快来看呀!2021年北京市中考18个区初中校额到校分配名额,2021年校额到校的最低中考录取分数线是570分,这些数据对目前初二初一小升初孩子有重要的参考作用,看看你校分配了几个名额?
首先,简单介绍一下什么叫“校额到校”?
大家都知道,只要有孩子的家庭,都希望自己家的孩子能上牛校!这是人之常情。
可是,牛校毕竟是占少数,要求上的人太多,几十年前的小升初是通过考试,来决定谁上牛校,谁考的好,谁上牛校,谁考的差,谁就上渣校。
考试制的结果时,牛校越来越牛,渣校越来越渣。
孩子考试的一次失误,到了渣校,可能终身受影响。
因此,家长们对小升初的考试制意见很大。
怎么办呢?
管理层为了教育的公平性,取消小升初的考试制,采用“学区划片”制,就近入学。
可是,问题又来了,,,,
有的学区里,牛校多,
有的学区里,渣校多,
谁也不愿意在渣校的学区里,于是,一个新名词产生了“学区房”。
就是,家长为了在好的学区给孩子报名入学,到好的学区买房子。
那么问题又来了,大家都到好的学区抢房子,造成好的学区的房价直线上涨。
可是,没有钱的家庭,只能在差的学区将就,这部分家长肯定是不满意的、肯定是要提意见的。
管理层为了教育的公平性,开始了一项创造性的举措“校额到校”。
啥意思呢?
就是张三先生买了好学区的房子,张三的孩子上了优质小学,这所优质小学同一年级招生200名的孩子,最后,考高中时,其中有大约80-100名的孩子凭借考试的分数,考上了优质高中!
而李四先生,在差学区居住,也没有经济能力买好学区的房子,于是,李四的孩子只能在差学区上一个“渣校”,李四很沮丧、孩子也不开心。
为了教育的公平性,为了照顾这些“渣校”、为了照顾这些上了“渣校”的孩子。
管理层拿出一定比例的“优质高中”的名额(具体数额是多少呢,我下面给你配了一个18区的校额到校分配名额),赠送给这些“渣校”,让李四的孩子及他的同学们,受到照顾,这些孩子,即使凭借分数考不上“优质高中”,只要在自己在“渣校”的名次位于前列,就可以在考分没有达到优质高中分数线的情况下,同样能上优质高中。比如,李四孩子所在的这所“渣校”同一年级招了200个孩子,大约其中的60个孩子,就算没有考到“优质高中”的分数线,由于这些孩子在“渣校”位于前面的名次,所以,在分数不够的情况下,也能上“优质高中”。
通过“校额到校”名额的调节,很多的“渣校”翻身成了“牛校”,同样,因为名额拿出很多照顾“渣校”,牛校享受的名额就相对减少了。
牛校,在不久的将来,热度慢慢就降低了,反过来,“渣校”的热度慢慢的上升了。教育,越来越公平了。
北京的18个区的家长们现在急切的想知道,每所初中学校享受的照顾名额是多少呢?(详见下表,18个区)
(因文字较小,请您在手机上点击图片,放大阅读)
一、海淀区






二、西城区
三、东城区
四、朝阳区
五、丰台区
六、石景山区
七、大兴区
八、房山区
九、燕山区
十、昌平区
十一、顺义区
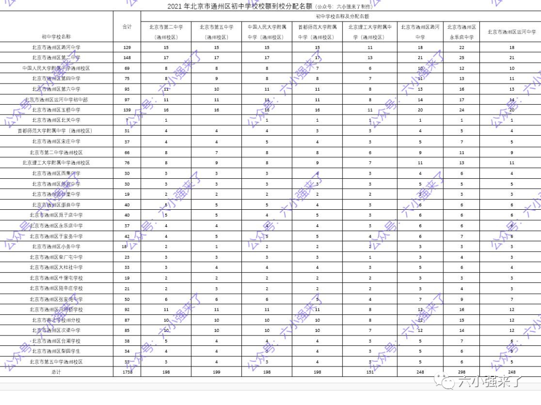
十二、通州区
十三、延庆区
十四、怀柔区
十五、密云区
十六、平谷区
十七、门头沟区
十八、经开区
版权声明:我们致力于保护作者版权,注重分享,被刊用文章【小升初学校分配查询(2021年北京18个区初中校额到校人数你校分配了几个名额)】因无法核实真实出处,未能及时与作者取得联系,或有版权异议的,请联系管理员,我们会立即处理! 部分文章是来自自研大数据AI进行生成,内容摘自(百度百科,百度知道,头条百科,中国民法典,刑法,牛津词典,新华词典,汉语词典,国家院校,科普平台)等数据,内容仅供学习参考,不准确地方联系删除处理!;
工作时间:8:00-18:00
客服电话
电子邮件
beimuxi@protonmail.com
扫码二维码
获取最新动态
