无论是全国卷,还是各个省的自命题卷,虽然对知识的考察重点不同,但是,题型却有很多共性。
毕竟,就高中来说,虽然教材不一定一样,但是,所学知识点和学习内容都比较相近。
下面,就对高考数学中常考的题型进行总结,希望正在进行高考复习的同学可以参考。
随便打开一套试卷(江苏卷将在2021年改版),我们可以看到,高考数学题主要由:选择题、填空题、解答题、证明题构成。
高考数学选择题,基本上对高中数学所有知识点都有考察,一般来说,考察的知识点较为单一(你如果觉得难,那可能是因为没找对方法)。
所有高中学过的知识点,都能够在选择题部分找到它的“影子”,可以说,每一章都会有一道题来对学生进行考察。
比如,集合与简易逻辑,主要考察学生对集合概念的理解,比如:补集、交集、子集、空集等概念。
一般来说,这道题属于送分题。
很多省份出题时也将集合与函数结合起来进行考察。
比如,2019年全国二卷理科第一题。
解题思路:这类题目,解题技巧就是直接在数轴上将各集合表示出来,然后交集并集区间一目了然,这道题直接选A。
除了集合,函数也是选择题的必考知识点,主要考察函数的性质(定义域、值域)、单调性、周期性、奇偶性、对称性等等。
这些性质,贯穿始终,对这些性质的理解与熟练运用,是解决函数类题目的关键。
解题思路:依然是“数形结合法”以及“特殊值法”。
比如,下面这道求单调区间的题。
直接画出函数的图形,根据x≥2与x<2分别作图,然后根据图形的增减性直接得到答案。
对于函数的考察,切线、最大值、最小值的考察也比较常见。
还有一类题目也经常考,那就是给出一个函数,然后让学生来选择其大致图像。
比如,下面这道题。
解题技巧:这类题目,肯定不能从正面着手去解答,可以先通过函数的性质(奇偶性、对称性等进行排除答案),然后再通过特殊值代入法进行解答。
首先,因为,sin(-x)=-sinx,所以通过f(-x)=-f(x)可以得到f(x)是奇函数,奇函数关于原点对称。
所以,直接排除B、C,答案在A、D中选择,然后,再用特殊值代入法,取x=π/2,f(π/2)>0,然后排除D(注意右x轴第一个交点是π);
所以,答案为A。
是不是通过口算就可以得到答案呢?
除了函数,数列、向量、三角函数、圆锥曲线、复数等知识点也是选择题的必考内容。
最近,随着新高考的改革,很多省份的考题中也加入了一些新题型,更加注重联合实际应用。
主要解题思路为:这类题型,题目会比较长,所以,先在心理上进行克服,不要害怕。
然后,仔细阅读题目,列出已知条件,再进行转换,将抽象的概念转换为我们熟悉的函数,只要能读懂题目,这类题目往往会更简单一些。
比如,下面这道题,结合“天问一号”热点出题,而最后的问题却只是考察运用lg函数的性质进行实际计算。
无论选择题考察的知识点是什么,其解题方法都比较类似。
总之,要把握一个原则,那就是“小题不能大做,小题要小做,小题要巧做”,由于是选择题,如何利用技巧快速准确得到答案才是关键,至于解题过程真的不重要。
所以,在平时练习的过程中,请熟练掌握诸如“直接法、特殊值法、数形结合法、排除法、正难则反法(倒推法)等”快速解题方法。
但是,想要做到快速、准确解题,基础知识的掌握也要足够扎实。
而一些省份加入了多选题,无疑让选择题的难度系数增加了不少。
高考数学填空题,考察知识与选择题考察点可能也会有重合。
所以,知识点还是那些知识,都比较基础,考察点也比较单一。
比如,函数与导数、三角函数、数列、二次曲线的焦点,离心率、圆锥曲线、概率论等。
解题思路同选择题,依旧是“小题小做,小题小做”。
常用的解题技巧,也同选择题。
下面,举个用“特殊值法”来快速解题的例子。
解答过程:
我们直接可以取m=1,然后得a1=s1=30,然后2m=2,s2=a1+a2=100,可以得到a2=70,然后,求得等差数列的公差d=40,然后a3=110,最后求的s3=a1+a2+a3=30+70+110=210。
是不是这道题通过特殊值法来解答超级简单呢?
