展形成有利条件。在课程设置上,高中学校可以在选修课程,特别是在校本课程的建设上形成鲜明特色;在教学安排上,可以根据本校学生的学业水平考试科目选择情况和师资情况,在必修课程的教学上形成特色,建设精品课程。二是对高中阶段的选择性教育具有提升和推动作用。学习的选择性是高中新课改的重要价值取向和改革目标。选择性考试科目的选择性,将促进高中课程的走班教学,从而有利于学生实现共同基础上的差异化、个性化发展。高职院校分类考试招生实行“文化素质+职业技能”的评价办法,有利于中职学校强化实践技能培养,有利于普通高中开设职业技能类选修课程,有利于普通高中和中职教育的融通发展。三是对中学培养学生全面发展具有促进作用。不分文理的评价体系与机制改革,学生可以文理混合选课。一方面扩大了学生的选择权,另一方面促进学生文科思维能力和理科思维能力的融合碰撞,从而激发学生的创新思维能力,有利于实现全面发展。
43
为什么要实施选课走班?
实施普通高中选课走班教学是普通高中人才培养的必然要求,是适应高考综合改革的举措之一,是一项旨在尊重学生个性差异、扩大学生学习自主选择权、满足不同潜质学生学习需要的重要举措,是因材施教、促进学生全面而有个性发展、提高教育教学质量的教学方式改革。
44
如何开展选课走班教学?
一是严格执行国家颁布的普通高中课程方案。开齐开足必修课程,创造条件开好选择性必修课程,积极开发精品选修课程,努力满足学生学习需要。学校不得为了增加选择性考试学科的课时而挤占其他非选择性考试科目的课时。二是着力加强队伍建设。通过购买服务、返聘优秀退休教师、推进“县管校聘”等多种措施,缓解部分学科教师结构性缺编问题。加强教师培训,加大对富余学科教师的转岗培训。三是着力改善办学条件。通过新改扩建部分高中、严格执行招生计划等措施,消除普通高中大班额。加强智慧校园建设,充分运用信息技术,逐步实现选课、排课、管理、评价等管理活动智能化。四是着力加强选课指导。针对我省选择性考试科目12种组合,省教育厅制订普通高中学生发展指导的实施意见、普通高中学校教学管理工作的指导意见等,各地各学校因地制宜编制选课指南,指导学生进行合理选课。加强与学生家长的沟通交流,共同指导学生合理选课,减少选课的盲目性和功利性。学校不得强制学生选课。五是着力完善管理制度。探索与选课走班教学相适应的学校教学管理制度,构建行政班与教学班、班主任和导师制有机结合的班级管理制度。加强与选课走班教学相适应的教学管理和质量监控,认真探索学校教育教学质量监测评价的科学方法。
45
为什么要做好学生发展指导?
高中阶段是学生健康发展、个性形成的关键时期,也是学生选择未来人生发展方向的关键时期。加强学生发展指导工作是落实立德树人根本任务,是构建符合教育规律、体现时代特征、具有中国特色的人才培养体系的必然要求,是适应高考综合改革的必由之路,是促进学生全面发展和终身发展的重要举措。做好学生发展指导工作有利于促进学生全面认识自我、学会选择、明确未来发展方向,实现全面而有个性的发展,有利于推动全面实施素质教育,提高普通高中综合育人水平,实现多样化特色化发展。
46
普通高中学生发展指导的主要内容是什么?
