简谐振动的典型代表是弹簧振子。
弹簧振子的振动轨迹与余弦函数图像相符
简谐振动满足余弦函数x=Acos(ωt+φ)(式1)
简谐振动物体的速度为v=-ωAsin(ωt+φ) 加速度为a=-ω²Acos(ωt+φ)= -ω²x(式2)
x为振动物体相对于平衡位置的位移;A为振动物体离开平衡位置的最大位移,称为振幅;ω为振动物体在2π秒内所完成的振动次数,称为角频率;(ωt+φ)是决定简谐振动状态的物理量,称为振动的相位;φ为初相位,用于比较两个同频率的简谐振动的步调。
设有两个同频率的简谐振动:
x1=A1cos(ωt+φ1) x2=A2cos(ωt+φ2) 式2
它们的相位差为:
△φ=(ωt+φ2)-(ωt+φ1)=φ2-φ1
即它们在任意时刻的相位差都等于初相位而与时间无关。当△φ=0(或2π的整数倍)时,两个振动的步调相反,这种情况称为反相。
A和φ决定于初始条件,即t=0时的位移x0和速度v0的值。
令式1、式2中t=0,得
x0=Acosφ, v0=-ωAsinφ
由两式可得
弹性势能:
动能:
其中mω²=k,k为弹簧的劲度系数,可得
当位移最大时,速度为零,动能为零,加速最大
在平衡位置时,势能为零,速度最大,动能最大
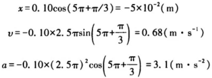
解:
解:
版权声明:我们致力于保护作者版权,注重分享,被刊用文章【大学简谐振动实验报告(简谐振动的位移)】因无法核实真实出处,未能及时与作者取得联系,或有版权异议的,请联系管理员,我们会立即处理! 部分文章是来自自研大数据AI进行生成,内容摘自(百度百科,百度知道,头条百科,中国民法典,刑法,牛津词典,新华词典,汉语词典,国家院校,科普平台)等数据,内容仅供学习参考,不准确地方联系删除处理!;
工作时间:8:00-18:00
客服电话
电子邮件
beimuxi@protonmail.com
扫码二维码
获取最新动态
