
苏世学社,有深度的学习分享社区
【声明:本文为原创文章,未经同意,严禁转载和抄袭,违者将追究其法律责任】
初试攻略,考研初试方法论都在这里。
我是今年上岸北大研究生的学长,数学一130+分,临近考研,现在是冲刺阶段,我发现大多数考研同学都不会“应试”,要么是看见题目想不到方法,甚至不知道每道题有几种解法;要么是有思路但是写不出来,但是一看答案就会;要么是平时做题都比较熟练,但是考试遇到新题就不知道如何下手;要么是遇到题有思路,但是找不到最快的方法,做题的时候总是走弯路。这些问题都是最常见的,今天我就考研数学“应试”方面向大家介绍我的“思维宝典”,给考研同学提供一些备考建议。
我们也建了考研数学交流群,感兴趣的同学可以私信小苏拉你进群。
考研路上遇到的问题和对考研的疑问,或者你有希望我们创作的文章/内容/视频,可以随时联系小苏。
我发现大多数人不会应试,理想情况应当是:拿到一道题,看题目和问题,然后自动归类,比如今年数学一第18题,属于II类曲面积分计算这类题型。那么自动寻找解法,有高斯公式、转化为一类曲面积分、转换投影法三种办法,这时候进行选择、试错,什么意思呢?也就是说要么你以前做过/遇到过这种题目这种条件,这时候你会很熟练的选择转换投影法或换为第一类曲面积分进行求解,但是如果失效,也就是所谓的新题,考场上尤其影响心态,这时候你应当试错,首先用高斯不行,然后排除法也知道(因为只有这三种解法)自然应当选用后两种,然后问题解决。
不过平时要怎么做上述条件反射呢??
这就是高手的秘诀,要么如我所说,平时大量刷题,所有题的问法都见过,那么基本没啥问题,考试心态也稳,要么平时做好思想储备,搭建自己的条件反射仓库。具体而言,也就是平时有意识训练上述解题过程,要问自己几个问题:这是什么题?有哪几种解法?这道题用那种解法?有能力的甚至可以拓展,问自己如何改变这道题使得可以用其他解法?
特别强调:上面4个问题需要你说出来,一定要大声说出来,因为心理学有个隐知识,好像是说你能把一个东西说出来才证明你学会了,很多时候我们看数学看视频看懂了,结果自己做就不会,这就是这一心理学知识的表现,所以你们一定要大声说出来/写在纸上,按照步骤来问自己。
将其熟练化(适合大题),同时配套下面我所说的数学应试思维(适合选择题/填空题),再辅以逆向思路(即明白出题者的意图,也就是猜测出题者可能想考察我们那个知识点,如果计算太复杂那么一定是思路或计算出了问题赶快纠正),这样必然可以高分,不管什么题都能做出来或是起码能得分!
① 思维名字:画图思维
适用题型:【选择填空题】-概率论求概率
使用场景:概率论求概率
举例说明:92年 填空题(20年 数学一第7题也可)
解答过程:


② 思维名称:条件的利用
适用题型:大题
理论依据:考研数学中第一问对于第二问99%有帮助,且可以直接拿来用于第二问证明。(类似的应试技巧见下文)
举例说明:20年数学一 第19题高数证明题
解答过程(仅限于第二问):

③ 思维名称:特值法+排除法
适用题型:选择填空题
理论依据:特值法思想在于把抽象的问题具体化从而排除几个选项,大大增加解题思路和正确率!
使用场景:抽象的选填
举例说明1:
解答过程1:
有同学说,这个题不是很简单吗,出此题的本意是分享选择题解题技巧之特殊值法,比如这道题,你取f(x)=x,待求极限就是-1,此时A、B、C、D选项分别是-2、-1、1、0,此时显然应该选B,因此本题得解,你看运用这种办法是不是很简单,特别是当你没有解题思路时,这个时候这个方法非常好用,因为通过举特殊值你就排除了几个选项,做对的概率是不是变大了!当然这题还有其他解法,大家自行思考,本题的目的是希望大家能够学会这个方法,增加得分几率。
举例说明2:20年数一 选择题第2题
解答过程2:

举例说明3:
解答过程3:
④ 思维名称:几何思维
适用题型:填空题,选择题
使用场景:概率论正态分布,线代向量相关无关(用有向线段表示)
举例说明1:91年数学一 填空
解答过程1:

