近日
首届“中南大学重大学术进展”评选活动
入选成果揭晓
经评定
共有11项成果入选
究竟是哪11项高水平技术成果?
跟随小南一起来看看吧
前方高能!
中南大学重大学术进展简介
主要完成人:钟掘,易幼平,陈康华,李晓谦, 黄元春,吴运新,何海林,黄始全, 陈送义,李瑞卿
长征五号和长征九号火箭是我国为实施空间站建设、载人登月、深空探测等重大工程研制的新一代运载火箭,高性能铝合金环形件是运载火箭主要承力构件,不断提升轻质化指标以提升火箭运载能力,是火箭结构发展的重要方向。
钟掘院士带领团队成员面向国家需求,勇攀科研高峰,以铝合金环形件宏观成形、材料微结构为制造与调控对象,开发了各类演变需要的制造工艺条件与技术,建立了环形件形性协同制造新工艺体系和规范。目前,已应用于我国新一代大型运载火箭CZ-5/5B号发射、重型运载火箭CZ-9号Ø9.5m贮箱整体过渡环、新一代载人登月运载火箭Ø5m共底贮箱整体过渡环、新一代中型CZ-7/CZ-8系列Ø3.35m贮箱整体过渡环等多种型号构件的研制与生产。项目的技术突破提升了我国运载火箭基础件制造水平,满足了新一代运载火箭高性能制造需要,研究成果入选2020年度“中国高等学校十大科技进展”。
研制成功直径9.5米重型运载火箭贮箱整体过渡环
主要完成人:赵中伟,刘锦瑞,刘旭恒
从上世纪60年代至今,氨浸法一直是我国生产钼酸铵的主流工艺。严格的钼焙砂品质要求、溶液的净化提纯技术局限,使得钼资源的利用率不高,钼酸铵产品难以满足高纯钼深加工的要求,重金属危废渣、氨氮废水排放等一系列环保问题阻碍了企业的发展。
赵中伟教授团队开发的“NaOH强碱浸出低品质钼焙砂”技术,实现钼清洁高效浸出的同时,产出低品位铜精矿,实现了伴生金属铜的回收利用;开发的“离子交换与沉淀耦合深度除钒钨”技术,将钒以钒酸钠、钨以高钨渣形态产出,实现了钒钨的资源化利用;开发的钼高浓度离子交换技术,大幅减少了交后液的产出,通过“反渗透-电渗析”相结合的方式,实现85%以上的废水回用。该技术突破了沿用了半个多世纪的氨浸法工艺技术瓶颈,已在成都虹波钼业有限责任公司建成了年产6000吨二钼酸铵的生产线,取得了显著的经济、环境和社会效益。该技术的推广应用有利于提高钼冶金的技术与装备水平,对推动钼冶炼行业的绿色可持续发展具有重要意义。
钼冶金新工艺(低品质钼焙砂制备高纯钼酸铵的清洁冶金新技术)技术产业化
主要完成人:陈翔,刘洪,彭聪,粟娟,沈敏学,印明柱
皮肤是人体最大的器官,以银屑病为代表的免疫相关性皮肤病具有发病率高、反复发作、迁延难愈等特点,而以黑素瘤为代表的皮肤肿瘤疾病,具有发病率逐年上升、治疗效果和预后差等特点。人们普遍认为免疫调控异常是其发病的核心机制,针对免疫分子的靶向药物在过去几十年陆续开发应用到临床,但仍存在复发、耐药以及严重不良反应等问题。因此,从源头深入揭示上述皮肤疾病免疫调控异常的上游机制,从根源上探究新的治疗策略势在必行。
代谢失稳态影响免疫反应类型和结局,代谢和免疫共同促进疾病的发生发展。本项目通过大规模流行病学调查和构建临床疾病队列,揭示了两种疾病的流行新特征;通过多组学多模态数据分析,系统筛选了两种重要皮肤疾病的代谢特征差异,并揭示了关键物质与能量代谢靶点在银屑病、黑素瘤中的关键作用及具体机制;应用多模态与人工智能技术,对多个皮肤疾病关键靶点开展了药物研发及早期临床应用,并建立了皮肤疾病大数据采集系统,实现了网联网诊疗智能化。
