公布啦!公布啦!
孟津县义务教育民办学校
派位录取名单
孟津双语实验学校摇号结果
(一) 双语学校小学一年级电脑摇号结果(70名)
(二)双语学校初中七年级电脑摇号结果(225名)
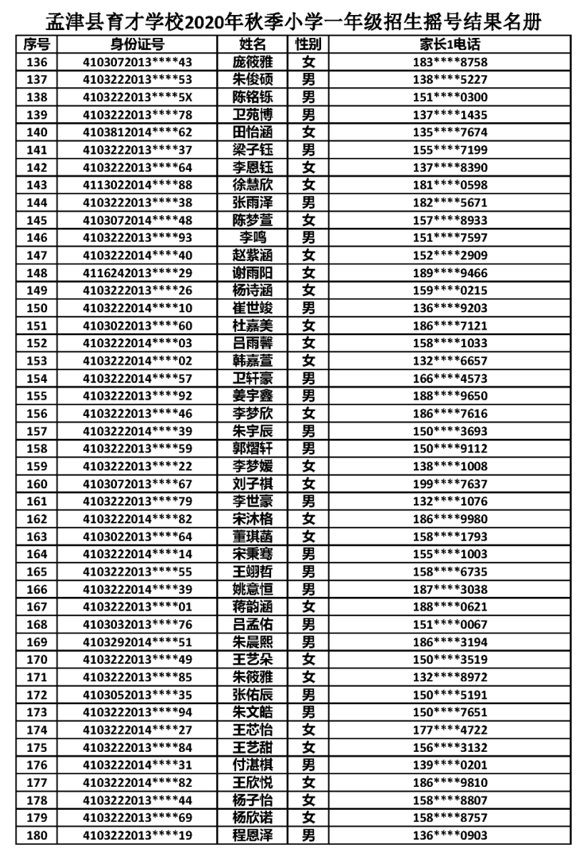
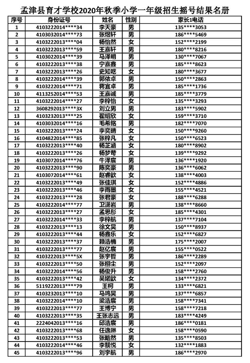
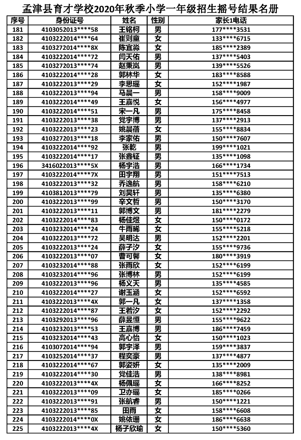
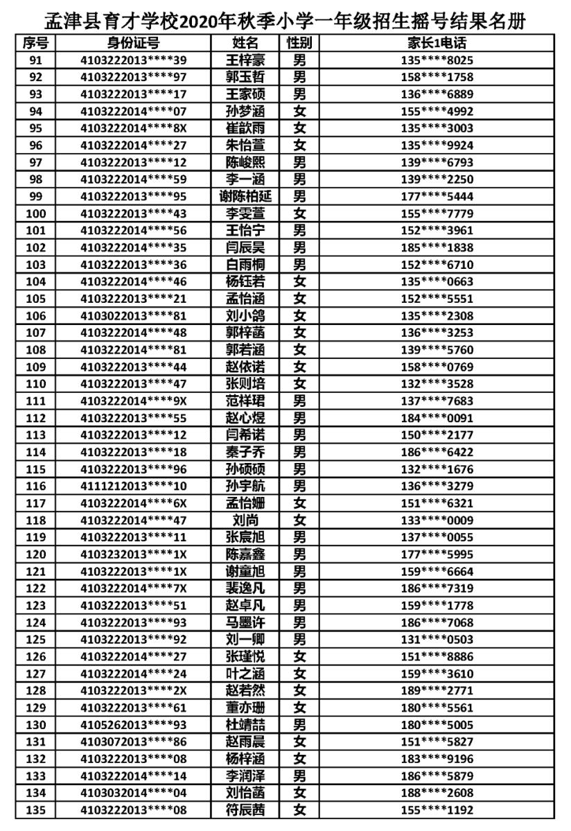
孟津育才实验学校摇号结果
(一)育才学校小学一年级电脑摇号结果(225名)
(二)育才学校初中七年级电脑摇号结果(70名)
来源:“孟津教育”微信公众号
版权声明:我们致力于保护作者版权,注重分享,被刊用文章【孟津育才实验学校分班(孟津民办学校摇号结果公布)】因无法核实真实出处,未能及时与作者取得联系,或有版权异议的,请联系管理员,我们会立即处理! 部分文章是来自自研大数据AI进行生成,内容摘自(百度百科,百度知道,头条百科,中国民法典,刑法,牛津词典,新华词典,汉语词典,国家院校,科普平台)等数据,内容仅供学习参考,不准确地方联系删除处理!;
工作时间:8:00-18:00
客服电话
电子邮件
beimuxi@protonmail.com
扫码二维码
获取最新动态
