原创 林根数学 林根数学 昨天
仿射变换的一个特点,就是“平直性”,因为我们可以理解仿射变换是一个线性变换加上一个平移,线性这个性质就保证了直线变换后还是直线,所以仿射变换,变换后的图形,是直线边的还是直线边。
介绍下面两种特殊的线性变换:
错切变换:错切变换是一种特殊的“平直性”变换,简单来说就是矩形变为平行四边形,长方体变为平行六面体,如下图:
反之平行六面体通过错切变换也可以变成长方体。
压缩变换:平面压缩变换是由x’=nx , y’=my,给出, 其中n 、m 为正数。若取n = 1, 则称变换x’=x 、y’= my为向着ox轴的压缩变换(下面谈到的变换都是指这种压缩变换)。
被压缩的图形叫做原像, 压缩变换成的图形叫做像。
显然,错切变换和压缩变换有下面几个基本不变性质:
1 .两条平行(重合) 或相交的直线在压缩变换下的像也是平行(重合) 或相交的直线;
2. 在压缩变换下,同一直线上或平行线段的比值仍保持不变.
至于在空间坐标系中,空间三点的平面方程的求法,用行列式比较方便:
求过三点:M₁(x₁, y₁,z₁);M₂(x₂,y₂,z₂);M₃(x₃,y₃,z₃)的平面的方法:
设过M₁的平面方程为A(x-x₁)+B(y-y₁)+C(z-z₁)=0.................①
M₂,M₃都在此平面上,因此它们的坐标都满足方程①;将它们的坐标依次代入得:
A(x₂-x₁)+B(y₂-y₁)+C(z₂-z₁)=0.............②
A(x₃-x₁)+B(y₃-y₁)+C(z₃-z₁)=0..............③
①②③是关于A、B、C的线性方程组,此方程组有非零解的充要条件是关于A、B、C的系数行列式∆=0;即:
下面由此来看,2020年人大附中的一道期中考试压轴题:
人大附中2020-2021 学年度第一学期高二年级数学期中练习20201104 第24 题
已知四棱锥T - ABCD的底面为平行四边形,平面α与直线 AD,TA,TC分别交于点P,Q,R ,且
点M 在直线TB 上, N 为CD的中点,且直线MN∥平面α.
(1)设
试用基底
表示向量TD;
(2)证明:四面体TABC 中至少存在一个顶点,从其出发的三条棱能够组成一个三角形;
(3)证明:对所有满足条件的平面α,点M 都落在某一条长为(√5/2)TB 的线段上.
证明:前两问极容易,属于可以“秒杀”的情形,这里从略.
(3) 把四棱锥T – ABCD嵌入如图1所示的平行六面体中,沿Ox轴及Oy轴作两次错切变换得到长方体,再作一次压缩变换得到一正方体(棱长为1),上述变换中原题设的定比分点的比不变,所求结论中的比值√5/2亦不变.
如图2所示,在正方体ABCD-A’B’C’T中解决问题即可.
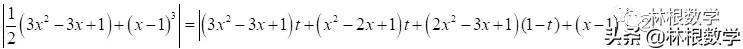
可设P(0,1-x,0), Q(0, x,1-x), R (1-x , 0,x),过此三点的平面α方程为
此即
设
则见M(t,t,1-t),又N(1/2,0,0),则由MN//α知点M,N到平面α的距离相等,由点到平面的距离公式并结合①得
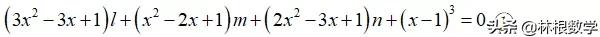
由于M,N在α的同侧,则②的两端去掉绝对值,得
(4t+1)x2-(4t+3)x+2t+1=0,③
由于x∈R,则对一元二次方程③由其根的判别式,即得
则结论成立.证毕.
谢谢阅读!
更多内容,请关注“林根数学”微信公众号。
林根数学,专注初高中数学辅导,全国清北自主招生讲座巡讲上百场,使一大批学生获得清北自主招生加分,帮助他们圆了清华、北大梦。
2019年辅导多名学生获全国高中联赛一等奖.
在微信公众号及头条号发表高考压轴题及数学竞赛题速解等相关公益文章500多篇,欢迎阅读及转发,期待更多的学生受益.
《林根数学》资料(说明:以下资料随堂使用,不单独提供 )
1.《高考数学全观》(上、下)(高考第一轮)教案及学案
2.《高考数学重观》(高考第二轮)教案及学案
4.《中考数学微观》教案及学案
5.人教版必修1—5全套教案及学案
感兴趣的可以尝试一下整体试卷,看其难度如何?
版权声明:我们致力于保护作者版权,注重分享,被刊用文章【仿射变换高考能用吗(高观点下的初等数学)】因无法核实真实出处,未能及时与作者取得联系,或有版权异议的,请联系管理员,我们会立即处理! 部分文章是来自自研大数据AI进行生成,内容摘自(百度百科,百度知道,头条百科,中国民法典,刑法,牛津词典,新华词典,汉语词典,国家院校,科普平台)等数据,内容仅供学习参考,不准确地方联系删除处理!;
工作时间:8:00-18:00
客服电话
电子邮件
beimuxi@protonmail.com
扫码二维码
获取最新动态
