四川美术学院2021年本科普通类分省各专业录取分数线已发布!具体情况如下:
四川师范大学2021年在27个省(市、区)和港澳台本科招生计划9000人,实际录取9194人(含港澳台联招、香港中学文凭考试招生和台湾学测成绩招生),共计94个录取批次。
四川师范大学2021年普通类高考录取分数线(天津)
四川师范大学2021年高考录取分数线_艺术类(文化成绩为裸分)
四川师范大学2021年高考普通类录取分数线(上海)
四川师范大学2021年高考艺术类录取分数线(上海)
四川师范大学2021年高考普通类录取分数线(山东)
四川师范大学2021年高考艺术体育类录取分数线(山东)
四川师范大学2021年高考普通类录取分数线(辽宁)
四川师范大学2021年高考艺术类录取分数线(辽宁)
四川师范大学2021年高考体育类录取分数线(辽宁)
四川师范大学2021年高考普通类录取分数线(河北)
四川师范大学2021年高考艺术体育类录取分数线(河北)
四川师范大学2021年高考普通类录取分数线(山西)
四川师范大学2021年高考艺术类录取分数线(山西)
四川师范大学2021年高考体育类录取分数线(山西)
四川师范大学2021年高考普通类录取分数线(浙江)
四川师范大学2021年高考艺术类录取分数线(浙江)
四川师范大学2021年高考体育类录取分数线(浙江)
四川师范大学2021年高考普通类录取分数线(安徽)
四川师范大学2021年高考艺术体育类录取分数线(安徽)
四川师范大学2021年高考普通类录取分数线(福建)
四川师范大学2021年高考艺术类录取分数线(福建)
四川师范大学2021年高考普通类录取分数线(江西)
四川师范大学2021年高考艺术类录取分数线(江西)
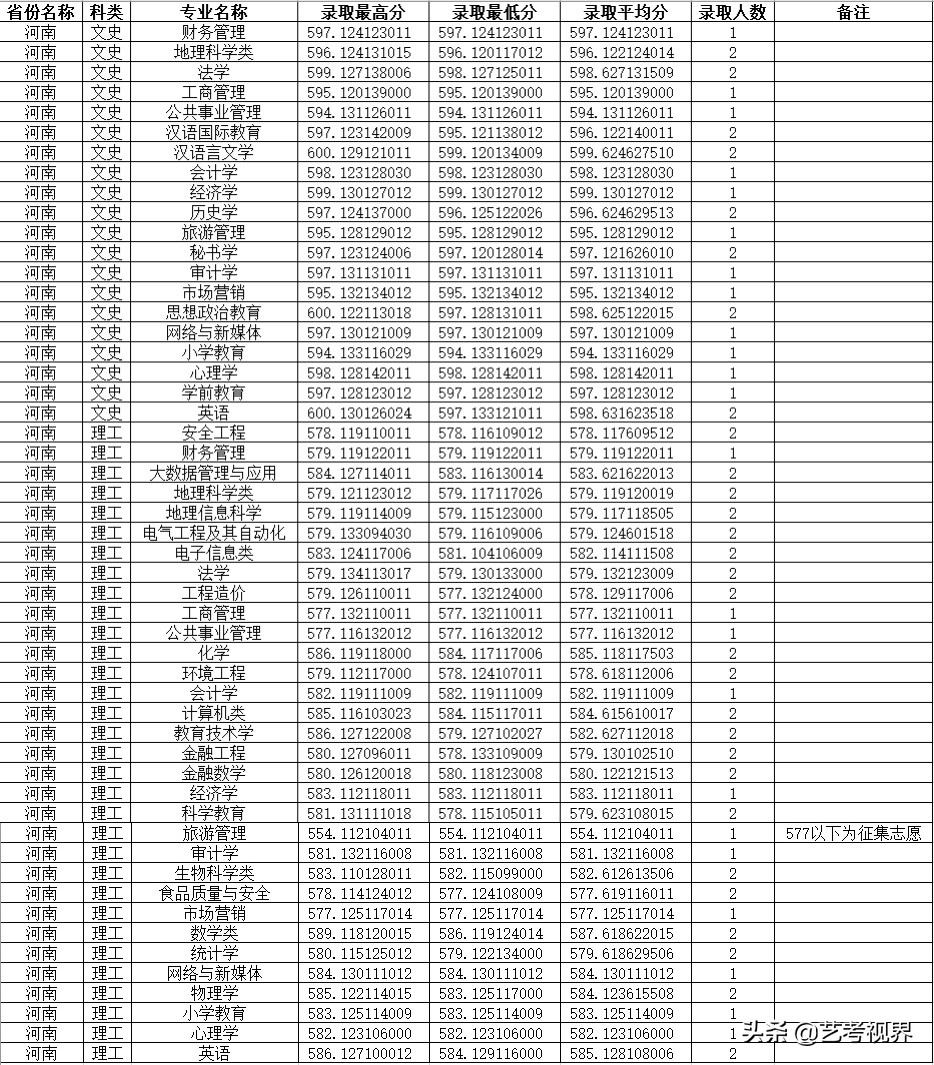
四川师范大学2021年高考普通类录取分数线(河南)
四川师范大学2021年高考艺术类录取分数线(河南)
四川师范大学2021年高考体育类录取分数线(河南)
四川师范大学2021年高考普通类录取分数线(湖南)
四川师范大学2021年高考艺术类录取分数线(湖南)
四川师范大学2021年高考普通类录取分数线(湖北)
四川师范大学2021年高考艺术类录取分数线(湖北)
四川师范大学2021年高考体育类录取分数线(湖北)
四川师范大学2021年高考普通类录取分数线(广东)
四川师范大学2021年高考艺术体育类录取分数线(广东)
四川师范大学2021年高考普通类录取分数线(广西)
四川师范大学2021年高考艺术类录取分数线(广西)
四川师范大学2021年高考体育类录取分数线(广西)
四川师范大学2021年高考普通类录取分数线(海南)
四川师范大学2021年高考艺术体育类录取分数线(海南)
四川师范大学2021年高考普通类录取分数线(重庆)
四川师范大学2021年高考录取分数线_艺术体育类(重庆)
四川师范大学2021年高考普通类录取分数线(江苏)
四川师范大学2021年高考艺术类录取分数线(江苏)
四川师范大学2021年高考体育类录取分数线(江苏)
