网上关于中国人数学水平和美国人数学水平孰优孰劣的争吵,从来就没有停止过。这仿佛成了一个国民话题,不管是熟悉教育的人还是不熟悉教育的人,都想就这个问题讲上两句,很多人还振振有词,绘声绘色。但其实,绝大部分人只是道听途说,盲人摸象。再多的口水也没有意义,消弭争吵最有效的办法只有一个,就是举出实实在在的例子。
本文就来带领大家一探究竟,看看美国高中数学课到底学的是什么,他们的高考题目究竟长什么样?
首先,“美国高考”这个词其实并不是很恰当。因为美国大学招生实行的是申请制,它并没有一个类似于中国高考这样“一锤定音”的考试,而是非常的灵活与多样。在美国有很多不同的课程体系,每种体系都有自己对应的考试。学生可以选择任意一种体系的课程并参加考试,取得的成绩即可作为申请大学的依据。目前国际上最通行的几个课程体系是AP,IB,A-level等等。对于美国学生而言,通常情况下,在高一会学习Precalculus这门课程,中文名称叫做预备微积分。顾名思义,就是学微积分之前要学的基础知识,但其实内容其实就是国内学生在高中三年学习的东西,主要包括:一次函数二次函数,指数函数对数函数,三角函数,圆锥曲线,向量,立体几何,极坐标,复数,数列,矩阵,概率统计等等,可以看出和我国高中课程内容基本一致。但是因为他们是在一年内学完上述所有内容,因此学得非常浅,题目难度远远小于国内。
学完这些内容之后,就会去参加一个叫SAT2的考试,SAT2是全球标准化考试,也就是全球所有符合条件的学生都可以报名参加,然后以此为依据申请美国的大学。
我刚才说过,美国的数学考试题目难度远远小于国内,我下面来举几个例子。
SAT2考试的考试范围与我国的高考基本一致,我就来举一些SAT2数学考试中的题目,读者可以自己和我们的高考来比较一下。
perpendicular是垂直的意思,题目就是在问五个选项中哪条直线与题目中所给直线垂直。这道题目非常的简单,只需要知道两条垂直直线斜率互为负倒数就可以了,因此答案是D。
大意是θ是锐角,已知sinθ的值,求cosθ等于多少。这道题目本身也非常简单,考察的是二倍角公式:cos2θ=1-2sin²θ
于是可以算出来答案是A。
题目的意思是:在一个等差数列中,第2项是7,第6项是23,求第90项是几?
我们用(23-7)÷(6-2)得到的就是公差4,后用第2项加上88个4就得到第90项,结果是359
题目里面告诉你一个椭圆的方程,问它的长轴长是多少?
可以把这个式子两边同时除以48化为椭圆的标准方程,那么就可以看出它的长轴在纵轴上,正确结果是C。
好了,就举这4个例子吧,通过这4个例子已经可以明显的感受到,美国数学题目的难度远远小于国内的难度,更有甚者,他们考试的时候还允许使用计算器。我相信这些题目对于中国的学生来讲,即使是学习最差的学生能秒杀之。所以我们经常在新闻报道上看到的某某“学霸”参加美国的考试考了多么多么高的分数,或者美国考试管理部门因中国学生成绩太高而怀疑其作弊进而取消其成绩这样的新闻,也就见怪不怪了。
在这里我想多说一句,网上经常有人抨击中国的教育是应试教育,学生都是做题机器,只会解难题,而不会去深刻数学概念的内涵。我想反问一句,如果一个人做的都是上面我举出来的那种的题目,他对数学概念的理解难道就能更深刻吗?
