受就业大环境影响,近年来选择考研的人越来越多,官方数据显示,2022年考研报名人数高达457万,2021年增加了21%,人数再创新高,考研难度和竞争激烈程度也空前之大。
近期,各地的考研成绩已经陆续公布,看到自己的辛苦付出有了好结果,不少学生还沉浸在兴奋与喜悦中,可转头看到别人晒出的“400+”成绩单,又不由得陷入到了焦虑中,今年的高分考生这么多?
就目前不少考生晒出的成绩单来看,的确400分以上的人不在少数,和往年相比似乎增加了许多,高分学生越来越多,也就意味着今年的国家线很可能上涨,放在往年属于优秀的成绩,到了今年,却很可能连复试也进不了。
2022年考研:400分学生无缘211大学复试
众所周知,考研分为两部分,初试和复试,当前公布的是考研初试成绩,只有达到复试要求,并且在复试中顺利通过,学生才能被录取,如果连复试标准都达不到,初试成绩再好也基本是白搭。
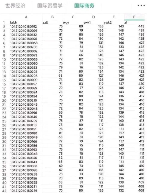
这不,江西财经大学部分专业初试成绩出来的消息,就引起了广泛的关注和讨论,数据显示,在报考江西财经大学国际商务专业的学生中,有70人初试成绩都达到了400分,可是按照该校该专业的招生计划,这个专业仅招收49人。
这也就是说,学校在确定复试人数的时候,会按照1比1.2的比例,可以按照这种比例来推算,还会有多名初试成绩在400分以上的考生进不了复试。
由于今年考研的考试人数较多,再加上高分学生人数占比比往年略大,部分院校的热门专业,考研的竞争会变得异常激烈,复试的标准也会明显提高,基本上已经是2022年考研的既定事实了。
但在2022年的考研中,还有一个奇怪的现象,尽管许多400分以上的考生无缘211大学复试,确有一部分300分左右的考生能捡漏985,这又是怎么一回事?
400分无缘211大学,300分却有机会捡漏985
在大家的传统印象中,越好的大学分数线就越高,这个理论基本上是成立的,可在考研中,也不是所有的985大学复试门槛都高,还存在一定门槛较低,有机会捡漏的985大学,比如中国农业大学。
在2021年的考研中,中国农业大学水利工程专业,就有考生初试成绩297分依然如愿进入复试,而且这名学生还被顺利录取了,并且报考中国农大水利工程专业的学生,大部分分数都不是太高,最高也只有360多分。
中国农大坐落在首都北京,是我国985工程大学之一,也是世界一流大学建设高校,相比之下,江西财经大学的院校等级和综合实力都要弱许多,却400分也未必能进入复试环节,这又是怎么一回事?
导致2022年考研“怪现象”的原因是什么?
从某种程度上来说,考研和高考是非常相似的,报考人数越多,竞争越激烈,复试的门槛也就定得越高,另外与高考不同的是,考研专业科目通常都是学校自主命题,命题难度的高低也会直接影响复试门槛。
像江西财经大学国际商务专业,就是因为报考热度比较高,再加上专业科目命题难度较低,因此考出400分以上的考生很多,复试分数线也就定得比较高了。
反之,像中国农业大学水利工程这一类,原本农林类大学热门程度就不算太高,再加上专业科目学校命题难度较大,考高分的学生人数比较少,复试分数线也会比较低。
另外,在近几年的研究生考试中,学生的观念和结构都发生了很大的变化,以前本科就读于985、211的学生,基本上考研都只会报985和211,但近几年来,很多本科就读于名校的学生,到了考研时为了避免激烈竞争,反而更愿意报考那些没有名校光环,但社会认可度颇高的普通本科大学。
这一类的大学在我国还真不少,比如杭州电子科技大学,江西财经大学,华东政法大学,还有西北师范大学等,别看西北师范大学地理位置一般,今年的报考人数却依然创下新高,比去年增加了将近3700人。
今日话题:
你报考的研究生院,今年复试分数线怎么样?比起去年是上涨还是降低了呢?
版权声明:我们致力于保护作者版权,注重分享,被刊用文章【湖南农业大学考研分数线(2022考研)】因无法核实真实出处,未能及时与作者取得联系,或有版权异议的,请联系管理员,我们会立即处理! 部分文章是来自自研大数据AI进行生成,内容摘自(百度百科,百度知道,头条百科,中国民法典,刑法,牛津词典,新华词典,汉语词典,国家院校,科普平台)等数据,内容仅供学习参考,不准确地方联系删除处理!;
工作时间:8:00-18:00
客服电话
电子邮件
beimuxi@protonmail.com
扫码二维码
获取最新动态