由 0.5-0.3=0.2,得到答案。
举例说明2:
解答过程2:
α2,α3,α4无关,所以可以构成空间直角坐标系三个轴向量,α1,α2,α3相关,说明α1在α2和α3组成的二维平面,如下图,所以α1可以由α2和α3表示(因为在一个平面),而α4不可以被α1,α2,α3组成的XOY面表示,因为他是Z轴,如下图清晰解答!
⑤ 思维名称:反证法
适用题型:证明题
使用场景:适合于证明题正面不好证明,从而只需证明其对立面不可能/矛盾即可!
举例说明:96年大题
解答过程:
为简便起见,第一问略过,当结论用,做第二问:

⑥ 思维名称:逆向应试思维(检验思维)
适用题型:所有题型
使用情景:做题时,如果有多步骤,应当对你的思路进行评估,即“是否可能正确”,遵循“所谓的感觉”,然后严格的一步一步推导,用逻辑思维严格证明其合理性,该方法适合所有题型,贯穿做题各大步骤,即审题、做题、回顾阶段,该方法建立在考研数学的考察本质上,即一道题不可能太难,如果你的解答过于困难/无法进行下去,说明你的解题思路出现问题。
此时应当换另一种思维,由于此解法极其重要,因此多举几例,以供参考!
举例说明1:20考研 数学一 填空题12题
解答过程1:
显然第一眼一看,如果先对X求偏导,那么由于e的t平方次幂原函数无法求出,因此无法求解,考场上我的反应是无从下手,然后联想到一个结论,二阶混合偏导连续那么它们相等,于是设想先对y求偏导如何,没想到易如反掌,此题迎刃而解!
举例说明2:20考研数学一 高数18题
解答过程:
首先对于第二类曲面积分往年都是高斯公式,我一上手也是高斯,不过发现题目中并没有说明f(x)可导,因此必不能用高斯,事后判卷情况也印证了这一观点,根据朋友反应此题用高斯概不给分,然后转变思路,想想第二类曲面积分的有哪些计算方法,无非三种,转换投影法,转化为第一类曲面积分,高斯,因此首选了转化为第一类曲面积分,结果迎刃而解!
打好基础——覆盖面全;一题多解——解题思路深;模拟习题——练心态,稳定发挥;亲自动手算——增强计算力同时锤炼解题技巧
进入十月,一般的复习进度应该是冲刺进行到一半左右,不过每个人的进度不一样,这个进度仅供参考,真正的关键是你掌握了多少知识而不是你学了多少或者说过了几轮,有的人学的细,能举一反三,一遍也足够了,有的人则盲目追求几轮,每次复习都是新知识点,不看答案就记忆不起。
因此,基础强化冲刺真题模拟这几个阶段并不是必须的,基础阶段属于预热,就是有个印象,方便后续课程学习;强化阶段就是对知识点进行细致的学习,冲刺是解决各类题型(会做题),真题是熟悉风格,模拟是锻炼心态。
学长今天也给大家提几个数学备考方法建议。
一定要自己动手算,一定要自己动手算,一定要自己动手算!!!不要思维懒惰看答案,特别是用看视频来代替自己的思考过程,看答案一时爽,一直看答案一直爽,爽到最后就60分,刚刚所举的例题你是否动手或者动脑算了呢?同时,考试后期也不要再花大量时间看视频了,还没看完视频的尽快看完,做好笔记!
不要追求太难太偏的题,考研是选拔性考试,太难的和太简单的都不太会考,大多数是中档题,因此我们平时不要好高骛远,切莫攀比,踏实按照自己的策略来,建议大家自己去看看考纲,知道哪些考哪些不考,别复习到最后不考,那就用力过度了!!
不要盲目刷题,有些同学备考时很容易陷入一个误区,类似猴子掰玉米一般,掰一个丢一个,即疯狂刷题,见题就做,做完一道题就过去了,也不进行总结,会做的还是会做,不会做的还是不会做,水平没有提高。
有些同学问,那怎么做呢,俗话说,只批评不给挽救措施就是耍流氓。
好的,客官,热菜马上就好,请各位做好准备,下面看一道并不算难的例题,看我的手法,如何实现举一反三。
例如:
这道题大家应该都会做吧,你会几种方法?大多数同学满足于解出来就完事,并没有进行总结或者说不会总结,话不多说,看我手法。
首先读题,这是求某一点的导数问题,是一道填空题,然后开始解题:
法一:求出导函数,然后代入x=0
你会发现这个函数求导函数是不是很复杂呀,因此本题放弃该方法(当然有兴趣的可以下去自己试试)
法二:用导数定义
法三:特殊形式的导数定义
令:
