高考是学生改变命运的一条途径,无数的学生依靠自己的努力,考得好成绩,进入重点大学读书,实现人生的逆袭。因此,高考的成绩会直接影响到未来人生的方向以及下半生的生活。而所有的高考科目中,对高考成绩影响最大的无疑是数学。
数学是高考必考的科目,分值是150分,占总分的比例很高。因为数学题目的灵活多变,导致学生们的数学成绩容易出现两极分化的局面。特别是那些创新性强的高考数学题目,更是让基础一般的学生感到非常的头疼。今天,笔者就和大家来聊一下,我国高考历史上,最难的三次数学试卷。
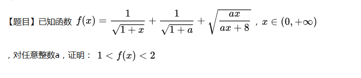
第三:2008年江西数学卷。
这卷子本身就不容易,但恐怖的是最后一道压轴题难出天际了。
这道题有多难呢?
一位同学介绍:“在我们学校一个公认的数学高手,每次高三数学考试的平均分都在147以上,他高考时在一个小时完成了所有的数学题,接着将画面的一个小时花在了这道题目上,但却毫无结果。”
这道题一共14分。所有考生的平均分是0.31分。
学生都是哭着走出考场!
不但学生不会,就是老师也不会,据说全江西省能做的,把老师包括进去,也不会超过一手之数。
最终,这道题还惊动了一位院士,就是数学家张景中。
出题人叫陶平生,本身是带奥数竞赛的,这道题其实也是一道奥数题,而且比原奥数题还难了三分。
这道题因为出得太难,受到了很多质疑,因为压轴题目标不是让人做不出来,而是为了拉开差距,如果大家都做不出来,那这道题就没有起到相应的效果。
第二:2003年的江苏数学卷
江苏的高考是出了名的难,尤其是数学。但这一年的特别特别的难。
有多难呢?
有一位学霸为了测试自己的数学水平,来做过这道卷,结果他平时模考都在130多分以上,考这套卷子却只得了八十多分。
这一套题也成为很多高考生心中的高峰,甚至有人猜测这套题是江苏的数学帝葛军老师出的。
你看也没多难嘛
但这一次的数学题之所以难,据说还跟试卷被偷有关。
在考试前,有人偷偷潜进了当地的教育局保密室,从中偷了一套试卷出来。当时这个消息惊动了上面,特地派了专员坐飞机过来查案。
经过现场现场痕迹调查,判定作案人应该是18到28岁,身体偏瘦。但当时技术手段有限,也没有什么好的方法。而且在网上也没有发现有人售卖试卷的。
在现场倒是提取了犯罪嫌疑的指纹。
那只有一个机会了,就是如果偷卷子的人是学生,那报考志愿时是需要提取指纹的。
最终,办案人员在所有的考生指纹中找到了完全匹配的:南充的一位高三学生。
在证据面前,这位学生很快就承认了自己偷卷子的事情。
这位学生因为备考不充分,失去了信心,开始打起了试卷的主意。
在晚上,他溜进了放试卷的地方,拿走了试卷。可是他没想到试卷被偷的事情马上就被发现了。他猜到试卷被偷,肯定会换试卷,所以他也没有细看,就看了作文题和几道数学题,就把试卷给毁了。
他当年的高考成绩是515分,已经上了本科线,还超了六十多分,可以上重点本科了,他很后悔,表示自己就是不看,上个普通本科完全是没问题的。
结果因为偷了试卷,不但成绩没有了,还被判七年。
因为试卷泄露,有人猜测那一年的数学卷应该是启用了备用卷,备用卷难度特别大。可能是备用卷没有经过仔细区分难题,导致难度超过了寻常水平。
第一.1984年的数学卷
这一年的高考数学组提出一个思维,就是要“出活题,考基础,考能力”,这一改就造出了高考数学史上最难的一张卷子。难在好多学生在进考场之前,都没见过这样的题目。现在的高考数学,基本是题海战术,只要做得够多,高考时的数学卷子多半以前都是老题目。而这次新题目一出来,大家都呆住了。
北京的平均分是17分,安徽省的数学成绩一向不错,但五十分以下的也占去了百分之八十,平均是28分,全国是26分。
难到媒体都看不下去了,特地发文批判,说这一年的考试试卷与中学教学要求不吻合,试题偏刁、难度偏高、排列不当、分配不均。
尤其是分配不当,一般来说,前面的都容易些,后面都难些,前面容易,让大家都能得到一个基础分,然后难,是拉开差距的。但这个卷子上来就是难题,搞得很多孩子在第一道题就卡住了,用去了不少时间。而且那一年还破天荒搞了一个政策,就是错题或者不答,不但不得分,还要扣分。这无疑给考生增加心理负担。
这套题是谁出的呢?
至今没有答案,可能是集体的智慧,但有一个人可能性最大,就是万尔遐。
他是湖北省孝感市文昌中学教学校长,北京师范大学教育科学研究所课改专题研究员。他曾参加全国高考命题工作,“出活题、考基础、考能力”就是他提出来的。
有意思的是,这一年的高考数学虽然很难,但有一位却拿到了高分,这就是马云。马云一共参加了三次高考,第一次高考数学是1分,第二次是19分,第三次却能拿89分,实在是让人大跌眼镜。
据说他是找了一个数学很好的同学来辅导自己,马云形容这位同学,“他爷爷是数学老师,他爸爸是数学博士,他数学很棒的。” 可没想到,马云考了89分,而他的这位同学兼老师却只考了60多分。马云反而超过了老师。
这是为什么呢?
