天府新青年
你触手可及的朋友圈
以笔描绘梦想
以歌承载希望
以梦助力远航
“新时代·新青年”
2021年四川省大学生
庆祝中国共产党成立100周年
文化艺术展演活动
圆满结束啦
此次展演分为
“舞台艺术表演类”和“视觉艺术展示类”
包含红歌嘹亮、语言创作、原创歌曲、书法、绘画、微电影、纪录片等7个类别
经历网络评审、网络投票、省级展演及评选等多个环节
在专家评审公平、公正、公开的评选下
结合网络投票综合排名
最终获奖名单新鲜出炉啦
大家是不是已经迫不及待想知道结果了
现在就跟着团团一起来看看获奖名单吧
红歌嘹亮获奖名单
上下滑动可查看更多
语言创作获奖名单
上下滑动可查看更多
原创歌曲获奖名单
上下滑动可查看更多
书法获奖名单
上下滑动可查看更多
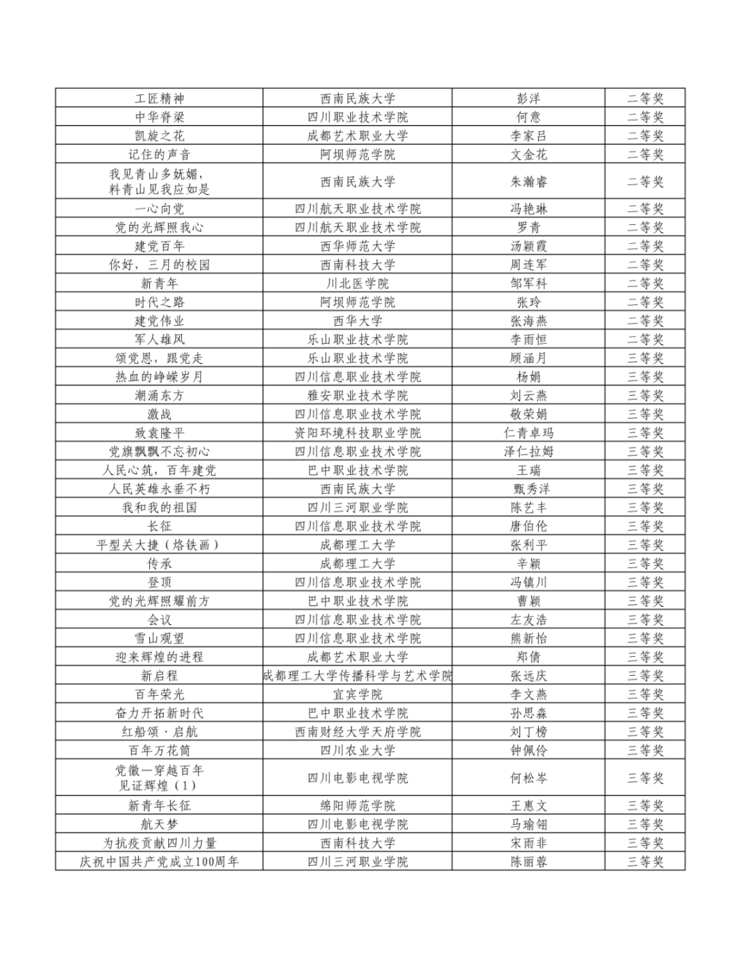
绘画获奖名单
上下滑动可查看更多
微电影获奖名单
上下滑动可查看更多
纪录片获奖名单
上下滑动可查看更多
“最受群众喜欢奖”获奖名单
上下滑动可查看更多
恭喜以上获奖的新青年们
未获奖的小伙伴们也不要气馁哦
大家都超棒的
“新时代·新青年”
青春心向党
奋斗新征程
版权声明:我们致力于保护作者版权,注重分享,被刊用文章【大学生获奖情况怎么写(翘首以盼)】因无法核实真实出处,未能及时与作者取得联系,或有版权异议的,请联系管理员,我们会立即处理! 部分文章是来自自研大数据AI进行生成,内容摘自(百度百科,百度知道,头条百科,中国民法典,刑法,牛津词典,新华词典,汉语词典,国家院校,科普平台)等数据,内容仅供学习参考,不准确地方联系删除处理!;
工作时间:8:00-18:00
客服电话
电子邮件
beimuxi@protonmail.com
扫码二维码
获取最新动态
