关注“小编”,学更多知识!
项目名称:[广州]星河丹堤花城三层现代小独栋别墅项目
文件格式:zip
大小:209MB
类型:独栋别墅
风格:现代风格
图纸格式:dwg(CAD文件)
面积:600㎡
楼层:三层
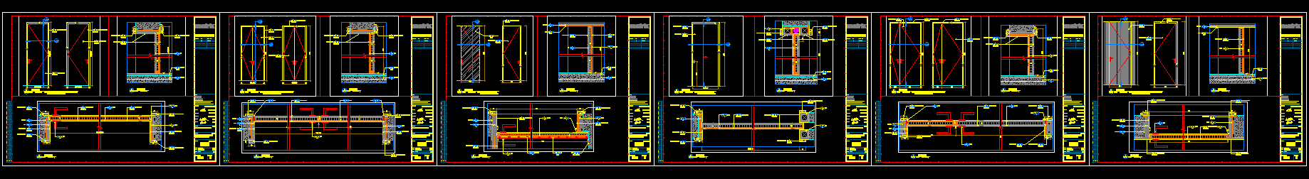
内容包含:平面图(结构图、平面布置、家具、天花、灯具、地面、建墙、立面索引、机电、开关连线、给排水定位、空调)、立面图、门表、大样图、效果图等整套CAD图纸!
以下主要是广州·星河丹堤花城现代风格三层别墅案例内容!
图纸目录
设计说明及材料表
整套平面系统图
负一层平面
负一层天花
一层平面
一层天花
二层平面
二层天花
三层平面
三层天花
整套立面系统图
整套门表图
整套节点大样图
高清实景效果图
【注意】
点赞+评论+转发即可找小编领!
免责声明:该资源来自用户分享,如有损害了你的权利,请联系小编处理!
版权声明:我们致力于保护作者版权,注重分享,被刊用文章【广州室内设计学校(室内设计)】因无法核实真实出处,未能及时与作者取得联系,或有版权异议的,请联系管理员,我们会立即处理! 部分文章是来自自研大数据AI进行生成,内容摘自(百度百科,百度知道,头条百科,中国民法典,刑法,牛津词典,新华词典,汉语词典,国家院校,科普平台)等数据,内容仅供学习参考,不准确地方联系删除处理!;
工作时间:8:00-18:00
客服电话
电子邮件
beimuxi@protonmail.com
扫码二维码
获取最新动态
