2019,QS(Quacquarelli Symonds)发布了亚洲大学排名统计数据,这次上榜亚洲大学排名200强的有11个国家。
中国上榜国际学生200强大学数量最多,达79所,其中澳门大学,香港科技大学,香港城市大学,香港浸会大学,香港大学等7所大学在中国并列第1;上榜大学数量第二的国家是韩国,有38上榜,其中韩国排名第1是梨花女子大学;上榜数量第三的国家是日本,有37所大学上榜,其中立命馆亚洲太平洋大学在日本排第1。在之后的还有,马来西亚第4(22所),印度第5(9所)。
国际学生200强中国有79所大学上榜,今年中国大学大学上榜数量和2018一样。
这些大学今年位列国际学生中国前5强:澳门科技大学(第1名);香港浸会大学(第1名);香港城市大学(第1名);香港大学(第1名);香港中文大学(第1名);香港科技大学(第1名);澳门大学(第1名)。
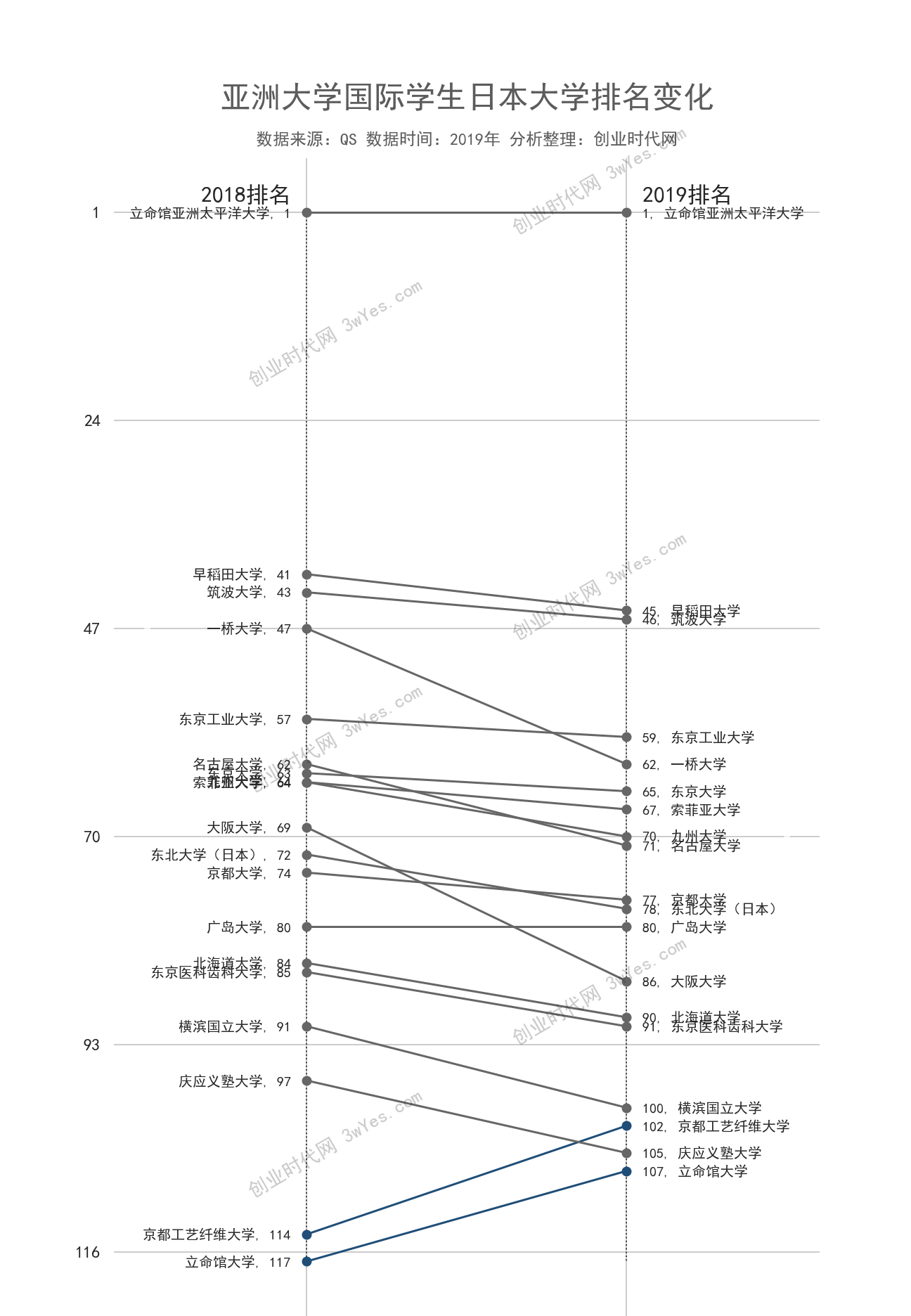
和中国相比,老牌发达国家日本大学发展情况如下:今年跻身国际学生日本前2的大学有:立命馆亚洲太平洋大学(第1名);早稻田大学(第45名)。
以下为日本在榜单前二十名:
和国内相比,日本京都工艺纤维大学提升最明显,国际学生上升12名;日本奈良女子大学也进步明显,提升了11名;日本立命馆大学上升10名。
京都工艺纤维大学学术声誉一项亚洲第220,雇主声誉一项亚洲第255,师生比一项亚洲第227,论文篇均引用数量一项亚洲第343,国际师资一项亚洲第251,国际学生一项亚洲第102,教师平均论文跻身亚洲第56,博士毕业教师比例跻身亚洲第88,外部交流一项亚洲第218,内部交流一项亚洲第136,国际科研一项亚洲第317。
版权声明:我们致力于保护作者版权,注重分享,被刊用文章【京都工艺纤维大学(亚洲大学国际学生)】因无法核实真实出处,未能及时与作者取得联系,或有版权异议的,请联系管理员,我们会立即处理! 部分文章是来自自研大数据AI进行生成,内容摘自(百度百科,百度知道,头条百科,中国民法典,刑法,牛津词典,新华词典,汉语词典,国家院校,科普平台)等数据,内容仅供学习参考,不准确地方联系删除处理!;
工作时间:8:00-18:00
客服电话
电子邮件
beimuxi@protonmail.com
扫码二维码
获取最新动态