可能还是马云的思维比较活,看他创业,是重视思维的。所以,碰到全是生题,反而能够自己琢磨,考出好成绩。
看来,万尔遐的那个思路“出活题、考基础、考能力”还是对的。只有能力特别强的人才能真正从他的卷子中拿到高分。
所以,数学的本质就是思维。思维打通了,不仅仅是数学能够以不变应万变,在别的方面也能起到作用。
像北京市有位老师叫张鹤。他是北京中学数学特级教师,北京市正高级教师,第八届苏步青数学教育奖获得者,海淀区基础教育名家称号,他还曾经在北京四中教过八年书。
北京四中有多牛大家应该听过的。李敖就是这个学校出来的。
他特别推崇培养学生的数学思维,就是提高学生研究问题的能力,而不是单纯只做题型讲解。
因为数学只有思维是最本质的,思维强才是力量,不是题做得多、方法多了,数学就能学好了。思维只有往上发展,想提升思维就要不断思考问题,复习知识时一定要知道知识背后的东西。
训练思维也是提高理解能力,题能看懂,看懂就会做。
张鹤老师现在是北京重点推荐的数学老师,他现在除了给学生上课,还给数学老师上课,教数学老师怎么去教学生,是老师中的老师。
他曾经专门写了一篇文章,讲解数学老师应该怎么教。
他说:
“课堂教学中常常看到这样一种教学状态:教师为了引入课题,向学生提出一些莫名其妙的问题,让学生摸不着头脑,为了配合教师的教学,学生也努力地思考着并给出他们的解释或回答。还有一种常常能看到的教学现象,就是学生们在教师的指令下进行一些操作性的学习活动(也常常美言为探究活动),但是为什么探究,学生似乎也不是很关心,只要按照老师的要求做就是了。每当在教学过程中出现一些思维难点时,这本来正是需要学生们静静思考的时候,教师却耐不住这份寂寞,容不得静悄悄的课堂,总要“煽动”学生们进行小组交流,开展合作学习。这种喧闹下的学习也总是能够产生奇效,再难的问题在合作学习下无坚不摧。如果按照时下流行的教学理念去对照课堂中出现的这些现象,都能看到教育教学改革的“效果”:在问题解决中培养学生的思维能力,在探究学习中培养学生的解决问题能力。
实事求是地评价教学中出现的这些现象,我不能不说这样的课堂总是让人感到缺一点东西,失去了一些味道,让人看不到贯穿课堂教学始终的一条主线。即使是教师自己来评价,也是不满意的居多,他们也以只会教学生知识不会教学生能力自嘲。一些教师对课堂教学工作产生职业倦怠,也正是他们在课堂教学的活动中享受不到工作的乐趣所致。
这最根本的原因在于课堂教学逻辑的缺失。一个能够让学生们体会到学习的快乐、让教师享受到教学乐趣的课堂,一定是遵循了教学规律的课堂,这样的课堂应该富有教学的逻辑。所谓逻辑通常是指思维的规律和方法。
教学的逻辑首先是知识的逻辑。
例如,在平面几何的各个单元知识的教学中,就要依据几何学的学科知识的内在逻辑。即几何学的教学要让学生学会如何研究单个几何对象的几何性质和不同几何对象之间的位置关系。在几何学不同阶段的教学中,所教授的知识可能不同,但是都是要培养学生理解和掌握几何学的这种学科观点和研究问题的方法,理解几何学背景下的知识逻辑。
发展学生的数学思维能力是数学教育的基本目标之一,教师的教学任务,就是要通过教学活动,让学生领悟数学的各个单元知识的思维特征,并能够用知识所承载的思维方法理解数学问题并解决数学问题。”
张鹤老师用他的数学教学理念出了一本书,叫《唤醒思维的数学书》,是他二十多年教学的一个秘诀,这本书适和初中的孩子以及比较拔尖的小学六年级的孩子自学使用。
在封面有他的一句话:思考是一种安静的力量。
他还推荐给大家一个方法,就是里面的每一个例题,孩子在看了书,做了之后,一定要讲给家长听,当然也可以组成学习对子,相互讲题,一定要让对方听懂,然后这个题才算过了。大家可能也知道,这就是费曼学习法,是效率最高的学习法。
今天把这本书推荐给大家,书是讲初中的数学知识,是一本真正能够提升数学能力,实现数学成绩大突破的书。
唤醒思维的数学书 ¥59 购买版权声明:我们致力于保护作者版权,注重分享,被刊用文章【2003江苏高考数学试卷(我国高考历史上)】因无法核实真实出处,未能及时与作者取得联系,或有版权异议的,请联系管理员,我们会立即处理! 部分文章是来自自研大数据AI进行生成,内容摘自(百度百科,百度知道,头条百科,中国民法典,刑法,牛津词典,新华词典,汉语词典,国家院校,科普平台)等数据,内容仅供学习参考,不准确地方联系删除处理!;
工作时间:8:00-18:00
客服电话
电子邮件
beimuxi@protonmail.com
扫码二维码
获取最新动态
