截止8月19日18:00,河南、广东、江苏、浙江、山西、黑龙江等多个省市陆续公布普通本科批或提前批类投档分数线。为帮助考生及时查询,掌上高考APP会第一时间更新各省市投档录取情况,请大家持续关注哦!话不多说,快一起来看~
本科一批(文科)
本科一批(理科)
更多文理科投档线请查询考试院官网
↓↓↓
2020年河南省普通高招本科一批院校平行投档分数线
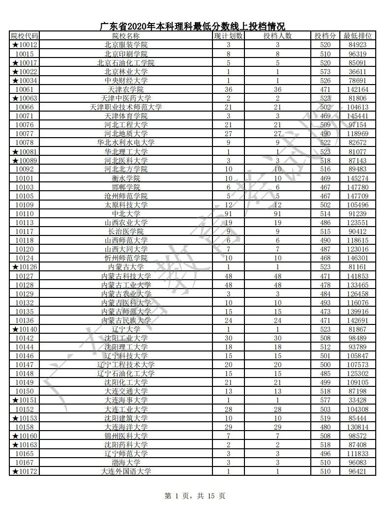
广东
更多文理科投档情况请查询考试院官网
↓↓↓
广东省本科批次普通文理类最低分数线
江苏
浙江
内容过多,普通类、艺术类第二批第一段投档、体育类第一段投档情况请查询考试院官网↓↓↓
浙江省高考普通类一段,艺术类第二批一段、体育类一段平行志愿投档情况
山西
黑龙江
本科一批A段
江西
请查询考试院官网
↓↓↓
第一批本科批次投档情况
宁夏
本科一批
扫码查看投档信息
陕西
模拟投档情况请查询考试院官网
↓↓↓
2020年陕西省本科一批第一次模拟投档情况统计表(理工)
2020年陕西省本科一批第一次模拟投档情况统计表(文史)
本科提前批
广西
说明:1.综合分=总分×30%+艺术统考成绩×(750/300)×70%。2.表中空白处表示无出档考生。3.经部分院校申请,适当降低文化分(总分)投档。
说明:1.对考生身体条件有要求的,按学校招生要求进行投档;需进行面试、体检、政治审查(招生考察)的,按学校提供的合格名单进行投档;同时含有以上多种类别专业的院校,只公布最低投档分数线。2.部分学校按学校要求只投档填有相应缺额专业志愿的考生。3.表中空白处表示无相应科类招生计划或无出档考生。
贵州
PS:各省投档线汇总正在实时更新中
大家识别下方二维码可以查看哦~
近期是各省市各批次录取情况公布的高峰期,为方面大家查询,掌上高考APP将每日更新各省市录取情况及补录通知,千万不要错过!
版权声明:我们致力于保护作者版权,注重分享,被刊用文章【掌上高考官网(各省市普通本科批或提前批类投档线公布)】因无法核实真实出处,未能及时与作者取得联系,或有版权异议的,请联系管理员,我们会立即处理! 部分文章是来自自研大数据AI进行生成,内容摘自(百度百科,百度知道,头条百科,中国民法典,刑法,牛津词典,新华词典,汉语词典,国家院校,科普平台)等数据,内容仅供学习参考,不准确地方联系删除处理!;
工作时间:8:00-18:00
客服电话
电子邮件
beimuxi@protonmail.com
扫码二维码
获取最新动态