本项目获得华夏医学科技奖、湖南省科技进步奖一等奖等多项奖励,在国际权威期刊Cancer Cell、Nature Communications、STTT、Advanced Science等发表系列高水平研究成果。团队也积极推动基础科研向临床应用转化,目前银屑病及黑素瘤治疗新药物已进入临床试验,AI智能诊断新技术受到国内外高度评价,“互联网+”医院的模式,为广大医患提供了极大便利。
本研究率先从腺苷代谢这一全新路径入手,阐述了PD-1/PD-L1治疗不应答的新机制,发现了检测肿瘤组织腺苷受体表达作为预测该治疗应答情况的新方法,提出了免疫联合代谢通路增加黑素瘤等实体肿瘤PD-1单抗应答率的治疗新策略。
非饱和冻土理论及应用
主要完成人:盛岱超,张升,滕继东,叶新宇, 童晨曦
随着寒区高速铁路、机场工程的大规模发展,粗粒土路基冻胀、跑道湿陷变形等工程难题亟需新的理论进行解释。团队历经10余年的持续研究,提出了考虑全相变的非饱和冻土水气迁移与相变理论,建立了表征非饱和冻土水气赋存、迁移与相变的参数体系,揭示了气态水凝华相变诱发机场道基湿陷变形和粗粒土路基冻胀的宏细观机制,提出了考虑环境因素的土体冻胀敏感性评价方法,建立了基础变形的多尺度测试、控制技术。成果实现了非饱和土理论与冻土理论的交叉创新,为高速铁路、战略机场等重大工程安全服役提供理论支撑。成果发表高水平SCI论文40余篇,出版专著3部,授权发明专利20余项,纳入行业规范3部,获得湖南省技术发明一等奖等各类奖项6项。
该理论成果揭示了寒旱区机场交通枢纽工程后期变形、不均匀变形、扰动变形的内在机制,形成了机场填方体变形的核心因素溯源、测试分析及控制全套关键技术。
骨关节炎防治策略创新与应用
主要完成人:雷光华,曾超,魏捷,杨原蘅,
高曙光,李辉,杨拓
骨关节炎是常见衰老性疾病,我国约有1.2亿患者,每年用于治疗骨关节炎的费用已达数百亿元。骨关节炎的防治效果目前仍然不佳,已成为重大公共卫生问题和临床医学难题。团队在骨关节炎早期预防措施、轻中度治疗方法和重度治疗技术方面取得了系列创新成果,建成我国骨关节炎领域首个自然人群队列,明确国人骨关节炎多种重要危险因素,首次科学明确多种常用药物治疗骨关节炎的疗效与安全性,成果多次写入国际权威临床指南,牵头制定国内骨关节炎权威指南。其研究成果揭示了我国人工关节置换质控现状,率先在国内推行单纯髌股关节骨关节炎手术应首选髌股关节置换的理念,牵头制定了首部髌股关节骨关节炎诊疗指南,创新了全膝关节置换器械。相关研究成果发表于四大医学期刊之一JAMA等,获教育部科技进步奖一等奖、中华医学科技奖一等奖、华夏医学科技奖一等奖各1项。
▲建成我国骨关节炎领域首个自然人群队列(Xiangya Osteoarthritis Study),属全球骨关节炎领域唯一拥有多组学数据(微生物组、代谢组、基因组、影像组)的自然人群队列,明确肠道菌群紊乱等多种国人骨关节炎重要危险因素。
多杀菌素A及其衍生物靶向激活抑癌蛋白ASS1抗肿瘤作用的研究
主要完成人:罗志勇,刘苏友,邹自征,罗均利,胡息源,罗眺
当前全球抗癌药物研发的主要策略是基于促癌蛋白的抑制剂设计与发现,而对抗肿瘤生长的抑癌蛋白激活剂的发现少有报道。因此寻找和发现通过增强抑癌蛋白功能的激活剂是临床抗肿瘤新药发现的新策略与重大需求,也是当前研究的难点。
