跟BrainNews 一起做一件有意义的事
众筹| 一年时间,100篇,我们一起总结抑郁症的研究进展
免费分享给所有人
1,抑郁患者每周接受一次或两次会面对心理治疗结果的影响
译者:Lenore
关键词 :认知行 为疗法;个人心理治疗;随机对照试验;非住院治疗
背景:目前尚不清楚何种会面频率对于抑郁症的认知行为疗法(cognitive behavior therapy, CBT)和人际心理疗法(interpersonal psychotherapy, IPT)最有效。
目的:对比每周一次和两次CBT和IPT对抑郁症的疗效。
结果:与每周接受一次治疗的患者相比,每周两次的患者的抑郁症状有统计学意义上的显著降低(估计第6个月每周一次与两次之间的平均差为:3.85,效应量 d = 0.55),退出率 (attrition rates) 更低(每周两次 n = 16,一次 n = 32),治疗响应率提高(风险比 1.48,95%CI 1.00–2.18)。
结论:在临床实践中,每周接受两次CBT和IPT治疗是改善抑郁症疗效的一种方法。
随时间变化的每种实验条件的贝克抑郁量表II(Beck Depression Inventory-II , BDI-II)估计均值
参考文献:Bruijniks, Lemmens, Hollon, Peeters, Cuijpers, Arntz, Dingemanse, Willems, van Oppen, Twisk, van den Boogaard, Spijker, Bosmans, Huibers (2020) The effects of once- versus twice-weekly sessions on psychotherapy outcomes in depressed patients. The British journal of psychiatry : the journal of mental science. doi: dx.doi.org/10.1192/bjp.2019.265
2,实验性脑损伤后很长一段时间,持续的神经元和小胶质细胞改变与各种神经行为功能障碍有关
译者:Sheena
关键词:脑损伤;小胶质细胞;抑郁;记忆
颅脑外伤(TBI)可能导致进行性神经变性,持续性神经炎症和慢性神经功能障碍。很少有实验研究脑损伤数月后的长期神经行为和功能性细胞变化。本研究探索了单次中度水平TBI受伤8个月后功能的改变情况。雄性C57BL / 6小鼠受到可控的皮层撞击损伤,然后观察其运动表现,学习和记忆以及抑郁和社交行为的变化。我们还使用了一种新颖的流式细胞术方法来评估受损组织中新鲜分离的神经元和小胶质细胞的细胞功能。
结果表明受伤小鼠的神经行为发生了明显而多样的持续变化。与假手术对照组相比,慢性TBI小鼠在步态动力学,筑巢,空间工作记忆和识别记忆方面表现出长期缺陷。悬尾,强迫游泳和蔗糖偏好测试显示出明显的抑郁样表型,与社交能力受损有关。在细胞水平上,Thy1 + Tuj1 +神经元的数量较少,而活化的CD45loCD11b +小胶质细胞的数量较高。
在功能上,神经元和小胶质细胞在损伤后均表现出明显更高的氧化应激水平。小胶质细胞在大肠杆菌的吞噬作用中表现出慢性缺陷,并增加了髓磷脂和垂死神经元的摄取。活着的神经元显示出突触素和突触后密度(PSD)-95的表达减少,以及微管相关蛋白轻链3(LC3)阳性自噬体的数量增加,线粒体质量增加,提示自噬失调。总之,小鼠TBI后发现的晚期神经行为改变与中度重度人头部损伤后长期发现的相似。重要的是,这种变化与小胶质细胞功能障碍和神经元活动的变化有关。
TBI会长期改变小胶质细胞的功能
参考文献:Rodney M. Ritzel, Yun Li, Junyun He, Niaz Khan, Sarah J. Doran, Alan I. Faden, Junfang Wu,Sustained neuronal and microglial alterations are associated with diverse neurobehavioral dysfunction long after experimental brain injury, Neurobiology of Disease, Volume 136, 2020
3,大学生抑郁症发病的预测因子研究
译者:He
关键词 :流行病学;情绪障碍;自杀/自残
背景:大学生抑郁症(MDD)与沉重精神负担有关。
目的:评估入学学生样本中一年MDD发生率和MDD发生率的预测因子。
方法:对一年级大学生进行前瞻性队列研究(基线:n = 2,519,1年随访:n = 958)。
结果:大学第一年内MDD的发生率为6.9%(SE = 0.8)。个体水平最重要的发病预测因素是先前存在的自杀计划和/或自杀尝试(OR = 9.5)。最强的人群水平基线预测因子是儿童-青少年创伤史、过去12个月的压力经历、父母精神病理学和其他12个月的精神障碍。多变量交叉验证预测表明,在一个复制样本中,36.1%的MDD事件发生在预测风险最高的10%的学生中(24.5%的预测风险发生在这个最高风险的亚组中)。
结论:在大学入学时进行筛查是一种有效的策略,用于识别有MDD发病风险的学生,这可能会改善针对性预防措施的开发和部署。
儿童-青少年创伤经历和12个月的压力作为抑郁发作的基线预测因子
参考文献:David D. Ebert et al. Prediction of major depressive disorder onset in college students. Depress Anxiety. 2019;36:294–304.
