函数的最值是函数的重要性质之一,在高考中也经常考查,并且具有相当的难度。求函数的最值的方法非常之多,如分离常数法、判别式法、反函数法、数形结合法、均值不等式法、导数法等等。本讲针对2018年高考全国1卷理科数学地16题作简单分析。
本题借助三角函数为载体,考查函数的最值,属于难题。解答的思路是,首先利用三角函数的周期性与奇偶性,将函数的简化到一个具体的区间上来讨论,然后再根据不同的思维模式,给出三种不同的解题方法。
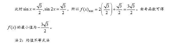
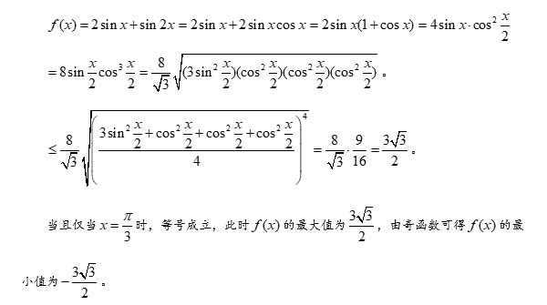
第一种是利用导数法求解,这种解法最容易理解,也最容易想到。通过求导,判断函数的单调性,进而求得函数的最小值点,得到相应的三角函数值,带回原函数即可求得最小值。第二种解法是构造均值不等式求解,有一定的难度。多元均值不等式在构造技巧上具有一定的难度,加上高考数学中鲜有涉及,所以不易联想到。但对成绩优秀的,或者参加过竞赛的学生,完全可以掌握这种方法。值得注意的是,均值不等式是解决最值问题常用工具,但需要注意其构造技巧。第三种方法是利用高等数学中的琴生不等式求解。琴生不等式是函数凹凸性的重要结论,它在证明不等式和求最值中具有广泛的作用。近年来,借助高等数学背景考查高中数学内容越来越成为共识,因此了解一些高等数学的结论对解题无疑是如虎添翼。下面给出本题函数的图象,从图象上可以直观感受其性质:
f(x)的图象
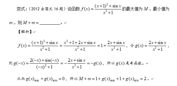
下面给出一道类似的高考试题作为练习:
事实上,函数关于(0,1)点中心对称,所以最大值与最小值关于1对称,从而M+m=2。其图象如下:
f(x)的图象
版权声明:我们致力于保护作者版权,注重分享,被刊用文章【琴生不等式高考题(第1集)】因无法核实真实出处,未能及时与作者取得联系,或有版权异议的,请联系管理员,我们会立即处理! 部分文章是来自自研大数据AI进行生成,内容摘自(百度百科,百度知道,头条百科,中国民法典,刑法,牛津词典,新华词典,汉语词典,国家院校,科普平台)等数据,内容仅供学习参考,不准确地方联系删除处理!;
工作时间:8:00-18:00
客服电话
电子邮件
beimuxi@protonmail.com
扫码二维码
获取最新动态