上面举的只是SAT2考试的题目,美国学生基本上高一就把这个考试考完了。进入到高二之后,学习的内容就与国内不一样了,他们会学习微积分(Calculus)。但是他们学习的微积分其实并不是完整的微积分,而是把大学里大一的微积分课程经过删减与简化,放到到高二来学,这就是所谓的AP微积分,全称是Advanced Placement,即本科预修。学生学习完之后会参加AP考试,考试内容基本等同于我们的高等数学,但是题目难度也要低很多。而且他们这个考试分为AB和BC两个等级,AB的主要内容包括极限,导数,积分和微分方程,BC比AB要难,在AB的基础上增加了参数方程与极坐标的微积分,和无穷级数。我来举一些例子。
这道题考察的是函数在一点导数的定义,根据右边这个lim式子可以看出来,它求的实际上就是f(x)在x=-1处的导数,所以只需要计算一下f'(-1)就可以了,可以得到正确答案是A。
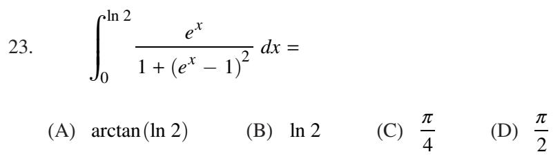
下一个例子是积分部分,选自2016年的考题这里用一个换元法,令u=e^x-1,可以得到答案是C
大题部分是学生最头疼的部分,尤其是最后一道大题是考无穷级数的,每年的得分率非常低,我可以举一个大家来感受一下。下面是2015年考题的最后一道大题
题目中给了一个幂级数,(a)问是在求它的收敛半径;(b)问这让你写出这个幂级数的和函数f(x)的导数f'(x)的四项麦克劳林展开式;(c)问让你写出eˣf(x)的三阶麦克劳林展开式。
这道题目对于高中生而言还算是比较难的。但其实,课堂上会讲很多种这样的题目,只要学会了方法,想要做出这道题也不成问题,参考答案如下:
AMC就相当于我国的奥数,更确切的说是全国高中数学联赛。近年来越来越受到美国学生的重视,很多学习成绩优秀的同学都会去参加AMC考试,AMC考试由易到难分为三个级别,级别最高的AMC12,每次考试25道题,难度是严格地按照从简单到难排列,我来举一下2020年度AMC12考试的第22题。从题目序号来看算是相当难的一个题了
里面an和bn是两个实数数列,i是虚数单位,求底下那个连加符号表达式的值。完整的解答如下
好了,举了这么多例子,相信你对美国的高考及数学教育体系有了一个初步的了解。可以看出,中美教育在教育方式和教育理念上是有明显差异的。这里首先说一句,二者只是存在差异,而并不是有优有劣。中美两国的数学教育方式都是各有优点,各有缺点,不是说美国人的教育就一定比国内好。美国数学教育也有很糟糕的地方,而中国的数学教育也有很多可取的地方,要综合来比较,不能一棒子打死。
美国数学教育的一个不足就是太泛泛,知识点铺的非常广,不仅包括中国国内高中三年全部的内容,还包括了大学一年级的微积分,甚至很多同学在高三的时候还会学大学课程,如线性代数,多变量微积分,初等数论,微分方程,集合论与逻辑学等课程。这种教育方法最大的问题就是什么都学,但什么都学不好。他们所有的数学课程都非常的简单与浅显,我好比上面举的SAT2考题的例子可以非常明显地看出来,每一个知识只是讲一个简单的概念和简单的公式,你只需要学会把数套进公式里做题就可以了,这样的话是不可能对数学概念的本质有深刻理解的。
上面AP微积分的考题相对要难一些,但是可以看出来与我们真正的高等数学相比,它也只是考非常浅显的概念,题目也不会有太多的变形。
而上面列举到的高三学生要学的线性代数等等课程,才会真正有一些深度。但是第一,并不是所有学生都要学这些课程。第二,因为高一高二学的东西相比较简单,因此基础不会太扎实,所以在学这些科目时,很多学生会非常地吃力。
美国数学教育的第二个问题就是所谓的分层制,或者说国内某些人口中的“精英教育”。即,每一种课程都会按照难易程度分为不同的等级,学生根据自己的实际情况选择。这样一来,学习能力较差的就选择简单课程,而学生能力较好的就选择难的课程,那么它们之间的差距就会进一步拉大。因此美国学生两极分化异常严重,最差的学生可能上高中了连分数加减法都不会做,而最好的学生高中毕业时甚至都会熟练地求解微分方程。而据我观察,美国绝大多数人的数学水平都属于差的那一部分。真正能去搞数学研究的只是极少数极少数的精英。
而反观我国在人人平等这一方面可谓做到了极致,全国各地不管任何地方任何学校,也不管学生能力好还是能力坏,学习的都是相同的内容。自觉的同学自己会努力,而不自觉的学生,同学老师家长会天天追在你屁股后面逼着你努力。所以从整体上来看,中国学生的数学基础是非常扎实的。多年前张艺谋有部电影叫做《一个都不能少》,说的就是中国教师尽心尽力认真负责,要把班里每一个学生都照顾好,而在美国这种事情是不会出现的。我想这就是中国教育可取的地方。
版权声明:我们致力于保护作者版权,注重分享,被刊用文章【外国人做中国高考题(都说美国中学的数学简单)】因无法核实真实出处,未能及时与作者取得联系,或有版权异议的,请联系管理员,我们会立即处理! 部分文章是来自自研大数据AI进行生成,内容摘自(百度百科,百度知道,头条百科,中国民法典,刑法,牛津词典,新华词典,汉语词典,国家院校,科普平台)等数据,内容仅供学习参考,不准确地方联系删除处理!;
工作时间:8:00-18:00
客服电话
电子邮件
beimuxi@protonmail.com
扫码二维码
获取最新动态