最后,再强调一遍,在做选择填空题时,一定要注重技巧的使用,这样不光节约时间,准确率还高。
下面,我们再看看高考数学试卷中的重头戏——解答题。
关于解答题,相信大家都发现了一个规律,那就是每一道大题的考察知识点是固定的,顺序可能会有调整(偶尔调整一下顺序,考生就会措手不及)。
主要考察的知识点有以下几个。
① 三角函数、② 数列、③导数、④ 立体几何、⑤ 解析几何(圆锥曲线)、⑥ 极值不等式证明、⑦ 概率统计等。
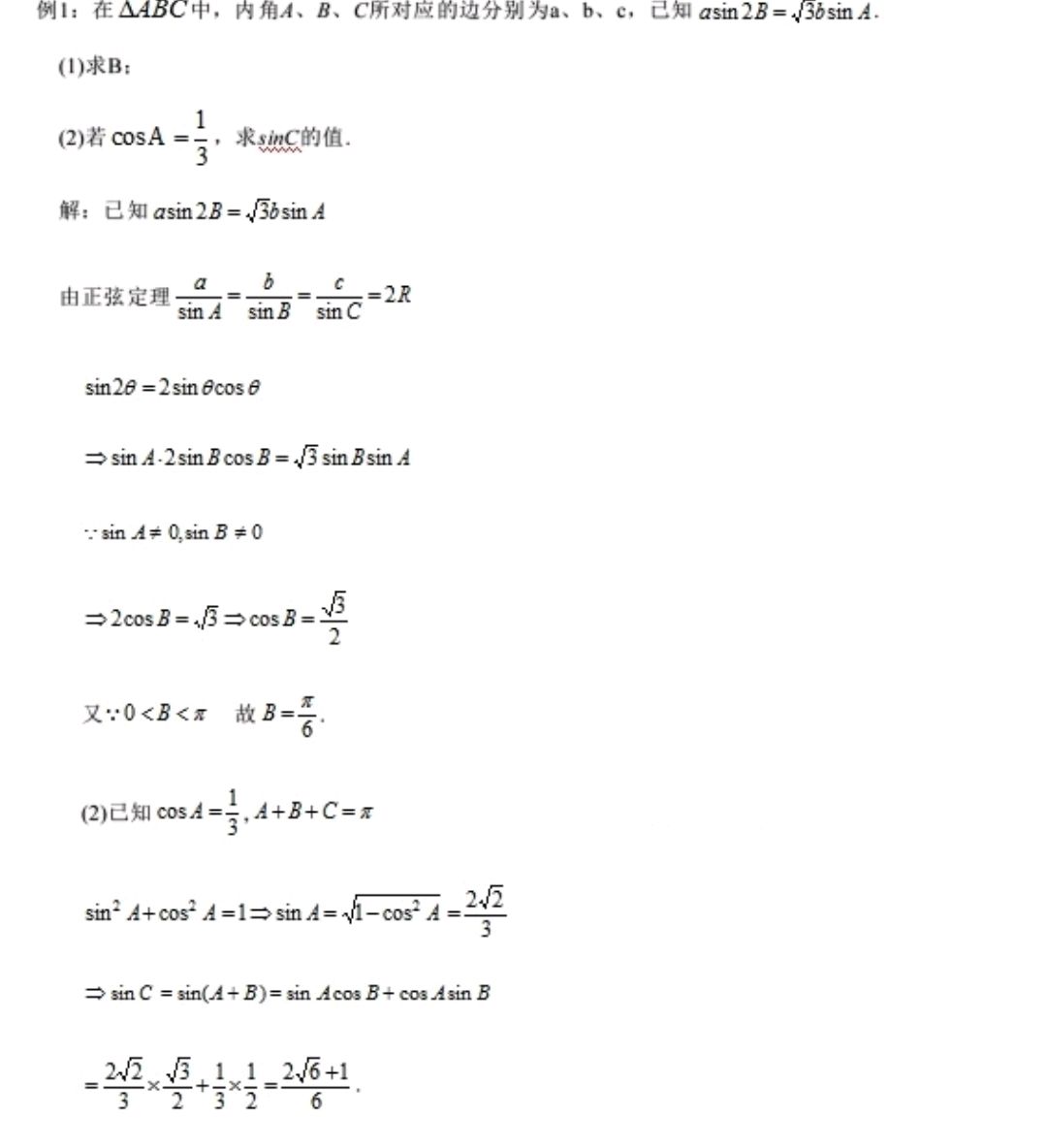
比如,全国卷第一题一般都考察三角函数或者数列,较为简单,属于送分题。
通过我自己的观察,两个定理应用得最多,基本上属于必考知识点,那就是余弦定理、正弦定理。
不过,在我们做题的过程中,一定要将关键步骤写出来,不要因为简单而不写,切记切记,因为,你结果有可能会算错,这样还能拿到过程分。
举个例子。
关于数列题,最常见的考察点一个是证明,证明某某数列为等差(等比)数列,另外一个考点是求数列的通项。
主要利用已知条件,再配合等差、等比数列的性质,前n项和公式来解答。
比如,2019年全国二卷的第19题。
请输入描述
第一问:证明等比、等差数列,直接利用定义进行证明。
第二问:求数列的通项公式,有一定技巧在里面,这道题直接通过“解方程求得”。
立体几何解答题,主要考察大家的空间想象力,题型有证明题,比如证明线线平行(垂直)、线面平行(垂直)、面面平行(垂直)。
计算题有计算点到面的距离、线面夹角大小(正余弦值)、线段的长度。
还有一类题型,问:“在某面(棱)上是否存在一个点,使得某某条件成立,比如,某条线平行于某个面等等”。
对于这种题目,大家直接用假设法,假设存在,然后进行证明,最后与已知条件矛盾或者无解,则不存在,如果,证明存在,那就假设成立。
立体几何的解题技巧:一般都需要借助于“空间坐标系”。
建立空间坐标系技巧:有棱柱、棱锥类的图形,还有线垂直于面、底面是正方形等已知条件,则要能想到建立空间坐标系。
但是,一般来说,第一问较为简单,可能不需要借助坐标系也能解答,所以,先快速解决第一问。
比如,下面这道题,给出的是一个四棱锥,底面是正方形,并且,PD⊥于底面ABCD,暗示非常明显了。
