2022年高考临近为了更好地帮助高考生进行院校定位 ,接下来,【升学规划数据】将陆续整理 《全国各省市2021年高考成绩排名一分一段表及往年同位分》 。希望小伙伴们持续关注升学规划数据 ,并分享给身边的人~
位次指的是高考分数所对应的全省排名。
你的高考位次,指你的高考成绩所对应的全省排名。
例如:2021年湖北物理的张同学,2021年高考成绩为600分。
根据湖北省教育考试院公布的一分一段表可知,600分所对应的全省排名为16362名,所以张同学的高考位次为16362。
高考同位分指,同一位次对应的不同年份的高考分数。
举个简单的例子:
2021年湖北物理的张同学,2021年高考成绩为600分,高考位次为16362位。
通过省教育考试院公布的一分一段表可以查到,
2020年16362位次对应的高考分数为598分。
2019年16362位次对应的高考分数为580分。
2018年16362位次对应的高考分数为590分。
我们可以知晓:
2021年的600分等于2020年的598分,也等于2019年的580分和等于2018年590分。
把自己本年的高考分数,换算成往年的同位分,优点是直观有效,避免考生在查看院校与专业往年录取分数时,还要反复查询一分一段表,寻找不同分数对应的位次。
2021年湖北高考成绩排名一分一段表含往年同位分【历史】
2021年的一本线为:特殊类型录取控制线(强基计划等)。
2021年湖北省历史一本线为:558分、一本线上累计人数:13652人。
2020年湖北省文科一本线为:531分、一本线上累计人数:12571人。
2019年湖北省文科一本线为:542分、一本线上累计人数:11943人。
2021年湖北省历史二本线为:463分、二本线上累计人数:55371人。
2020年湖北省文科二本线为:426分、二本线上累计人数:44904人。
2019年湖北省文科二本线为:445分、三本线上累计人数:43760人。
2021年湖北省历史专科线为:200分、专科线上累计人数:148879人。
2020年湖北省文科专科线为:200分、专科线上累计人数:110969人。
2019年湖北省文科专科线为:200分、专科线上累计人数:108815人。
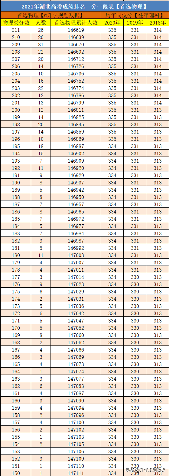
2021年湖北高考成绩排名一分一段表含往年同位分【物理】
2021年的一本线为:特殊类型录取控制线(强基计划等)。
2021年湖北省物理一本线为:520分、一本线上累计人数:57036人。
2020年湖北省理科一本线为:521分、一本线上累计人数:54896人。
2019年湖北省理科一本线为:505分、一本线上累计人数:53201人。
2021年湖北省物理二本线为:397分、二本线上累计人数:113443人。
2020年湖北省理科二本线为:395分、二本线上累计人数:121311人。
2019年湖北省理科二本线为:388分、三本线上累计人数:120269人。
2021年湖北省物理专科线为:200分、专科线上累计人数:146811人。
2020年湖北省理科专科线为:200分、专科线上累计人数:186193人。
2019年湖北省理科专科线为:200分、专科线上累计人数:184006人。
版权声明:我们致力于保护作者版权,注重分享,被刊用文章【湖北省一本大学排名(2021湖北高考成绩排名一分一段及往年同位分)】因无法核实真实出处,未能及时与作者取得联系,或有版权异议的,请联系管理员,我们会立即处理! 部分文章是来自自研大数据AI进行生成,内容摘自(百度百科,百度知道,头条百科,中国民法典,刑法,牛津词典,新华词典,汉语词典,国家院校,科普平台)等数据,内容仅供学习参考,不准确地方联系删除处理!;
工作时间:8:00-18:00
客服电话
电子邮件
beimuxi@protonmail.com
扫码二维码
获取最新动态