罗志勇教授团队发表的原创抗肿瘤新药发现成果(Nat Commun , 2021),历经七年,首次发现多杀菌素A(spinosyn A, SPA)及其衍生物LM-2I靶向激活肿瘤低表达抑癌蛋白ASS1活性,降低天冬氨酸,抑制嘧啶核苷酸从头合成,进而抑制肿瘤的增殖与生长。该研究为ASS1低表达的大多数肿瘤特别是缺乏治疗靶点的难治性三阴性乳腺癌提供了新的候选药物和新的治疗策略。LM-2I作为抑癌蛋白ASS1激活剂和肿瘤抑制剂,具有活性高、水溶性好且对哺乳动物毒性低等优点,体内、外抑瘤实验均显示其优良的抗肿瘤活性及安全性,系新结构、新靶点及新机制的原创抗肿瘤新药发现,拥有全球自主知识产权(国际专利申请号:PCT/CN2021/073695;国际专利公布号:WO 2021/218249 A1)。已入选教育部、湖南省科技厅等征集的关键核心技术。
SPA 和 LM-2I 靶向激活 ASS1 发挥抗肿瘤机制
有色冶炼砷碱渣高精度矿化分离及减污降碳资源化利用关键技术
主要完成人:孙伟,刘勇,韩海生,彭竣,田佳,沈吉峰,胡文吉豪,王宇锋
近百年来,我国锑冶炼累积堆存砷碱渣已经超过30万吨,这些渣库分布在冷水江、沅陵等资江流域沿线,对资江、洞庭湖流域近千万居民的健康生活构成重大威胁。2016年,砷碱渣治理被列入中央环保组重点督察项目和湖南省政府“ 一号”工程,其安全处置已经成为一项世界性难题。团队借鉴砷在自然界中的成矿原理,建立了砷酸复盐矿化分离新理论与新方法,开发了砷碱高精度矿化分离及减污降碳资源化利用成套技术与装备,彻底攻克了砷碱渣无害化处理世界性难题。在“世界锑都”冷水江建成2万吨/年(世界最大规模)砷碱渣处置示范工程,盘活数亿吨含锑多金属资源,从根本上解决了资江流域砷、锑污染问题,通过了中央环保督察验收,科技成果评价达到国际领先水平,入选2021年湖南省十大新闻,中国科协“科创中国,先导技术”。
有色冶炼砷碱渣高精度矿化分离及减污降碳资源化利用关键技术
锌金属能源界面调控基础
主要完成人:王海燕,张旗,孙旦,唐有根,彭志光
近年来,锌金属能源在规模储能电池领域的应用迅速成为了研究的热点。然而,锌金属负极仍面临严重的枝晶生长与自腐蚀等关键瓶颈问题,制约了电池的长循环寿命。唐有根-王海燕团队重点聚焦集流体-锌金属界面,电解液-锌金属界面,涂层-锌金属界面及隔膜-锌金属界面,深入研究这些界面对锌负极上离子沉积与剥离的影响,逐步构筑了本质安全长寿命低成本的可充水系锌离子电池,实现了高性能锌负极的低成本制备,推动了锌金属能源的应用进程。相关成果发表在Nat.Commun., Angew. Chem. Int. Ed., Energy Environ Sci等国际顶级期刊。
提出了通过调节锌成核和生长过程中的界面电场和离子分布来诱导锌均匀沉积的设计策略,为合理设计无枝晶锌负极提供了理论依据。
光纤通信器件的高性能封装技术与装备
主要完成人:段吉安,郑煜,卢胜强,周海波,唐佳,徐聪
光纤通信器件是光纤通信、大数据、云计算等信息领域的支撑。早期我国光纤通信器件的封装制造主要采用“手工耦合”模式,器件性能严重依赖工人操作水平,一致性差,严重阻碍了我国光纤通信器件制造技术的发展。
段吉安教授带领团队成员,针对我国光纤通信器件封装制造产业的重大需求,以实现光收发器件的高性能自动耦合封装为目标,研究突破了光路耦合位置分区逼近搜索、亚微米精度运动控制、高灵敏度光功率检测等关键技术,自主研发了接入网器件、城域网器件、骨干网器件、数据中心互连器件的自动化高性能耦合封装工艺与装备,打破国际垄断。授权发明专利39 项,形成基础研究、核心技术、装备集成的全链条创新,实现光纤通信器件封装行业由手工操作到自动化生产的技术跨越。
上述成果广泛应用于深圳九州光电、武汉联特、韩国Phovel 等20余家企业,解决了光纤通信器件高性能耦合封装难题,为我国光纤通信器件制造产业的自主可控发展提供了重要支撑。
