发现I建模I乐趣
创新意识 团队精神 重在参与 公平竞争
全国大学生数学建模竞赛创办于1992年,每年一届,目前已成为全国高校规模最大的基础性学科竞赛,也是世界上规模最大的数学建模竞赛。2016年,来自全国33个省/市/自治区(包括香港和澳门特区)及新加坡的1367所院校、31199个队(其中本科组28046队、专科组3153队)、近93000名大学生报名参加本项竞赛.
下面我们一起来看下今年建模竞赛的题目. 附件可以在[阅读更多]下载.
A题 高温作业专用服装设计
在高温环境下工作时,人们需要穿着专用服装以避免灼伤。专用服装通常由三层织物材料构成,记为I、II、III层,其中I层与外界环境接触,III层与皮肤之间还存在空隙,将此空隙记为IV层。
为设计专用服装,将体内温度控制在37ºC的假人放置在实验室的高温环境中,测量假人皮肤外侧的温度。为了降低研发成本、缩短研发周期,请你们利用数学模型来确定假人皮肤外侧的温度变化情况,并解决以下问题:
(1) 专用服装材料的某些参数值由附件1给出,对环境温度为75ºC、II层厚度为6 mm、IV层厚度为5 mm、工作时间为90分钟的情形开展实验,测量得到假人皮肤外侧的温度(见附件2)。建立数学模型,计算温度分布,并生成温度分布的Excel文件(文件名为problem1.xlsx)。
(2) 当环境温度为65ºC、IV层的厚度为5.5 mm时,确定II层的最优厚度,确保工作60分钟时,假人皮肤外侧温度不超过47ºC,且超过44ºC的时间不超过5分钟。
(3) 当环境温度为80时,确定II层和IV层的最优厚度,确保工作30分钟时,假人皮肤外侧温度不超过47ºC,且超过44ºC的时间不超过5分钟。
附件1. 专用服装材料的参数值
附件2. 假人皮肤外侧的测量温度(部分)
问题B 智能RGV的动态调度策略
图1是一个智能加工系统的示意图,由8台计算机数控机床(Computer Number Controller,CNC)、1辆轨道式自动引导车(Rail Guide Vehicle,RGV)、1条RGV直线轨道、1条上料传送带、1条下料传送带等附属设备组成。RGV是一种无人驾驶、能在固定轨道上自由运行的智能车。它根据指令能自动控制移动方向和距离,并自带一个机械手臂、两只机械手爪和物料清洗槽,能够完成上下料及清洗物料等作业任务(参见附件1)。
图1:智能加工系统示意图
针对下面的三种具体情况:
(1)一道工序的物料加工作业情况,每台CNC安装同样的刀具,物料可以在任一台CNC上加工完成;
(2)两道工序的物料加工作业情况,每个物料的第一和第二道工序分别由两台不同的CNC依次加工完成;
(3)CNC在加工过程中可能发生故障(据统计:故障的发生概率约为1%)的情况,每次故障排除(人工处理,未完成的物料报废)时间介于10~20分钟之间,故障排除后即刻加入作业序列。要求分别考虑一道工序和两道工序的物料加工作业情况。
请你们团队完成下列两项任务:
任务1:对一般问题进行研究,给出RGV动态调度模型和相应的求解算法;
任务2:利用表1中系统作业参数的3组数据分别检验模型的实用性和算法的有效性,给出RGV的调度策略和系统的作业效率,并将具体的结果分别填入附件2的EXCEL表中。
表1:智能加工系统作业参数的3组数据表 时间单位:秒
注:每班次连续作业8小时。
附件1:智能加工系统的组成与作业流程
附件2:模型验证结果的EXCEL表(完整电子表作为附件放在支撑材料中提交)
C题 大型百货商场会员画像描绘
在零售行业中,会员价值体现在持续不断地为零售运营商带来稳定的销售额和利润,同时也为零售运营商策略的制定提供数据支持。零售行业会采取各种不同方法来吸引更多的人成为会员,并且尽可能提高会员的忠诚度。当前电商的发展使商场会员不断流失,给零售运营商带来了严重损失。此时,运营商需要有针对性地实施营销策略来加强与会员的良好关系。比如,商家针对会员采取一系列的促销活动,以此来维系会员的忠诚度。有人认为对老会员的维系成本太高,事实上,发展新会员的资金投入远比采取一定措施来维系现有会员要高。完善会员画像描绘,加强对现有会员的精细化管理,定期向其推送产品和服务,与会员建立稳定的关系是实体零售行业得以更好发展的有效途径。
附件中的数据(约120MB)给出了某大型百货商场会员的相关信息:附件1是会员信息数据;附件2是近几年的销售流水表;附件3是会员消费明细表;附件4是商品信息表,一般来说,商品价格越高,盈利越高;附件5是数据字典。请建立数学模型解决以下问题:
(1) 分析该商场会员的消费特征,比较会员与非会员群体的差异,并说明会员群体给商场带来的价值。
(2) 针对会员的消费情况建立能够刻画每一位会员购买力的数学模型,以便能够对每个会员的价值进行识别。
(3) 作为零售行业的重要资源,会员具有生命周期(会员从入会到退出的整个过程),会员的状态(比如活跃和非活跃)也会发生变化。试在某个时间窗口,建立会员生命周期和状态划分的数学模型,使商场管理者能够更有效地对会员进行管理。
(4) 建立数学模型计算会员生命周期中非活跃会员的激活率,即从非活跃会员转化为活跃会员的可能性,并从实际销售数据出发,确定激活率和商场促销活动之间的关系模型。
(5) 连带消费是购物中心经营的核心,如果商家将策划某次促销活动,如何根据会员的喜好和商品的连带率来策划此次促销活动?
