医护招聘温馨提示:昌吉州人民医院,2020年招聘医师、医技、住培学员、护理等116人,报名截止至2020年8月10日(护理岗截止至5月20日)。请大家提前进行简历、笔试及面试准备哦~
昌吉州人民医院建于1955年,是新疆昌吉地区规模最大的一所集医疗、教学、科研、预防、保健、康复、急救为一体的“三级甲等”综合医院和昌吉州区域医疗中心。医院是国家住院医师规范化及临床药师培训基地,有19个昌吉州医疗质量控制中心。昌吉州“120”紧急救援中心、昌吉州精神卫生中心设在我院,是国家流感样病例哨点监测医院、国家食源性疾病哨点监测医院、自治区腹泻病监测哨点医院、自治区包虫病定点救治医院,国家卫健委确立的新疆地区“无痛分娩”试点医院。
医院现占地面积215.47亩,现有业务用房面积105624.88平方米,医院有3个院区,分别为本部、南院(内设延南综合门诊部、传染病分院)、北院(内设儿科综合病房楼、住院医师规范化培训基地)。拥有自治区天山英才计划培养人员3人,自治州高层次人才工作室5个,州级拔尖人才3名,参加“西部之光”访问学者培养人员4人。医院致力于重点学科建设,目前有12个区级重点专科项目,建有8个教研室和43个教研组,11个国家级住培专业基地,1个国家级临床药师培训基地,是首批自治区新入职护士规范化培训基地。
招聘计划
为进一步加强医院卫生专业技术人员队伍建设,结合医院发展需要和实际情况,2020年春季面向社会招聘工作人员116名(含紧缺岗位招聘计划46人,住培学员20人,护理岗位50人)。
招聘条件
(一)具有中华人民共和国国籍;
(二)遵守国家法律、法规,无犯罪及其他不良记录;
(三)具有良好的品行和职业道德;
(四)政治立场坚定,服从组织安排,热爱医疗事业;
(五)具备胜任岗位的身体条件;
(六)具备岗位所需的专业知识、执业资格、住院医师规范化培训合格证和工作能力;
(七)具备招聘岗位所公布的学历并取得相应学位,海外留学归国人员须取得国家教育部留学认证;
(八)民语言考生(民考民)须达到中国少数民族汉语水平等级考试(MHK)四级乙等标准;
(九)考生年龄须符合相应岗位要求的年龄:硕士研究生、本科毕业生年龄不超过35周岁,大专毕业生不超过30周岁(30周岁及以下指1990年4月3日后出生的人员,其他年龄要求以此类推);
(十)具备招聘岗位所需的其他条件和要求。
招聘程序
(一)时间:2020年4月1日至8月10日下午18:00;
(二)报名方式:本次招聘采取网络报名方式。紧缺人才招聘、住培学员招聘报名截止时间2020年8月10日,护理岗位招聘报名截止时间2020年5月20日。考生在报名时限内将以下电子版报名材料打压缩包并以“报考岗位+姓名”重命名后发送至邮箱:zyyrsk11@163.com(紧缺岗位、住培学员岗位),1092962568@qq.com(护理岗位),请务必按规定要求发送邮件;
1.身份证扫描件;
2.初始学历至最高学历的毕业证、学位证扫描件;各学历需同时提供:学信网学历认证报告(电子版);学位网认证学位信息(电子版);
3.中国少数民族汉语水平等级证书扫描件;
4.规培合格证、资格证等相关证件扫描件;
5.中级职称证书扫描件(报考具有中级任职资格考生须提供);