具体解答过程如下。
第一问,直接证明,比较简单。
第二问,先建立空间直角坐标系,然后,求出各个点的坐标,再利用线段长度,向量、用法向量求直线与面夹角的方法来解答。
解析几何类解答题,让很多同学比较头大,这类题目一般有两到三问,特别是第二、三问,很多同学无从下手。
其实,这类题目的关键在于画出图形,然后,就会比较直观,如果,画不出来或者画不对图形,那么,做起来可能就会比较抽象,做题也很费劲。
所以,在平时做题的过程中,注意训练自己的作图能力。
常考的题目第一问比较简单,一般是求圆、椭圆、双曲线等的解析式。
主要考察的是这些圆锥曲线的性质(对称性、顶点坐标、焦点坐标、准线等等),熟练应用就能够解答出来。
第二问的解题思路:
一般是通过假设“动点”坐标,然后得到直线方程,再将直线方程与圆锥曲线方程联立,最后利用韦达定理(x1+x2、x1*x2),找到几个量之间的关系。
当然,有时候还会用到弦长公式,以及面积公式等等。
最后,再进行求解。
举个例子:下面这道题就是一道比较经典的高考数学解析几何题。
第一问:求椭圆方程,也就是求解a、b,根据点过直线等已知条件,再结合椭圆性质(顶点坐标)很容易求解。
第二问:相当于一个动点问题,最后转化为求二次方程的最值问题,求解过程较为麻烦,但是,只要作出图形,再在图形上进行比划就非常直观了。
高考数学概率问题,一般来说都比较基础,主要考察对基本概念的理解以及应用统计学知识解决实际问题的能力,不过,需要静下心来读懂题目才行。
主要考察的知识点有:独立重复实验、回归直线方程、离散型随机变量(期望、方差)、茎叶图、样本的数字特征(中位数)、各种概率的计算等等。
易错点:概念混淆,比如,“互斥与独立”、“有放回抽样与无放回抽样”等等。
解题技巧:理解几种常见的概率类型,并且熟练牢记各个公式,定理。
举个例子:2020年北京卷的一道题。
这一部分内容相对来说属于比较难的知识点。
主要考察通过函数的导数来进行极值(最值)的计算,单调区间的求值等等。
然后,再利用函数的相关性质进行不等式的证明。
解题思路:
① 先求函数定义域,然后,再求导数,再确定单调区间,学会利用已知条件。
② 解后面几问的时候,一定要有意识利用前一问的结论。
③ 在讨论问题的时候,防止遗漏,注意分类讨论。
