今年秋季学期,贵州省普通高中高一年级起将全面实施新课程新教材新高考。不少家长和学生都一头雾水,“3+1+2”模式跟原来有什么不同?等级赋分到底是什么?怎么计算?有什么作用?
今天,先从新高考的计分说起。毕竟,分数是大家最关心的部分。其中,等级赋分是新高考的一大特点。
新高考下成绩计分的变化
首先,我们先来了解新高考“3+1+2”模式的总成绩是怎么计算的。从2021年起,新高考总成绩(满分750分)=统一高考科目成绩+学业水平考试选考科目成绩,具体如下图:
说明:统一高考科目语文、数学、外语使用原始成绩计入考生总成绩,每门满分150分;选考科目中,物理/历史使用原始成绩计入考生总成绩,每门满分100分;考生在思想政治、地理、化学、生物学中自主选择的两门科目按等级赋分后计入考生总成绩,每门满分100分。
看到以上的成绩构成,我们会发现,按【等级赋分】来计入总成绩的科目,是2门再选科(即政治、地理、化学、生物)。这也意味着,再选科目卷面上的分数,未必是最终计入高考总成绩的分数。
那么,等级赋分怎么计算?为什么再选科目要实行等级赋分算法?从等级赋分中又是否能给到新高一学生选科上的提醒?这些问题,带你一一了解,往下看!
等级赋分的具体算法
等级赋分的计算方法,大致是这样的流程:
以高考新方案为例,转换时将各科目考生原始成绩从高到低划分为A、B、C、D、E共5个等级,各等级人数所占比例分别约为15%、35%、35%、13%和2%。各科目成绩计入考生总成绩时,将A至E等级内的考生原始成绩,按照事先确定的比例,依照转换公式,分别转换到100~86、85~71、70~56、55~41、40~30五个分数区间,转换分均保留整数,在小数点后一位进行“四舍五入”。得到考生的赋分成绩。
具体等级比例和赋分区间为:
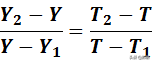
等级转换的具体公式:
其中:Y1、Y2分别表示原始分区间的下限和上限;
T1、T2分别表示转换分区间的下限和上限;
Y表示原始分;
T表示转换分。
考虑到高考分数都以整数呈现,这一公式的计算结果需要进行“四舍五入”处理。
第一步,将同一门再选学科考生的原始分从高到低依次排序;
第二步,按照分数转换参数表确定的等级比例,按原始分排序,依次将考生成绩划分到A、B、C、D、E共5个等级后,可得到每个等级考生原始分的分布区间;
第三步,同一等级内,根据考生的原始分、所在等级的原始分区间和转换分区间,按照分数转换公式,计算得到考生的转换分。
转换示意图及示例
上图当中的重点是换算公式。如果看懂了这个换算公式,那么等级赋分的重点就算是掌握了。假如看不懂,别着急,我们一起来举个例子:
假设某同学思想政治学科原始分为81分,按照原始分排序,依照等级比例应划分到B等级,而该学科B等级的原始分分布区间为82~61,转换分区间为85~71,按照转换公式该同学思想政治学科的转换分为:
解得
该同学思想政治学科转换分为:84分。
从中也可以看出,赋分的关键在于:“4选2”选考科目的分数在同一科目中的排名,根据这个排名区间确定所在的等级,然后根据等级,赋以对应的分数,计入高考成绩。
等级赋分最终分数的高低区域排名和所选科目的人数息息相关,排名固定时,考生基数越大,赋高分机会越多。
假设小明同学选考化学科目,原始分94分,如果全省共有5万人选择这一学科,小明排1000名,按照等级比例,他的等级为A(约15%),如果1万人选考,那么同样考1000名,就成为B(约35%)等级了。
看完上面这个例子,同学/家长应该就能理解等级赋分的算法了吧。相信不少同学/家长也发现,最终等级赋分的分值,会受该科目在当次考试中的整体情况和考生排位影响。
看到这里,可能会有家长/学生会问,为什么同为选科,物理/历史却可以使用原始成绩?
