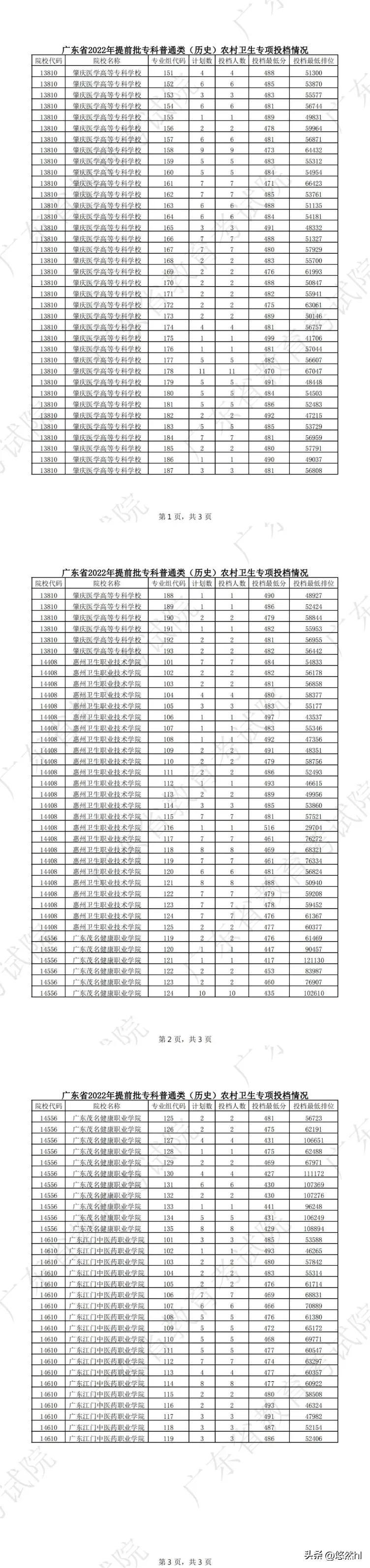
广东省2022年提前批专科已完成投档,投档情况如下。
近年来,不断有专科学校升为本科学校,专科学校数量也在不断增加,高职专科生的就业率更是在不断提高。
那么什么是专科提前批?
专科提前批是指在正常录取批次前的一次招生。通常都是特殊专业的招生,例如:军警类、医学类、艺术类、师范类等大专批次的的专业。关于提前批志愿的填报,根据录取程序,若没有被录取,省招生办公室则按考生所报志愿顺序,按地方院校的要求进行录取,不会影响下一批次的录取工作,因此提前批填报志愿可给考生提供更多的选择机会。
二本民办学校价格不菲的学费让部分家境贫寒的学生非常犯难,报考这类的军校、定向专项学校可以免去相当部分费用,为家庭减轻不少压力。当然,条件允许的情况下,能上本还是要优先考虑本科。
版权声明:我们致力于保护作者版权,注重分享,被刊用文章【广东大专学校排名及分数线(广东省2022年提前批专科投档情况)】因无法核实真实出处,未能及时与作者取得联系,或有版权异议的,请联系管理员,我们会立即处理! 部分文章是来自自研大数据AI进行生成,内容摘自(百度百科,百度知道,头条百科,中国民法典,刑法,牛津词典,新华词典,汉语词典,国家院校,科普平台)等数据,内容仅供学习参考,不准确地方联系删除处理!;
工作时间:8:00-18:00
客服电话
电子邮件
beimuxi@protonmail.com
扫码二维码
获取最新动态
