#教育听我说#长春市2022届高三第三次模拟,因为疫情所致,于2022年4月7号采取了线上考试。
文科,理科,适合老高考的地区,河南,山西,四川的都可以来 学习借鉴一下啊。
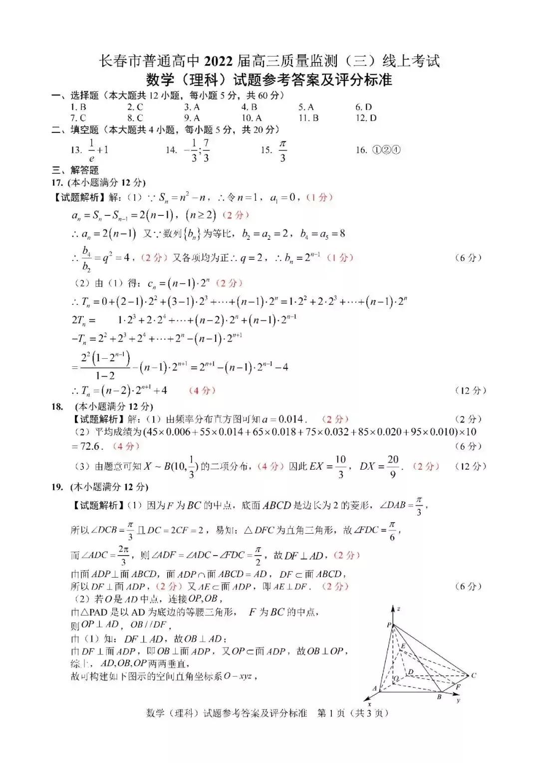
数学试题及参考答案,也有电子版的,评论区留言,关注、点赞、转发后领取啦!
版权声明:我们致力于保护作者版权,注重分享,被刊用文章【五年高考三年模拟数学电子版(长春三模数学试卷)】因无法核实真实出处,未能及时与作者取得联系,或有版权异议的,请联系管理员,我们会立即处理! 部分文章是来自自研大数据AI进行生成,内容摘自(百度百科,百度知道,头条百科,中国民法典,刑法,牛津词典,新华词典,汉语词典,国家院校,科普平台)等数据,内容仅供学习参考,不准确地方联系删除处理!;
工作时间:8:00-18:00
客服电话
电子邮件
beimuxi@protonmail.com
扫码二维码
获取最新动态