D题 汽车总装线的配置问题
一.问题背景
某汽车公司生产多种型号的汽车,每种型号由品牌、配置、动力、驱动、颜色5种属性确定。品牌分为A1和A2两种,配置分为B1、B2、B3、B4、B5和B6六种,动力分为汽油和柴油2种,驱动分为两驱和四驱2种,颜色分为黑、白、蓝、黄、红、银、棕、灰、金9种。
公司每天可装配各种型号的汽车460辆,其中白班、晚班(每班12小时)各230辆。每天生产各种型号车辆的具体数量根据市场需求和销售情况确定。附件给出了该企业2018年9月17日至9月23日一周的生产计划。
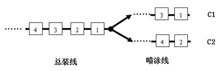
公司的装配流程如图1所示。待装配车辆按一定顺序排成一列,首先匀速通过总装线依次进行总装作业,随后按序分为C1、C2线进行喷涂作业。
图1 汽车总装线的装配流程图
二.装配要求
由于工艺流程的制约和质量控制的需要以及降低成本的考虑,总装和喷涂作业对经过生产线车辆型号有多种要求:
(1)每天白班和晚班都是按照先A1后A2的品牌顺序,装配当天两种品牌各一半数量的汽车。如9月17日需装配的A1和A2的汽车分别为364和96辆,则该日每班首先装配182辆A1汽车,随后装配48辆A2汽车。
(2)四驱汽车连续装配数量不得超过2辆,两批四驱汽车之间间隔的两驱汽车的数量至少是10辆;柴油汽车连续装配数量不得超过2辆,两批柴油汽车之间间隔的汽油汽车的数量至少10辆。若间隔数量无法满足要求,仍希望间隔数量越多越好。间隔数量在5-9辆仍是可以接受的,但代价很高。
(3)同一品牌下相同配置车辆尽量连续,减少不同配置车辆之间的切换次数。
(4)对于颜色有如下要求:
1)蓝、黄、红三种颜色汽车的喷涂只能在C1线上进行,金色汽车的喷涂只能在C2线上进行,其他颜色汽车的喷涂可以在C1和C2任意一条喷涂线上进行。
2)除黑、白两种颜色外,在同一条喷涂线上,同种颜色的汽车应尽量连续喷涂作业。
3)喷涂线上不同颜色汽车之间的切换次数尽可能少,特别地,黑色汽车与其它颜色的汽车之间的切换代价很高。
4)不同颜色汽车在总装线上排列时的具体要求如下:
(a)黑色汽车连续排列的数量在50-70辆之间,两批黑色汽车在总装线上需间隔至少20辆。
(b)白色汽车可以连续排列,也可以与颜色为蓝或棕的汽车间隔排列;
(c)颜色为黄或红的汽车必须与颜色为银、灰、棕、金中的一种颜色的汽车间隔排列;
(d)蓝色汽车必须与白色汽车间隔排列;
(e)金色汽车要求与颜色为黄或红的汽车间隔排列;若无法满足要求,也可以与颜色为灰、棕、银中的一种颜色的汽车间隔排列;
(f)颜色为灰或银的汽车可以连续排列,也可以与颜色为黄、红、金中的一种颜色的汽车间隔排列;
(g)棕色汽车可以连续排列,也可以与颜色为黄、红、金、白中的一种颜色的汽车间隔排列。
(h)关于其他颜色的搭配,遵循“没有允许即为禁止”的原则。
由于该公司的生产线24小时不间断作业,以上总装线和喷涂线的各项要求对相邻班次(包括当日晚班与次日白班)的车辆同样适用。
三.需要解决的问题
(1)根据问题的背景、装配要求以及附件中的数据,建立数学模型或者设计算法,使其能给出符合要求、且具有较低生产成本的装配顺序。
(2)根据(1)中的数学模型或算法,针对附件中的数据,给出你们的计算结果:
(a)将9月20日的装配顺序按照下表格式填写在表中,并将此表放在论文的附录中。
(b)按照上表的格式给出9月17日至9月23日每天的装配顺序,文件以“schedule.xlsx”命名,作为论文的支撑材料与论文同时提交。
预祝全国每位学子在“2018年高教社杯全国大学生数学建模竞赛”中取得佳绩!
遇·见·数·学
遇见更精彩的自己
版权声明:我们致力于保护作者版权,注重分享,被刊用文章【全国大学生数学竞赛官网(2018全国大学生数学建模竞赛试题)】因无法核实真实出处,未能及时与作者取得联系,或有版权异议的,请联系管理员,我们会立即处理! 部分文章是来自自研大数据AI进行生成,内容摘自(百度百科,百度知道,头条百科,中国民法典,刑法,牛津词典,新华词典,汉语词典,国家院校,科普平台)等数据,内容仅供学习参考,不准确地方联系删除处理!;
工作时间:8:00-18:00
客服电话
电子邮件
beimuxi@protonmail.com
扫码二维码
获取最新动态