普通高中学生发展指导主要包括理想信念、自我认知、社会理解、学业发展、健康生活和生涯规划等六个方面,帮助学生树立正确理想信念、正确认识自我,更好适应高中学习生活,处理好个人兴趣特长与国家和社会需要的关系,提高选修课程、选考科目、报考专业和未来发展方向的自主选择能力。
(一)理想信念。用习近平新时代中国特色社会主义思想铸魂育人,引导学生坚定理想信念,不断增强道路自信、理论自信、制度自信、文化自信,增强爱党爱国爱社会主义的情怀,培养奋斗精神,树立为实现中华民族伟大复兴的中国梦而勤奋学习的远大志向。
(二)自我认知。指导学生正确认识自我,了解自己的性格特征、兴趣爱好和能力特长,树立正确的世界观、人生观、价值观,正确看待个体差异,认识并发现自身优势与价值,准确定位自身角色,提升自主发展的意识和能力。
(三)社会理解。指导学生增强社会意识,加强社会理解,认识个人与社会的关系,遵纪守法,自觉弘扬社会主义核心价值观,培养社会责任感、奉献精神、感恩意识和合作能力,形成对他人、对社会各行各业的尊重与理解。
(四)学业发展。指导学生了解普通高中课程设计、学科知识体系和学科核心素养等要求,结合自身特点明确学习目标,合理选修课程,科学制定学习计划,培育良好的学习品质和独立思考能力,挖掘学习潜能,改善学习方法,提升学业水平。
(五)健康生活。加强生命教育,培养学生珍爱生命、健康成长的意识,提升自我保护的能力。指导学生提升生活自理和自立的能力,促进形成良好行为规范、独立生活习惯和健康生活方式。指导学生自主调节情感情绪,增强环境适应能力,培养健康的人际关系,正确面对学习、情感、个性、意志等方面的问题,养成健全的心理品格。
(六)生涯规划。指导学生在充分的自我认知、社会理解和职业行业体验的基础上,了解不同职业的能力需求、发展前景、社会责任等,结合自己兴趣、特长、个性等因素,合理规划升学与就业目标,正确处理个人兴趣爱好、职业理想和社会需求的关系,培养职业生涯发展与规划的意识和创新创业实践能力,努力实现兴趣、理想与职业的协调统一。
47
如何做好学生发展指导?
一是从实施的角度要做好四个方面工作。
(一)构建学生发展指导课程体系。各普通高中学校要根据我省普通高中课程改革和高考综合改革实施要求,结合学校实际和学生特点,积极开发适合本校的学生发展指导课程,制定课程实施方案,努力构建科学适切、内涵丰富、体系完备的学生发展指导课程体系。加强学科融合教育,将学生发展指导渗透到各个学科,通过对各学科核心素养、发展趋势和相关职业等内容的教育教学,充分发挥各学科对于学生发展的指导作用。
(二)积极开展各类主题活动。各普通高中学校要通过知识讲座、情境模拟、案例探讨、团体辅导、心理训练、艺术实践等活动方式,增强学生参与实践、自我探索、知识应用等能力,引导学生在实践中加强自我认知、明确职业理想、实现主动发展。构建普通高中、高校协同育人机制,推动高校以多种方式向高中学校介绍专业设置、选拔要求、培养目标及就业方向等,为学生提供咨询和帮助。大力推进家校共育,通过家委会、家长开放日、家长职业讲座等多种方式邀请不同职业背景的家长走进课堂,介绍相关职业发展情况,促进学生的职业理解和健康成长。
(三)开展丰富多彩的职业体验活动。积极与企事业单位对接,逐步建立职业体验基地,组织学生定期开展职业体验活动。积极拓展校内外渠道,利用爱国主义教育基地、校外活动基地、艺术实践工坊、实训基地、研学基地、博物馆、科技馆、艺术馆、体育馆等场所,组织开展丰富多样的职业体验活动和社会实践活动,鼓励学生走出校门、走进社区、走向社会,丰富实践体验,为选择专业和职业提供判断依据。
(四)科学实施发展指导评价。各普通高中学校要依据我省普通高中学生综合素质评价实施方案,全面、客观、公正评价学生发展,充分运用综合素质评价系统,为每名学生建立个性化成长档案,对学生成长情况进行科学分析和诊断,为其未来发展提供指导。各校可根据实际情况,依托有资质的权威专业机构,为学生进行科学系统的自我认知与生涯规划方面的测评,为学生发展指导提供参考。
二是从条件保障的角度要做好四个方面工作。