为什么物理/历史可以使用原始成绩
物理/历史能使用原始成绩,是因为高校在录取时,将按物理和历史两个类别分列计划、分开划线和分开投档录取。选择物理或选择历史的考生在各自的序列中排队,成绩具有可比性。因此,物理/历史可以直接使用原始成绩。
其他4门选考科目等级赋分的意义
参考上面物理/历史可以使用原始成绩的原因,我们其实不难发现,考生从4门科目中选择的2门再选科目,会产生6个不同的选择组合。这样一来,会出现报考同一高校同一专业的考生,其2门再选科目很可能有所不同的情况。如果直接按原始卷面成绩来算,会出现不同的科目选考不同,不能比较的问题。如果直接使用卷面成绩,不够科学和公平。
我们来看一个通俗易懂的例子:甲同学选考化学,乙同学选考地理,两人卷面成绩都是75分,但是甲学生在所有选考化学的学生中排名第1000位,乙学生在所有选考地理的学生中排名第3000位,两个科目的难度稍有差异。若只是按照卷面成绩来算,既不公平也不科学。
而等级赋分的换算中,等级区间比例可以保持考试每门学科成绩排名顺序不变,确保成绩转换公平公正,解决了上面我们所说的问题。同时,它充分体现学习的能力,以能力为导向来选拔学生;除此之外,也充分满足了所有学生能够有更高分值的要求。
我们再举个例子。
A学生选物理、化学、生物,B学生选物理、化学、地理,科目不同无法统一划一条线比较,不同的科目难度也不同,等级赋分相当于排队赋分,学生在群体当中的排位,排位越前赋分就越高,排位越低赋分就越低。以地理为例,假设某次考试难度较大,最高分考生分数为70分,最低分考生为0分,在赋分后最高分的学生的就有100分,所以对尖子生来说,分值提升了;对于最低分的学生,即便原始分只有0分,但在赋分后,也达到了30分的起点,即赋分后不可能会出现有学生考0分的可能。再假设某次考试内容特别简单,所有学生普遍在高分,80多分在赋分后就可能只有60多分。即所得分数取决于考生在本场考试中的排名情况。如此看来新高考采取等级赋分的方法还是有科学依据的。
等级赋分给新高一生选科的启示
看到上面这些内容,我们不难发现,等级赋分和当次选科难度及排位挂钩。这也给同学们,特别是新高一的学生们一个启示,选科的时候,也要考虑自身的学科能力和整体的竞争力。
除了考虑专业的选择,同时也要考虑自己在这个科目上是否能有所突破,否则,自己在该科的能力一般,可能会出现选同一科目有比较多的学霸,竞争力大的情况。那么,可能会出现自己当次考试考了85分,但其他学霸都考了95分,赋分下来,可能最终成绩都没有85分的情况。
附:
——END——
监制:颜丽
执行:聂祥顺
编辑:李柱江 周兴兰
实习编辑:聂 涛 李启清
来源:网络
出品:尚自然文化产业融媒体中心
声明:部分信息摘自网络、及相关关联信息官方网站,转载此文是出于传递更多信息之目的。若有来源标注错误或侵犯了您的合法权益,请作者持权属证明与贵州尚自然文化产业发展有限公司联系删除,我们将及时更正、删除,谢谢
版权声明:我们致力于保护作者版权,注重分享,被刊用文章【2018年贵州高考改革最新方案(贵州将实施新课程新教材新高考)】因无法核实真实出处,未能及时与作者取得联系,或有版权异议的,请联系管理员,我们会立即处理! 部分文章是来自自研大数据AI进行生成,内容摘自(百度百科,百度知道,头条百科,中国民法典,刑法,牛津词典,新华词典,汉语词典,国家院校,科普平台)等数据,内容仅供学习参考,不准确地方联系删除处理!;
工作时间:8:00-18:00
客服电话
电子邮件
beimuxi@protonmail.com
扫码二维码
获取最新动态
