高考理科数学压轴题难度评分榜:
本文评价一下各省的理科高考数学中比较难的题目并给出解答,并且给出我个人认为的难度评分(最低一星,最高五星)。
· 难度评分是非常主观的事情,难免带有个人偏见,如果我觉得的难度评分和读者的相差很大,请大家谅解;
· 我个人觉得5分的题目难度可能相当于竞赛难度,大于等于4.5分题目难度比考研数学一题目难度难的多,意思是原封不动放在考研数学里严格难于现有考研最难的题目,对绝大部分同学即使大学或者因为考研学了一大堆数学,极限拉格朗日乘子泰勒公式等等一堆工具随便用,该做不出还是做不出。
有需要电子版的同学~
点击作者@高中学习提分机
悄悄说【19道经典高考大题】打印全部!!!
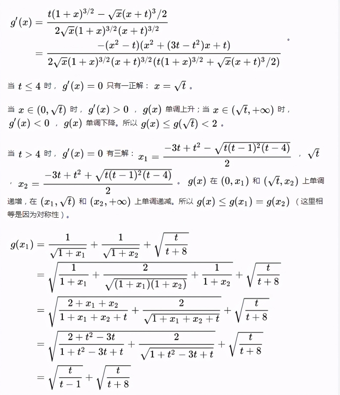
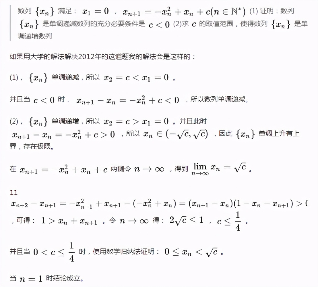
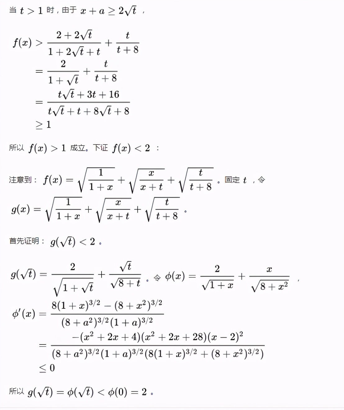
2012年安徽省理科数学21题,难度★★★
2013年安徽省理科数学21题:★★★★
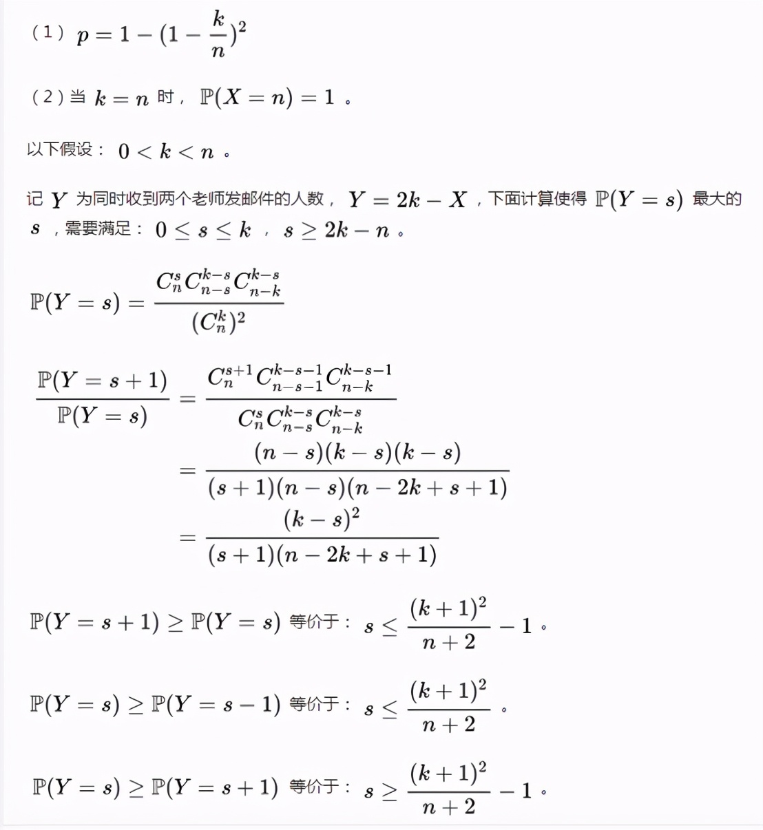
某高校数学系计划在周六和周日各举行一次主题不同的心理测试活动,分别由李老师和张老师负责.已知该系共有n位学生,每次活动均需该系k位学生参加(n和k都是固定的正整数).假设李老师和张老师分别将各自活动通知的信息独立、随机地发给该系k位学生,且所发信息都能收到.记该系收到李老师或张老师所发活动通知信息的学生人数为X。 (1)求该系学生收到李老师或张老师所法发活动通知信息的概率; (2)求使
取得最大值的整数。
这道题目思路不难,就是实际分析起来很麻烦,很容易出错。
解答:
2007年江西省理科数学22题,难度★★☆
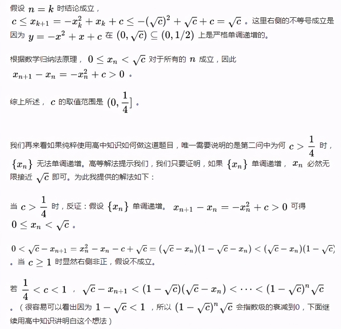
2008年江西省理科数学22题,难度★★★★★
版权声明:我们致力于保护作者版权,注重分享,被刊用文章【江西2017高考数学难度(高考数学最后一题)】因无法核实真实出处,未能及时与作者取得联系,或有版权异议的,请联系管理员,我们会立即处理! 部分文章是来自自研大数据AI进行生成,内容摘自(百度百科,百度知道,头条百科,中国民法典,刑法,牛津词典,新华词典,汉语词典,国家院校,科普平台)等数据,内容仅供学习参考,不准确地方联系删除处理!;
工作时间:8:00-18:00
客服电话
电子邮件
beimuxi@protonmail.com
扫码二维码
获取最新动态