4,躁郁症和重度抑郁症患者血清中微生物组组成的比较
译者:Navy
关键词:细胞凋 亡;抗坏血酸;躁郁症;抑郁症;微生物组
躁郁症和重度抑郁症是两种使人衰弱、难以分辨的精神类疾病,然而,最近的研究表明,微生物组组成可能是区分这两种疾病的潜在工具。
本研究旨在比较躁郁症,重度抑郁症和健康对照者之间的血清中的微生物组组成。本研究的样本来自于从42名躁郁症患者,30名重度抑郁症患者和36名健康对照者收集的血清样本。从血清中的细胞外小泡中分离细菌DNA,然后使用对16S rDNA基因V3-V4高变区特异的引物进行扩增和定量。然后将序列reads聚类为可操作的分类单位,并使用SILVA进行分类。另外,基于门和属的个体分类群分析以及功能途径,比较Alpha和Beta多样性。
结果发现,躁郁症和重度抑郁症患者的Alpha或Beta多样性之间无统计学差异;但是,重度抑郁症患者中Prevotella 2和Ruminococcaceae UCG-002属明显高于双相情感障碍患者或健康对照者。通路的功能分析表明,细胞凋亡功能在三组之间均不同。
总之,Prevotella 2和Ruminococcaceae UCG-002属被鉴定为可区分双相情感障碍和重度抑郁症的潜在候选者。以后需要使用更大的样本量进行纵向设计,并控制其他各种混杂因素来做进一步研究。
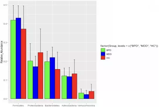
三组中的五个最富集的微生物门类
参考文献:Rhee SJ, Kim H, Lee Y, Lee HJ, Keun Park CH, Yang J, Kim Y-K, Kym S, Ahn YM, Comparison of serum microbiome composition in bipolar and major depressive disorders, Journal of Psychiatric Research (2020), doi: https://doi.org/10.1016/j.jpsychires.2020.01.004.
