上海地区的高校以上海交通大学、复旦大学为代表,整理两所高校2018年自主招生考试模式,供2019届考生参考。
回顾丨清华、北大2018年自主招生考试模式,附真题
回顾丨中大、华南理工2018年自主招生考试模式,附真题
回顾丨上交大、复旦2018年自主招生考试模式,附真题
回顾丨武大、华科2018年自主招生考试模式,附真题
回顾丨中科大、浙大、南大2018年自主招生考试模式,附真题
回顾 | 川大、电子科大2018年自主招生考试模式,附真题
回顾 | 西安交大、西工大2018年自主招生考试模式,附考试经验
回顾 | 中南大、湖大2018年自主招生考试模式
回顾丨东南大学、苏州大学2018年自主招生考试模式
上海交通大学2018年自主招生分为笔试和面试,不同的专业笔试科目不同,笔试分为数学+物理组、数学+化学组两种类型。其中,数学为必考科目。需注意的是,行政管理、法学、传播学、英语、日语等偏文科的专业,笔试依然考理科。笔试成绩通过后才能参加面试测试。
一、笔试
(一)笔试时间+地点
时间:2018年6月11日,
数学、物理组笔试4个小时。上午8:00-10:00 考数学,10:15-12:15 考物理。
地点:上海交通大学校内。
(二)笔试模式
1、测试形式:传统纸质模式
2、测试科目:数学+物理、数学+化学
二、面试
(一)面试时间+地点
2018年6月18日,上海交通大学校内
(二)面试模式
三对一模式,先采取双盲抽签确定面试教室和教授,根据引导每个人去AB两个教室进行面试,三个教授面一个学生,一个人20分钟,也就是说每个人总共60分钟。
三、部分真题
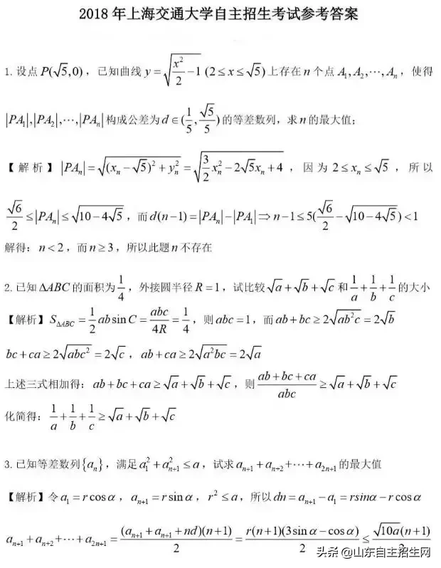
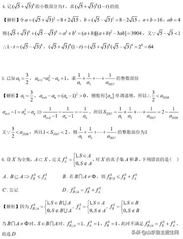
笔试真题






面试真题

复旦大学2018年自主招生通过望道计划、"博雅杯"人文学科体验营、奥林匹克竞赛全国决赛获奖生三种项目开展。
一、笔试
(一)笔试时间+地点
博雅人文体验营:2018年6月10日9:00-15:00,共6个小时,复旦大学校内。
望道计划:2018年6月12日 18:00~21:00,复旦大学校内。
奥赛决赛:无笔试,只有专家组面试,综合决赛成绩和面试成绩,其中决赛成绩占70%,面试占30%。
(二)笔试模式
1、测试形式:
博雅人文体验营:封闭式写作测试
望道计划:传统纸质答题模式
2、测试科目:
博雅人文体验营:语文写作
望道计划:数学+理科基础知识,涉及数学、物理、化学、生物
二、面试
(一)面试时间+地点
2018年6月12日。复旦大学校内
(二)面试模式
"博雅杯"人文学科体验营:采用多对一的形式。
望道计划:(2017年模式)
五对一,每人15分钟,教授自由提问,学生回答。(主要是物理、化学组老师)。首先做1分钟的自我介绍,接着老师会根据考生的自荐信、自我介绍及报考专业相关内容进行提问。
面试主要集中在三个方向:
1、考生的竞赛/科创/课外活动经历的。根据考生的学习或者考试等方面进行提问,如:竞赛学习方法、看过的书籍、对竞赛的认知等等。
2、高中学习和对复旦的看法。如有考生被问到:高考估计,高考体验,为什么选择复旦,未来专业方向等等。
3、学术性问题。该部分在整个面试过程中时间最长,也是考核最为细致的一部分。
(三)面试涉及知识模块
"博雅杯"人文学科体验营面试一般涉及两个方面内容,根据考生介绍的特长提问和专业相关问题提问。
三、部分真题
笔试真题

面试真题

版权声明:我们致力于保护作者版权,注重分享,被刊用文章【复旦大学自主招生题目(回顾丨上交大)】因无法核实真实出处,未能及时与作者取得联系,或有版权异议的,请联系管理员,我们会立即处理! 部分文章是来自自研大数据AI进行生成,内容摘自(百度百科,百度知道,头条百科,中国民法典,刑法,牛津词典,新华词典,汉语词典,国家院校,科普平台)等数据,内容仅供学习参考,不准确地方联系删除处理!;
工作时间:8:00-18:00
客服电话
电子邮件
beimuxi@protonmail.com
扫码二维码
获取最新动态
