来自南京审计大学教务处消息:截止4月2日,我校平稳、有序完成2021年研究生招生复试工作,100%完成招生计划!今年我校共拟录取硕士研究生841人,其中来自“双一流”建设高校生源137人,生源质量较往年有显著提升。
根据南京审计大学教务处公布的消息,今年该校的硕士研究生招生复试工作已圆满完成。今年共拟录取考生841人,其中来自“双一流”院校考生137人。下面麦麦就把今年该校的全部录取名单整理分享出来。
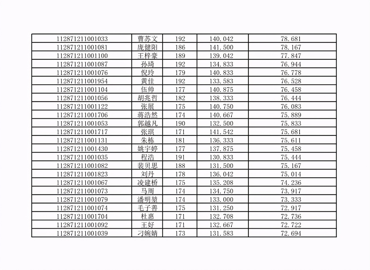
南京审计大学2021年硕士研究生拟录取名单(一)
第一批拟录取名单于3月29日公布
南京审计大学2021年硕士研究生拟录取名单(二)
第二批拟录取名单于3月30日公布。
2021年非全日制审计硕士研究生拟录取名单
非全审计硕士拟录取名单11人,于4月2日公布:
-end-
注:文中数据均来自南京审计大学研招办,麦麦仅作分享。如有侵权,请联系删除!
版权声明:我们致力于保护作者版权,注重分享,被刊用文章【审计考研有哪些学校(南京审计大学2021硕士生招生复试圆满完成)】因无法核实真实出处,未能及时与作者取得联系,或有版权异议的,请联系管理员,我们会立即处理! 部分文章是来自自研大数据AI进行生成,内容摘自(百度百科,百度知道,头条百科,中国民法典,刑法,牛津词典,新华词典,汉语词典,国家院校,科普平台)等数据,内容仅供学习参考,不准确地方联系删除处理!;
工作时间:8:00-18:00
客服电话
电子邮件
beimuxi@protonmail.com
扫码二维码
获取最新动态
