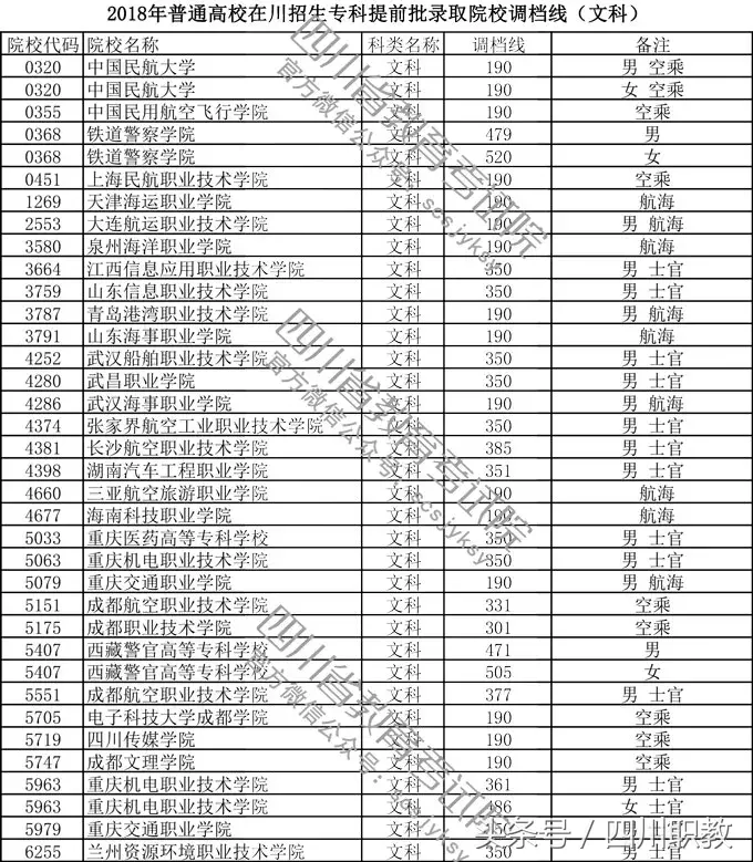
亲爱的小伙伴们,2018年普通高校招生在川招生专科提前批录取已按期投档。四川省教育考试院在第一时间发布2018年普通高校在川招生专科提前批录取院校调档线(含文科和理科)。大家快来看看自己上线了没!

(点击可看大图)

(点击可看大图)
士官生是为部队定向培养的人才。学习主要分为两大块:一是必须要过的文化课,二是像军人一样每天的日常训练。
四川邮电职业技术学院该校士官生的业余生活
为了丰富邮电职院士官生的课余生活,邮电职院经常举办一些富有专业特色而又轻松有趣的活动。队列会操、内务比赛、运动会、拔河比赛、科普讲堂等……
到底是个怎么样的盛况,看图就知道了↓

邮电职院内务大赛

邮电职院运动会士官生入场

队列会擦比赛

拔河比赛

参加学术大讲堂
文化课学习内容和本专业普通专科生一样,都必须要经过严格的期末考试,考试挂科也一样要补考,学分修满才能毕业。而除了必须要过的文化课之外,当其他学生们还在睡梦中时,成航的士官生们便已起床集合,到操场进行早训;站军姿、踢正步等训练是士官生的的日常;穿着厚衣服在水池里蛙跳、背着厚行李做俯卧撑也是士官生必须要经受的过程,擒敌拳、匕首操等基础进攻防守技能也是他们的必修课程之一,不仅如此,每天锻炼之后饥肠辘辘,吃饭之前还要扯着嗓子喉两吼……
说那么多,不如看图感受一下↓

航空职院的士官生在进行射击训练

航空职院的学生在站军姿
航空职院的士官生在做俯卧撑
航空职院的士官生在进行水中蛙泳

航空职院的士官生早晨集合
成航职院士官生的业余生活
士官生看起来好像很辛苦,可是,和军队的训练相比,士官生又轻松了很多。运动会、拔河、队列会操、拉歌、专业技术比拼……各种特色活动非常多。

成航职院的士官生进行队列会操
再告诉大家一个好消息,那就是——士官生是拥有周末的,周末不再进行军事化管理,只要不穿着军装,是被允许出校门尽情嗨的哦!
版权声明:我们致力于保护作者版权,注重分享,被刊用文章【中国民航大学录取分数线(2018年四川省专科提前批分数线出炉)】因无法核实真实出处,未能及时与作者取得联系,或有版权异议的,请联系管理员,我们会立即处理! 部分文章是来自自研大数据AI进行生成,内容摘自(百度百科,百度知道,头条百科,中国民法典,刑法,牛津词典,新华词典,汉语词典,国家院校,科普平台)等数据,内容仅供学习参考,不准确地方联系删除处理!;
工作时间:8:00-18:00
客服电话
电子邮件
beimuxi@protonmail.com
扫码二维码
获取最新动态
