名校考研真题
绪 论
第1章 时域离散信号和时域离散系统
1.已知离散时间序列
及
,试画出x(n)和y(n)的波形示意图。[中南大学2007研]
解:由已知x(n)为:
所以x(n)的波形示意图如图1-1所示:
图1-1
先画x(8-n),它是将x(n)向左平移8位并做时间翻转形成的,如图1-2所示:
图1-2
通过抽取x(8-3n)的每三个采样得到,则y(n)如图1-3所示:
图1-3
2.已知序列
,判断该序列是否是周期序列,如果是,求出其周期。[北京交通大学2006研]
解:根据题意,
的周期为:
的周期为:
所以该序列为周期序列:
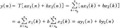
3.已知离散系统的输入输出关系为
,试判定该系统是否为线性系统,画出系统简略框图,并分析系统所实现的功能。[中南大学2007研]
解:令
,因为
,答:
系统对
的响应却是:
所以此系统不满足可加性,故不是线性系统。
系统简略框图如图1-4所示。
图1-4
经上分析可知,系统的响应对输入中的变化部分是呈线性关系,这种系统可称为增量线性系统。即对增量线性系统,任意两个输入的响应的差是两个输入差的线性函数(满足可加性和比例性)。
4.有限长序列x(n)的第一个非零值出现在n=-6处,且x(-6)=3;最后一个非零值出现在n=24处,且x(24)=-4。在卷积y(n)=x(n)*x(n)中出现非零值的区间为何?且第一个和最后一个非零值各为多少?[华南理工大学2007研]
解:在两个有限长序列卷积中,卷积中第一个非零值的坐标等于两个被卷积序列中第一个非零值的角标之和。
因为x(-6)=3,则第一个非零值的坐标为n=-12,且该非零值是y(-12)=x
(-6)=9。类似地,最后一个非零值的坐标是n=48,且这个非零值是y(48)=x'
(24)=16。
5.分析判断下列系统是否为稳定系统、因果系统、线性系统。[西安科技大学2004研]
(1)
;
(2)
。
解:(1)①设x(n)有界,即
,则输出
有界,所以该系统是稳定的。
②当
时,系统是因果系统;
当
时,系统是非因果系统。
③设
,由于
由上可知该系统是线性系统。
(2)①设x(n)有界,即
,则输出
有界,所以该系统是稳定的。
②由于y(n)只取决于现在和过去的输入,和将来无关,故该系统是因果的。
③设有两个输入
和
,则
所以该系统不是线性系统。
7.
(m,b为非负整数)代表系统输入/输出间的运算关系。试问该系统的因果性、稳定性如何?是不是线性系统?[南京邮电大学2000研]
解:假设
,则:
版权声明:我们致力于保护作者版权,注重分享,被刊用文章【大学题库网(深圳大学电子系统综合考研配套练习题库)】因无法核实真实出处,未能及时与作者取得联系,或有版权异议的,请联系管理员,我们会立即处理! 部分文章是来自自研大数据AI进行生成,内容摘自(百度百科,百度知道,头条百科,中国民法典,刑法,牛津词典,新华词典,汉语词典,国家院校,科普平台)等数据,内容仅供学习参考,不准确地方联系删除处理!;
工作时间:8:00-18:00
客服电话
电子邮件
beimuxi@protonmail.com
扫码二维码
获取最新动态