④ 对于不等式问题,要有意识往构造函数上靠。
举个例子:
第一问:比较常规,对函数直接求导,然后求出切点坐标,再求出切线方程,然后由切线求出与坐标轴交点坐标,最后,由三角形面积公式进行计算。
第二问:按照前面的思想,看到不等式就往函数上面靠。
然后,将原不等式进行一系列转换,最终得到函数g(x),然后,再通过化简得到h(x),最终转换为讨论h(x)的单调性问题。
看得出来,整个过程是挺复杂的,但是,思路却只有一个,那就是将不等式往函数转换,当转换为函数以后,就会有各种工具进行求解了。
比如,利用函数的求极值、单调性等等。
除了以上几类题目外,有些省份可能还有选做题,可能会有对极坐标方程的考察,所以,尽可能不要对高中知识点有遗漏。
总之,高考数学解答题,一般来说前面几道题较为基础,最后压轴题比较难,但是,第一问一般又比较容易。
所以,我们在做题的过程中,也要注意策略。
高考数学,相对来说,基础题占到了将近70%,所以,如果你的目标不是清华北大,我想,只要基础足够扎实,概念清晰,130+并不是很难。
高考数学考察知识点比较固定,所以说,建议大家在平时做题的过程中,多总结积累模型以及解题技巧,然后,看到题目以后,立马会想到之前做过的类似题目。
然后,做题也就会又快准确率又高。
最后,在我们考试做题的过程中,注意策略,因为,在有限的时间内拿到更多的分数才是我们的终极目标。
所以,按照我之前跟学生说的,“保八争二”是一个非常好的策略,先保证基础题不丢分,然后,再去争取难题的分数,比如,压轴题的第二问,能写多少写多少。
至少保证你上个“985”大学不成问题。
感谢您的阅读,喜欢文章就点赞转发一下吧!
版权声明:我们致力于保护作者版权,注重分享,被刊用文章【高考数学技巧(高考数学)】因无法核实真实出处,未能及时与作者取得联系,或有版权异议的,请联系管理员,我们会立即处理! 部分文章是来自自研大数据AI进行生成,内容摘自(百度百科,百度知道,头条百科,中国民法典,刑法,牛津词典,新华词典,汉语词典,国家院校,科普平台)等数据,内容仅供学习参考,不准确地方联系删除处理!;
工作时间:8:00-18:00
客服电话
电子邮件
beimuxi@protonmail.com
扫码二维码
获取最新动态