研制开发的多类型光纤通信器件高性能自动化耦合封装装备
列车碰撞能量协同耗散与轨迹自保持技术及装置
主要完成人:高广军,姚松,彭勇,王田天,谢素超
该项目紧密结合国家“交通强国”战略需求,围绕“列车碰撞乘员安全保护”这一目标,发明了列车碰撞能量协同耗散与轨迹自保持技术及装置,解决了列车能量耗散协同匹配难题,突破了现有列车不能对心防爬、无防脱轨装置的局限。列车吸能能力提升1倍,安全碰撞速度提高40%。项目获得中国发明专利13项,国际专利6项。整体应用于400km/h高速列车、350km/h“复兴号”动车组、城轨列车及出口境外城市列车耐撞性设计。获2019年湖南省技术发明一等奖。
提出列车“主动式被动防护”安全防护理念,打造列车独有的“安全气囊”,形成满足通信、感知、预警和控制全方位列车碰撞安全防护系统。组合式鼓胀撕裂吸能装置在现有车辆有限空间内实现车辆吸能能力大幅提升。
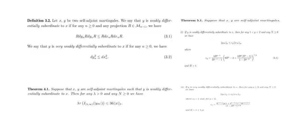
非交换分析
主要完成人:焦勇,吴恋,周德俭,谢广亨
非交换分析是国际上新兴的交叉学科,主要目的之一是为量子物理和量子信息等提供数学理论基础,是典型的面向世界科技前沿的基础学科研究。团队历经多年持续研究,在非交换分析方向取得一系列突破性进展:
1. 发现了非交换微分从属鞅的恰当定义,证明了非交换微分从属鞅的基本定理,搭建了非交换微分从属鞅理论的基本框架;
2. 系统研究了非交换Johnson-Schechtman不等式,揭示了各种非交换独立之间的本质差异;
3. 证明了小指标鞅空间的对偶定理,构造性思想被国际学者广泛应用于解决其他问题。
成果解决了非交换分析中的几个重要公开问题:非交换好不等式以及非交换半群上的乘子定理等。相关论文发表于《Adv. Math.》《Ann. Probab.》《Comm. Math. Phys.》等国际权威期刊,被公开评价为:“important contributions”、“certainly useful”、“sharpest result”、“very essential”、“main tool”等。以该成果作为重要支撑,培育国家杰青1人,国家优青1人,教育部青年长江1人。
研究提出了非交换微分从属鞅的合理定义,证明了非交换鞅及其微分从属之间的弱1-1型估计和强p-p型估计。
据悉,本次评选由中南大学学术委员会主办,校学术委员会各学部、二级单位学术委员会以及青年科技工作者协会等协办,旨在大力宣传学校具有原创性、引领性的优秀学术成果,展示学术水平,促进学术交流,活跃学术气氛,进一步提升学术影响力,推进学校“双一流”建设。本次参评重大学术进展的成果是在自然科学、工程技术、人文社会科学或与之相关的交叉学科领域中,对科学技术、经济和社会发展有重大意义和作用的基础理论研究、应用研究成果。
来源:中南大学
编辑:党泽娟
责编:古丽扎提
版权声明:我们致力于保护作者版权,注重分享,被刊用文章【中南大学物理实验报告(重磅)】因无法核实真实出处,未能及时与作者取得联系,或有版权异议的,请联系管理员,我们会立即处理! 部分文章是来自自研大数据AI进行生成,内容摘自(百度百科,百度知道,头条百科,中国民法典,刑法,牛津词典,新华词典,汉语词典,国家院校,科普平台)等数据,内容仅供学习参考,不准确地方联系删除处理!;
工作时间:8:00-18:00
客服电话
电子邮件
beimuxi@protonmail.com
扫码二维码
获取最新动态