此时利用导数定义,
法四:假设你没有思路,此时应当大胆猜测
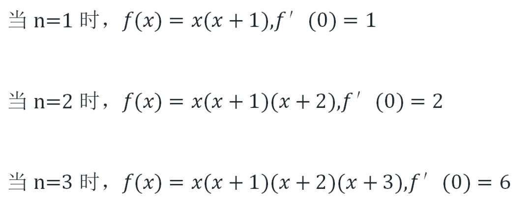
由此,你就可以猜测出答案为n!,由此可见,如果你没有思路,那么不妨先写出前几项,在写的过程中你就可能发现问题的求解办法或者说能够猜出答案。
做题的三个过程
① 解题过程
在我解答这道题的过程中,大家看清我是怎么做的了吗?首先是审题,看它的题目类型(填空题)、可能考察点(导函数求解办法、导数定义)、快速验证(比如这里直接求解导函数就太麻烦)、逆向思维(如果该题求导函数太复杂了,这只是一道选择题,因此一定有其他方法,是不是有什么性质?我公式用错了吗?是不是我有一步算错了所以这么复杂?我题目是不是看错了?等等)、继续验证直到求出答案,求出答案还不够,考研的答案不可能很复杂,如果很大一坨,多半是你陷入了命题老头的陷阱,此时应重新审视自己的解题步骤,再来一次!!
② 对答案过程
解答完毕之后,我们先看答案是否正确(注意一定要自己算出一个答案后才能看答案,一定要强迫自己给出答案,不管是做的还是蒙的),然后再对比自己和答案的解法是否有出入,不断修正自己的思路,写下犯错的原因,进步就是这么产生的。
③ 拔高过程
最后,学有余力的可以自己修改下条件,修改题型和问法等等,例如怎么求高阶导数?怎么求参数方程导数?怎么求隐函数等等问题!
第四个点建议是,要有好的备考习惯。
1.大家平时做题中,如果一道题思考了5分钟还没有思路,建议放弃,直接做下一道题,特别在做套卷的过程中,养成这个习惯后在考场这个紧张的环境中就会有的放矢,不会浪费过多时间。
除此之外,这个建议的目的是让大家有时间感,有些同学考试都要结束了居然还有很多题没做完,这就是没有掌握这个策略。
2.数学要在头脑最清楚的时间段进行复习,千万别在迷迷糊糊的时候做题,这样效率贼低。
考研数学考什么?客观来说就是基本概念的掌握以及计算能力的考察,主观而言或者说外部因素包括自身心态以及做题策略(如做题顺序等)。最终的分数是二者的综合体现,考研的本质就是在考场上有限的时间上得到尽可能多的分,比谁多?比同院校同专业的竞争对手多就行!!!
除了上面提到的应试思维和做题习惯,还有主观因素方面的心态,心态很重要!
有些同学平时模拟题和真题都是130分、140分,但是一上考场,最终的效果并不理想,因为考场上的题几乎全是“新题”,如20年考研数学尤其让人耳目一新,另外平时自己模拟和如战场的考场上考试环境、心态、专注度都截然不同,这一点相信大部分考研人都有同感!
再说说做题策略,建议大家在真题和模拟题套卷阶段选择自己喜欢的做题顺序,我个人习惯从前往后开始,重要的是卡壳阶段我们该怎么处理,我建议如果一道题5分钟内没有思路,我建议先往后做,
而有些同学则是大家熟知的“黑马”选手,平时不咋地,最后考出来的成绩还不错;对于这一现象,可以说心态和期望起着重要的作用。
如果对自我期望太高,考场上一旦遇到较难题就会心慌意乱,再加上饮食、天气、考场环境等等情况,最终的考试结果可想而知,本来会做的都会忘了。而有些同学定位明确,只要考到90~110分即可,反而心态良好,最终获得出其不意的分数。可能有些同学对这个不以为然,以为自己模拟题和真题都是高分选手。
因此,大家一定要注重心态,在平时每一次模考的时候就要培养好的心态,遇到新题、不会的题也要尽可能冷静去做下去。即使最后几天遇到不愉快的事、其他科目发挥不好,也要稳住心态,相信大家掌握了好的做题方法,又有好的心态,在今年的考研数学中一定能取得好的成绩!
版权声明:我们致力于保护作者版权,注重分享,被刊用文章【大学数学一(初试攻略丨北大数一130)】因无法核实真实出处,未能及时与作者取得联系,或有版权异议的,请联系管理员,我们会立即处理! 部分文章是来自自研大数据AI进行生成,内容摘自(百度百科,百度知道,头条百科,中国民法典,刑法,牛津词典,新华词典,汉语词典,国家院校,科普平台)等数据,内容仅供学习参考,不准确地方联系删除处理!;
工作时间:8:00-18:00
客服电话
电子邮件
beimuxi@protonmail.com
扫码二维码
获取最新动态