6.《昌吉州人民医院公开招聘工作人员报名表》(见附件)扫描件;
7.《昌吉州人民医院拟招聘人员考察表》(见附件)扫描件。户口所在派出所意见栏:由考生户口所在地派出所出具。考生所在单位意见栏:考生如已参加工作,由原工作单位或社区出具政治审核材料,并加盖单位公章;暂无工作单位的由居住地所在社区出具政治审核材料;
8.昌吉州人民医院招聘岗位报考人员花名册(电子版)(见附件)。
(三)注意事项:
1.报考人员所提供信息与本人真实信息不符的,后果由报考人员自负,凡提供虚假报告申请资料的,一经查实,即取消报名考试及聘用资格。
2.每位考生只允许报考一个岗位,多报视为无效信息。
3.专业参照目录:本科学历岗位参照2017年新疆维吾尔自治区公务员录用考试专业参考目录;硕士及以上学历岗位参照2013年研究生招生学科及专业代码册。
4.本次招聘硕士研究生及以上岗位采用考核制方式公开招聘,考核制方式招聘不受岗位比例限制。其余岗位应聘人员与招聘人数之比应不低于3:1。达不到比例要求的,经昌吉州人民医院党委审批后,可调整为2:1或取消该岗位的招聘计划。
5.未能在规定时间内完成以上报名步骤的人员,视为自动放弃报考资格,一切责任由报考人员自负。
6.由昌吉州人民医院公开招聘工作领导小组按相关规定和岗位要求对应聘人员相关材料、任职资格基本条件进行审查并进行政治审核。资格审查合格人员名单将在昌吉回族自治州人民医院行政楼入口旁公示栏发布。后续考核时间、地点、方式另行通知。
其他事项
1.招聘过程中有关调整、补充等事项将在昌吉回族自治州人民医院微信公众号发布,应聘者需及时关注。
2.应聘者必须提交准确、畅通的联系电话,以防错过相关考试时间安排和重要提示信息。
3.招聘工作联系人:张 丽,联系电话:0994-2351770。
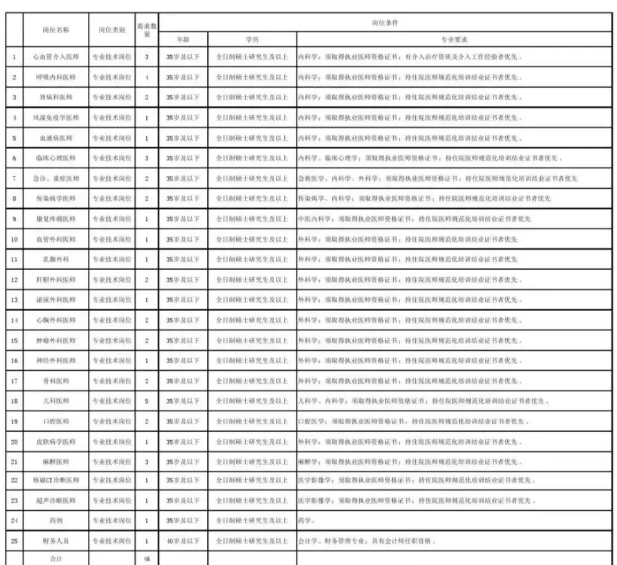
昌吉州人民医院2020年招聘紧缺岗位
人才职位表
昌吉州人民医院2020年招聘住院医师规范化
培训学员职位表
昌吉州人民医院2020年招聘护理岗位职位表
附件:
1.昌吉州人民医院2020年招聘紧缺岗位人才职位表
2.昌吉州人民医院2020年招聘住院医师规范化培训学员职位表
3.昌吉州人民医院招聘护理人员职位表
4.昌吉州人民医院公开招聘工作人员报名表
5.昌吉州人民医院拟招聘人员考察表
6.昌吉州人民医院招聘紧缺岗位人才报考人员花名册(研究生及以上学历)
7.昌吉州人民医院招聘住院医师规范化培训学员报考人员花名册
8.昌吉州人民医院招聘护理岗位报考人员花名册
(附件可在微云上下载)
来源:昌吉回族自治州人民医院
版权声明:我们致力于保护作者版权,注重分享,被刊用文章【新疆昌吉卫生学校([新疆)】因无法核实真实出处,未能及时与作者取得联系,或有版权异议的,请联系管理员,我们会立即处理! 部分文章是来自自研大数据AI进行生成,内容摘自(百度百科,百度知道,头条百科,中国民法典,刑法,牛津词典,新华词典,汉语词典,国家院校,科普平台)等数据,内容仅供学习参考,不准确地方联系删除处理!;
工作时间:8:00-18:00
客服电话
电子邮件
beimuxi@protonmail.com
扫码二维码
获取最新动态