5,选择性5-羟色胺再摄入抑制剂对于重度抑郁症患者甲状腺功能的影响:一项系统性研究以及元分析
译者:UTCS
关键词: :重度抑郁症;甲状腺功能减退;元分析;5-羟色胺再摄入抑制剂
目前有研究认为选择性5-羟色胺再摄入抑制剂(Selective serotonin reuptake inhibitors, SSRI)对于甲状腺功能有着负面影响,但支持这一说法的证据不够充分还有着一定争议性。本项研究关注于,在重度抑郁症患者服用选择性5-羟色胺再摄入抑制剂之前或之后均有检测甲状腺功能参数(TSH(促甲状腺激素), T4(甲状腺素), Free T4(游离甲状腺素), or T3(三碘甲腺原氨酸))的研究实验数据。
本项研究搜索了MEDLINE,Embase以及Web of Science电子数据库中自2018年4月4日开始的数据。研究使用随机效应元分析方法(random-effects meta-analyses)评估5-羟色胺再摄入抑制剂对每种激素的影响。共有1791项数据记录以及14项观察性临床研究被包含在本项分析内。所有的研究至少具有中度误差风险(moderate risk of bias)并被视作低质量数据进行分析。
分析结果表明,一系列的5-羟色胺再摄入抑制剂治疗会造成T4变化-6.58 nmol/L(95%置信区间,-12.17— -0.99, p = 0.005, I2=97%; Cohen's d = 0.50),Free T4变化-0.91 pmol/L(95%置信区间,-1.65— -0.16, p =0.017, I2=96%; Cohen's d = 0.66),T3变化-0.10 nmol/L(95%置信区间,-0.18 t— -0.03, p =0.007, I2=96%; Cohen's d = 0.45),而TSH变化则不明显(0.06 microIU/L, 95% 置信区间为-0.05 — 0.17, p = 0.285, I2=98%; Cohen's d =0.17)。
对于四项元分析中的发表偏倚(publication bias)本项研究并没有进行检测。本项研究认为目前有初步的证据表明选择性5-羟色胺再摄入抑制剂会轻微地减少甲状腺功能,但是证据质量较低。而这种影响对于临床症状的效应还并不明确。
不同研究中甲状腺激素在重度抑郁症患者中服用选择性5-羟色胺再摄入抑制剂后的变化量
参考文献:Caye, A., Pilz, L. K., Maia, A. L., Hidalgo, M. P., Furukawa, T. A., & Kieling, C. (2020). The impact of selective serotonin reuptake inhibitors on the thyroid function among patients with major depressive disorder: A systematic review and meta-analysis. European Neuropsychopharmacology. https://doi.org/10.1016/j.euroneuro.2020.01.011
6,四大洲消极认知、情绪调节和抑郁症症状的关联:抑郁症认知模型的国际支持
译者:Kagami
关键词 :抑郁症;消极自动化思维;功能失调的态度
背景:认知行为疗法(CBT)是得到最广泛的测试及经验性支持的抑郁症心理治疗方法。Beck和其他学者在北美人群中建立了CBT的理论基础,但令人惊讶的是,很少有研究就非西方地区的抑郁症患者的认知模型进行其中心假设的检验。
方法:在本研究中,我们使用对齐的方法来使测量偏差最小化,以检验生活在四大洲(n=752)的成年人认知模型的几个中心假设:北美(n=103;女性=29.1%)、欧洲(n=404;女性=36.4%)、南美洲(n=108;女性=18.5%)和亚洲(n=136;女性=19.9%)。
结果:抑郁症状与患者关于其自身的负性自动化思维(ATQ-N)呈显著正相关,与生活在四大洲的人的功能障碍态度(DAS)呈中度正相关。此外,在四大洲的人群中,使用情绪抑制策略来调节情绪(ERQ抑制)与抑郁症状中度正相关,而使用认知再评价策略(ERQ再评价)与抑郁症状没有系统性关联。结论:这项研究的结果提供了初步的跨大陆支持的关于抑郁症认知模型的基本假设。消极思维似乎与世界上所有地区的抑郁症联系在一起,巩固了这一认知模型结构,使其成为了抑郁症的一个特征。
不同组在不同压力环境下对于奖赏提示的纹状体脑区域激活程度
参考文献:Mahali S C, Beshai S,Feeney J R, et al. Associations of negative cognitions, emotional regulation, and depression symptoms across four continents: International support for the cognitive model of depression[J]. BMC psychiatry, 2020, 20(1): 18.
校审/编辑:Simon/小时(brainnews编辑部)
1,061期抑研报|重审抑郁症经典实验——悬尾实验的有效性
2,060期抑研报|跨度10年25万人数据:抑郁症与消化性溃疡的双向关联
版权声明:我们致力于保护作者版权,注重分享,被刊用文章【大学生抑郁(062期抑研报)】因无法核实真实出处,未能及时与作者取得联系,或有版权异议的,请联系管理员,我们会立即处理! 部分文章是来自自研大数据AI进行生成,内容摘自(百度百科,百度知道,头条百科,中国民法典,刑法,牛津词典,新华词典,汉语词典,国家院校,科普平台)等数据,内容仅供学习参考,不准确地方联系删除处理!;
工作时间:8:00-18:00
客服电话
电子邮件
beimuxi@protonmail.com
扫码二维码
获取最新动态
