新高考的改革正在逐步进行着,2021年,福建、河北、辽宁、江苏、湖北、湖南、广东、重庆8省市将迎来“3+1+2”新高考模式。为了帮助大家更好的适应“3+1+2”模式,今天小编主要给大家介绍一下等级赋分制的换算方法,在后续的选科上大家可以作为参考。
“3”是指语文、数学、外语3科不变,满分均为150分,总分450分,各科以原始成绩计入考生总成绩;“1”是指物理或历史必选1科,满分为100分,以原始成绩计入考生总成绩;“2”是指政治、地理、化学、生物任选2科,每科满分均为100分,最后以等级赋分成绩计入考生的总成绩。
可以看出,与“3+3”模式相比,“3+1+2”不仅在选科方式上有不同,最后总成绩的计算也不一样,即涉及到“等级转换赋分”的科目,是政治、地理、化学、生物这4门。
简单来说就是,采用等级赋分制的科目,最后计入高考总成绩的分数,并不是考生实际分数,而是经过换算的,这个换算以后的成绩,可能比考生的实际分数要高,也可能比实际分数低。大家在查询到高考成绩时,看到的是已经赋分后的分数,不需要大家自行换算。
虽然不需要自行换算,但是我们依然要了解换算的过程,因为这对考生的选科很重要。首先我们要先了解三个概念:固定赋分区间、原始分区间、等级转换公式
1、固定赋分区间
以实际参加该科选考人数的成绩为基数,将各考生原始成绩从高到低划分为A、B、C、D、E共5个等级,各等级人数所占比例分别约为15%、35%、35%、13%和2%,每个等级对应的一个赋分区间,这5个等级及对应的比例、赋分区间是事先设定的固定规则,是不变的。
2、原始分区间
根据选考该科目的所有考生原始成绩,确定的原始分区间,比如某学科原始分排名前15%的考生中,最高分为100分,最低分为95分,则该学科A等级的原始分区间为【100~95】。
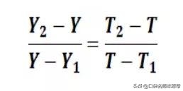
3、等级转换的具体公式
Y1、Y2分别表示某科原始分区间的下限和上限;
T1、T2分别表示某科固定赋分区间的下限和上限;
Y表示考生的原始分;T表示最终的转换分。
1、假设政治科目原始分的前35%考生中最高82分,最低61分,则政治科目B等级原始分区间为【82~61】,小高同学政治学科原始分为75分,则小高同学政治学科在B等级区间;
具体赋分换算过程:
政治科目B等级原始分区间为【82~61】;
政治科目B等级固定赋分区间【85~71】(固定不变的);
小高同学原始分75分;
那么小高同学赋分后分数为:
T≈80.33;四舍五入后小高同学政治学科最终赋分成绩为80,可以看出,经过换算以后,最后小高同学政治科目赋分的分值要比原始分高5分。
我们再看一个例子:
2、假设地理学科原始分前15%的考生中,最高分为100分,最低分为95分,则地理学科A等级的原始分区间为【100~95】,小高同学地理学科原始分为95分,则小高地理科目在A等级区间。
下面进行赋分换算:
地理科目A等级原始分区间为【100~95】;
地理科目A等级固定赋分区间【100~86】(固定不变的);
小高原始分95分;
那么,小高同学考了A等级原始分区间的最低分,所以小高同学地理学科最终赋分成绩为86分,经过赋分以后,小高地理成绩比原始分低了近10分。
所以,我们可以发现,新高考赋分制的情况下,2门选考科的选考人数、考生原始分成绩排名都会影响到最终赋分后的成绩,可能会出现高分低赋的情况,也可能会有低分高赋。这就要求考生和家长在选科时,不能只考虑科目的难易程度,还要综合考虑该科目的选考人数,竞争激烈程度等多方面因素。
“3+1+2”的模式下,选考科目成绩的区分度实际上是降低了,考生之间若要拉开差距,重点仍在语、数、外及物理/历史这几科,因为这些成绩是按照原始分计入高考成绩的科目上,是我们自己实实在在可以把控到的分数,所以,一定要在这几门科目上下功夫。
关于新高考“3+1+2”等级赋分,你看懂了吗?有问题可以留言交流哦~
版权声明:我们致力于保护作者版权,注重分享,被刊用文章【新高考怎么赋分(考了90多)】因无法核实真实出处,未能及时与作者取得联系,或有版权异议的,请联系管理员,我们会立即处理! 部分文章是来自自研大数据AI进行生成,内容摘自(百度百科,百度知道,头条百科,中国民法典,刑法,牛津词典,新华词典,汉语词典,国家院校,科普平台)等数据,内容仅供学习参考,不准确地方联系删除处理!;
工作时间:8:00-18:00
客服电话
电子邮件
beimuxi@protonmail.com
扫码二维码
获取最新动态