四川师范大学2021年高考普通类录取分数线(青海)
四川师范大学2021年高考艺术类录取分数线(青海)
四川师范大学2021年高考体育类录取分数线(青海)
四川师范大学2021年高考普通类录取分数线(云南)
四川师范大学2021年高考艺术体育类录取分数线(云南)
四川师范大学2021年高考普通类录取分数线(甘肃)
四川师范大学2021年高考艺术体育类录取分数线(甘肃)
四川师范大学2021年高考普通类录取分数线(宁夏)
四川师范大学2021年高考普通类录取分数线(贵州)
四川师范大学2021年高考普通类录取分数线(陕西)
四川师范大学2021年高考艺术类录取分数线(陕西)
四川师范大学2021年高考普通类录取分数线(西藏)
四川师范大学2021年高考普通类录取分数线(新疆)
四川师范大学2021年高考普通类录取分数线(新疆建设兵团)
四川师范大学2021年高考普通类录取分数线(新疆内高班)
四川师范大学2021年高考普通类录取分数线(内地西藏班)
四川师范大学2021年在四川各批次招生情况
四川 普通本科一批、国家专项、本科层次人才、地方专项、高校帮扶专项、体育类、艺术类、艺术类(中外合作)、一类模式预科、一类模式特殊需求预科、公费师范生艺体类、公费师范生普通类、少数民族预科、非西藏生源定向西藏就业
国家专项
地方专项
高校帮扶专项
普通类本科一批
体育类
非西藏生源定向西藏就业
本科层次职业教育人才培养改革试点
公费师范生艺术类
公费师范生体育类
公费师范生普通类
少数民族预科
一类模式预科
一类模式特殊需求预科
艺术类
艺术-中外合作办学
四川师范大学,简称“川师大”,位于四川省会成都市,国家首批“中西部高校基础能力建设工程”重点建设高校,学校创建于1946年。
学校建设有2个博士后流动站、3个博士学位授权一级学科、25个硕士学位授权一级学科、1个硕士学位授权二级学科、13个硕士专业学位授权类别、79个本科专业。入选国家级一流本科专业建设点23个、省级一流本科专业建设点17个。
学校有狮子山、成龙两个校区, 校园面积3400余亩;全日制本科生37000余人,博士与硕士研究生4000余人,教学科研人员3000余人;设有研究生院和26个学院,开办79个本科专业。
数据来源四川师范大学官网,艺考视界进行整理,仅供文化艺考生参考。如有表述和统计错误,请在评论区留言指正,谢谢!
收藏+关注,备用时所需,或许对您有用!
感谢您的阅读!
版权声明:我们致力于保护作者版权,注重分享,被刊用文章【四川师范大学录取分数线(2022高考分数)】因无法核实真实出处,未能及时与作者取得联系,或有版权异议的,请联系管理员,我们会立即处理! 部分文章是来自自研大数据AI进行生成,内容摘自(百度百科,百度知道,头条百科,中国民法典,刑法,牛津词典,新华词典,汉语词典,国家院校,科普平台)等数据,内容仅供学习参考,不准确地方联系删除处理!;
工作时间:8:00-18:00
客服电话
电子邮件
beimuxi@protonmail.com
扫码二维码
获取最新动态
