以下内容,均整理自各大考研名师微博、或微信公众号
微博名称及水印即为来源出处
整理仅供考研学子方便学习
欢迎大家关注原作者微博、公众号
如涉及版权问题请留言告知立即删除
文章来源微信公众账号:51考研网(ID:kaoyanwangvip)


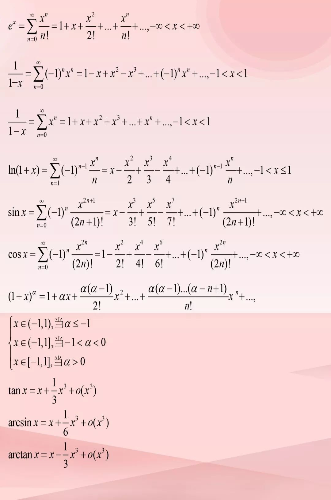
泰勒定理
版权声明:我们致力于保护作者版权,注重分享,被刊用文章【大学高数公式(考研数学)】因无法核实真实出处,未能及时与作者取得联系,或有版权异议的,请联系管理员,我们会立即处理! 部分文章是来自自研大数据AI进行生成,内容摘自(百度百科,百度知道,头条百科,中国民法典,刑法,牛津词典,新华词典,汉语词典,国家院校,科普平台)等数据,内容仅供学习参考,不准确地方联系删除处理!;
工作时间:8:00-18:00
客服电话
电子邮件
beimuxi@protonmail.com
扫码二维码
获取最新动态