(一)加强组织领导。各级教育行政部门要高度重视普通高中学生发展指导工作,完善相关制度,指定专人负责相关工作,确保工作落实。要指导学校根据自身实际,整合机构设置,建立学生发展指导中心,制定校本化的学生发展指导方案,设计开发学生发展指导课程与活动,有条件的学校可聘请高等院校、科研院所及相关社会组织机构的专业人士作为兼职导师进行专业指导。要加强经费保障,完善配套设施,确保硬件建设、课程开发、教师培训等各类教育指导活动的顺利开展。
(二)加强队伍建设。各普通高中学校要建立以专职教师为骨干,班主任、学科教师共同参与、互相配合的学生发展专兼职师资队伍。各地教育行政部门和普通高中学校要切实加强对指导教师的管理和培训,将学生发展指导作为通识课程纳入中小学教师培训必修模块。要加强专业指导,提高学生发展指导能力和水平,逐步建成一支专业能力强、整体素质高的学生发展指导教师队伍。
(三)加强研究指导。各级教育行政部门要依托高等院校和教科研部门,积极开展普通高中学生发展指导工作的理论和实践研究。要组建普通高中学生发展指导专家团队,广泛开展调查研究,推动地区、学校创新普通高中学生发展指导模式。要积极开展区域内实践经验交流,认真总结形成区域性研究成果,充分发挥研究成果的指导作用,促进学生发展指导工作科学、健康发展。
(四)加强督导考核。各市、县要将实施学生发展指导作为普通高中教育教学改革的重要内容,纳入对学校的总体督导检查范围,组织人员对学校的相关制度、师资配备、特色课程、活动开展、体验基地建设和科学评价的落实情况,进行督查评估。各校要将学生发展指导纳入教师工作量,作为绩效考核重要内容,在评优评先、职称晋升、考核奖惩等方面予以倾斜。
48
我省如何保障高考综合改革顺利实施?
一是强化组织领导。省级层面已成立由省政府主要负责同志任组长的全省高考综合改革领导小组,全面负责高考综合改革工作的统筹协调和组织领导。各地将成立相应领导协调机构,深入研究改革中面临的突出问题,特别是要采取有力措施解决好高中师资和基础条件不足等问题。同时,省级教育督导部门将市、县政府履行相应职责纳入督导考核。教育、编制、发改、财政、人社等部门将加强统筹规划,完善配套措施,落实主体责任,形成推动改革的合力。
二是完善经费投入保障机制。落实财政教育支出主体责任,完善生均公用经费拨款标准和学费标准动态调整机制,完善成本分担机制,多渠道筹措普通高中建设资金。
三是加强人员队伍建设。进一步加大编制统筹调配力度,适应选课走班教学需要。完善绩效工资学校内部分配办法,在分配中坚持多劳多得、优绩优酬,向班主任倾斜,向教学一线和教育教学成果突出的教师倾斜。创新教师培训方式,重点提升教师新课程实施、学生发展指导和走班教学管理能力。健全招生考试队伍管理制度,提高专业化管理和服务能力。
49
我省如何强化考试安全和诚信制度建设?
我省将加强高等学校考试招生安全管理,进一步做好报名、考试、评卷和录取各项管理工作,完善公示公开、举报和申诉等各方面的制度,建立公平、有序、高效的考试招生秩序,努力构建科学、规范、严密的教育考试招生安全体系。加强对考生、教师及考试工作人员的诚信教育和评价管理,健全学校、个人考试诚信档案,积极营造诚信考试、公正选才的良好环境。加强对高中阶段学校综合素质评价工作的指导,建立综合素质评价学校信誉制度及相应的奖惩机制。
50
我省如何确保考试招生公平公正?
我省将继续深入实施招生“阳光工程”,完善学校招生章程制定和公布制度,强化招生政策、招生计划、实施过程和录取结果等信息公开。建立责任追究制度,严肃查处考试招生中存在的违规行为,及时公布处理结果。进一步加强行政管理,引导学校健全自律机制,充分发挥社会监督作用,共同维护考试招生秩序,保证公正公平。
版权声明:我们致力于保护作者版权,注重分享,被刊用文章【2017年高考难度安徽(纯干货)】因无法核实真实出处,未能及时与作者取得联系,或有版权异议的,请联系管理员,我们会立即处理! 部分文章是来自自研大数据AI进行生成,内容摘自(百度百科,百度知道,头条百科,中国民法典,刑法,牛津词典,新华词典,汉语词典,国家院校,科普平台)等数据,内容仅供学习参考,不准确地方联系删除处理!;
工作时间:8:00-18:00
客服电话
电子邮件
beimuxi@protonmail.com
扫码二维码
获取最新动态
