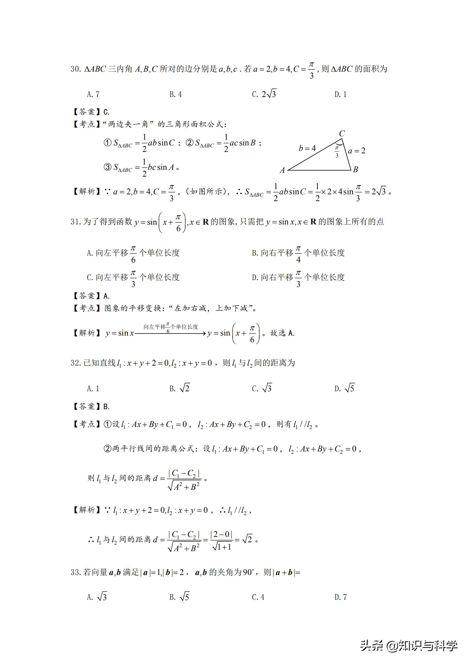
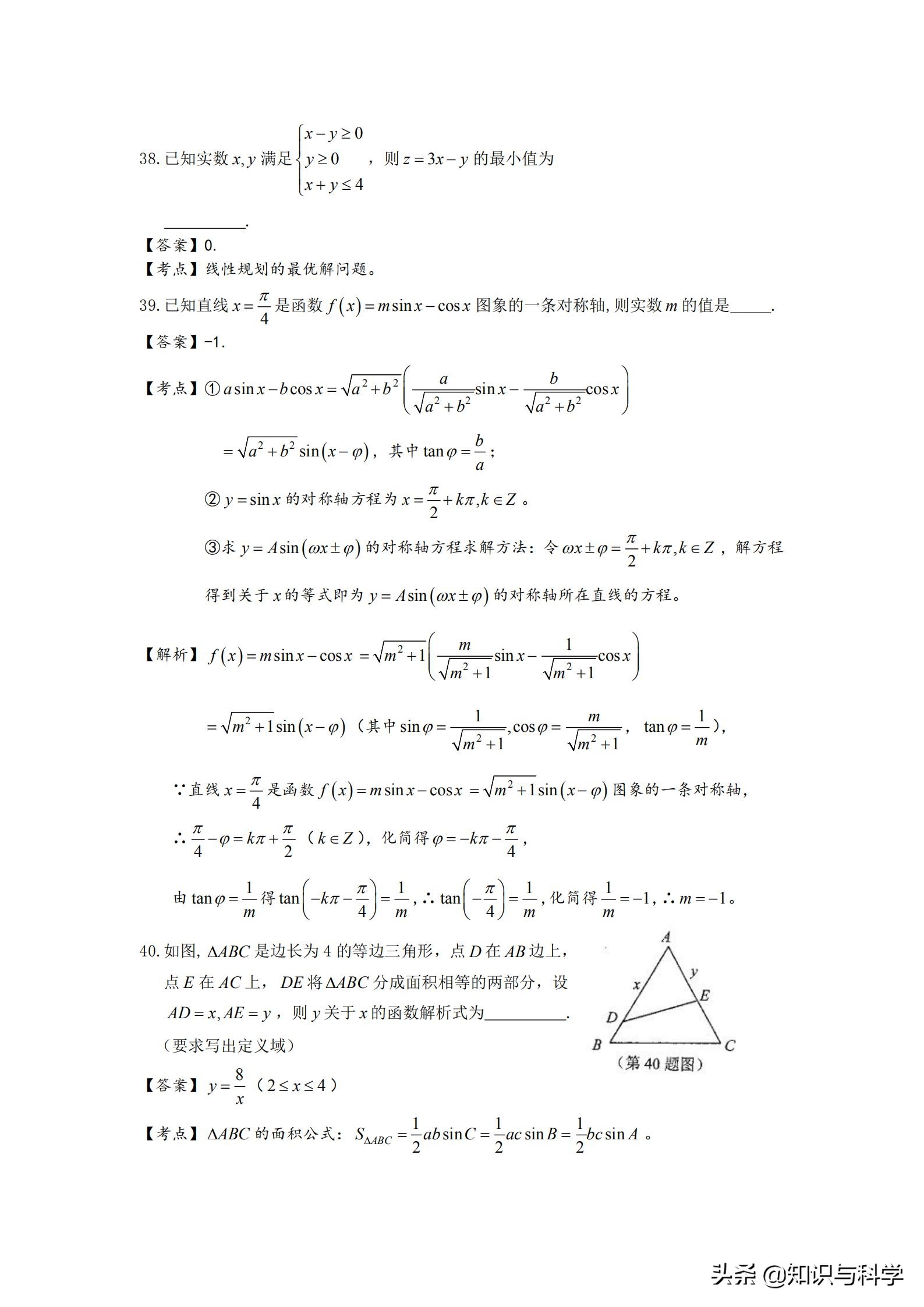
本文是贵州省2020年7月普通高中学业水平考试数学真题及答案详解,附考点分析和知识点拨。A4大小图片版,下载后可直接打印。
2020年7月高中数学学考真题详解 第1页
2020年7月高中数学学考真题详解 第2页
2020年7月高中数学学考真题详解 第3页
2020年7月高中数学学考真题详解 第4页
2020年7月高中数学学考真题详解 第5页
2020年7月高中数学学考真题详解 第6页
2020年7月高中数学学考真题详解 第7页
2020年7月高中数学学考真题详解 第8页
2020年7月高中数学学考真题详解 第9页
2020年7月高中数学学考真题详解 第10页
2020年7月高中数学学考真题详解 第11页
2020年7月高中数学学考真题详解 第12页
2020年7月高中数学学考真题详解 第14页
2020年7月高中数学学考真题详解 第15页
贵州省2020年7月普通高中学业水平考试数学试题共43道题,满分150分,考试时间120分钟。包含三道大题,具体情况如下。
第一道大题:选择题,35个小题,每小题3分,共105分。第二道大题:填空题,共5个小题,每小题3分,共15分。第三道大题:解答题,共3个小题,每小题10分,共30分。试题总体难度不大,属于中档偏下。主要考察基本知识点、基础知识的理解和应用。知识涵盖面较广,考察的比较全面,题目质量很好,值得广大高中生仔细研读、认真钻研。选择题、填空题和解答题的最后一小题,尤其是解答题43题的第二问难度较大。
版权声明:我们致力于保护作者版权,注重分享,被刊用文章【2017高考贵州数学答案(贵州省2020年7月普通高中学业水平考试数学真题及答案详解)】因无法核实真实出处,未能及时与作者取得联系,或有版权异议的,请联系管理员,我们会立即处理! 部分文章是来自自研大数据AI进行生成,内容摘自(百度百科,百度知道,头条百科,中国民法典,刑法,牛津词典,新华词典,汉语词典,国家院校,科普平台)等数据,内容仅供学习参考,不准确地方联系删除处理!;
工作时间:8:00-18:00
客服电话
电子邮件
beimuxi@protonmail.com
扫码二维码
获取最新动态
