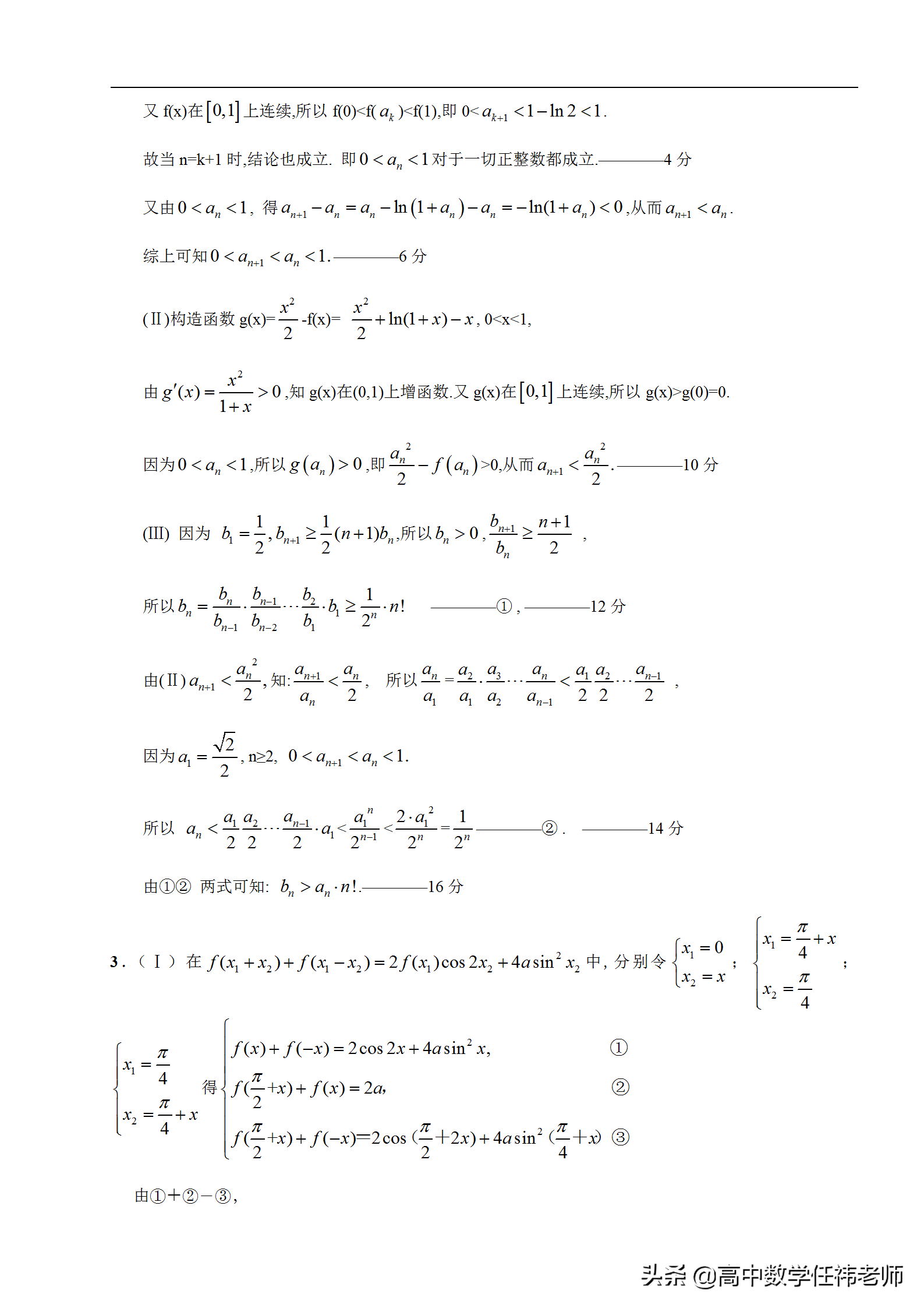
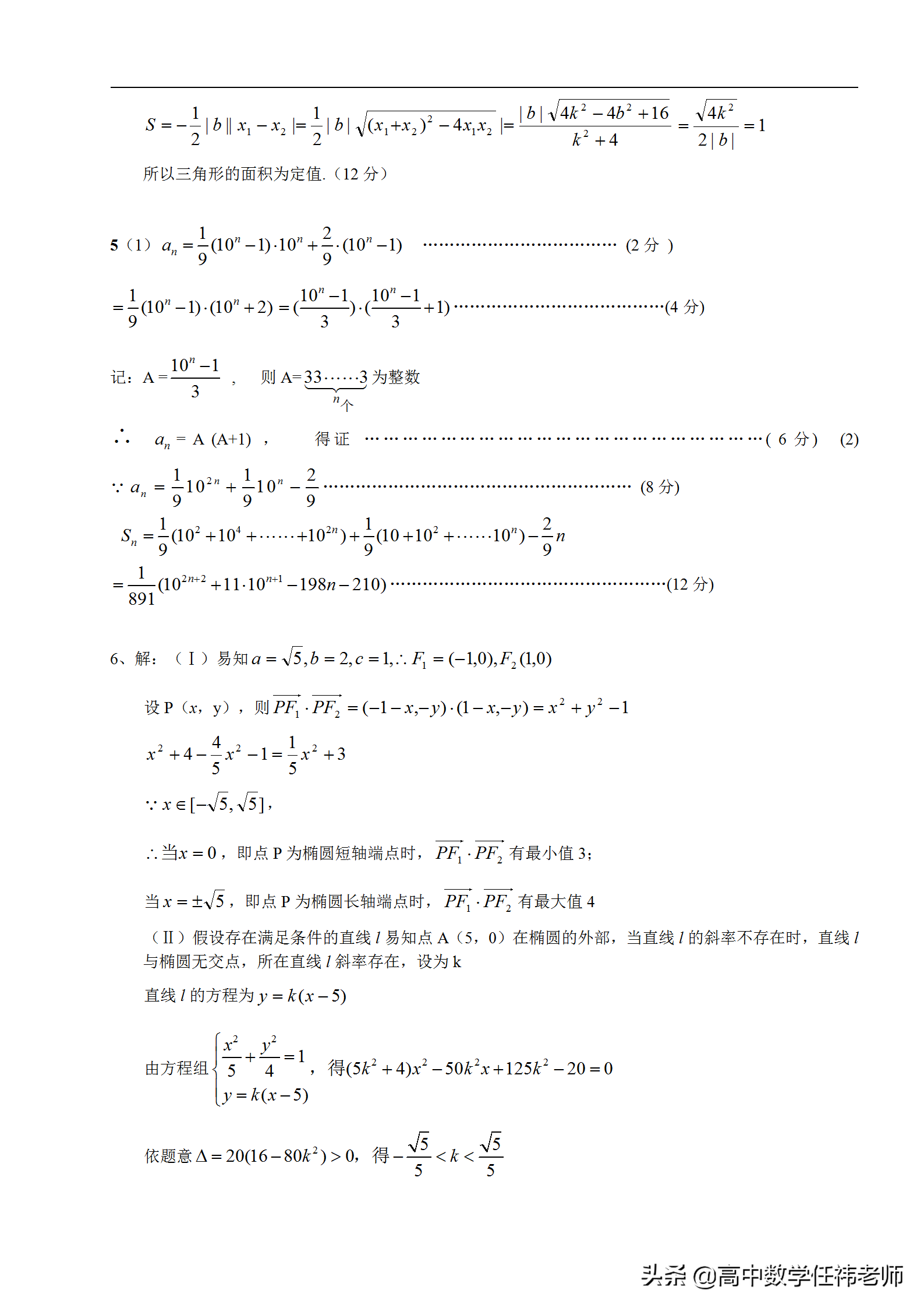
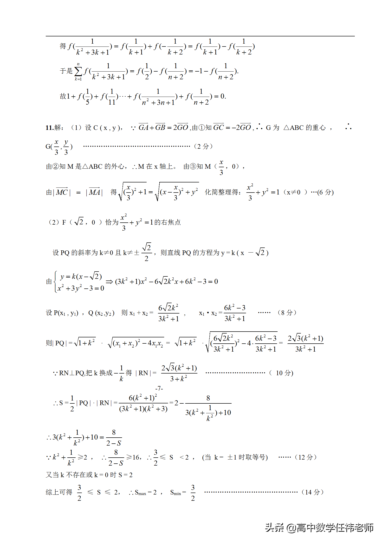
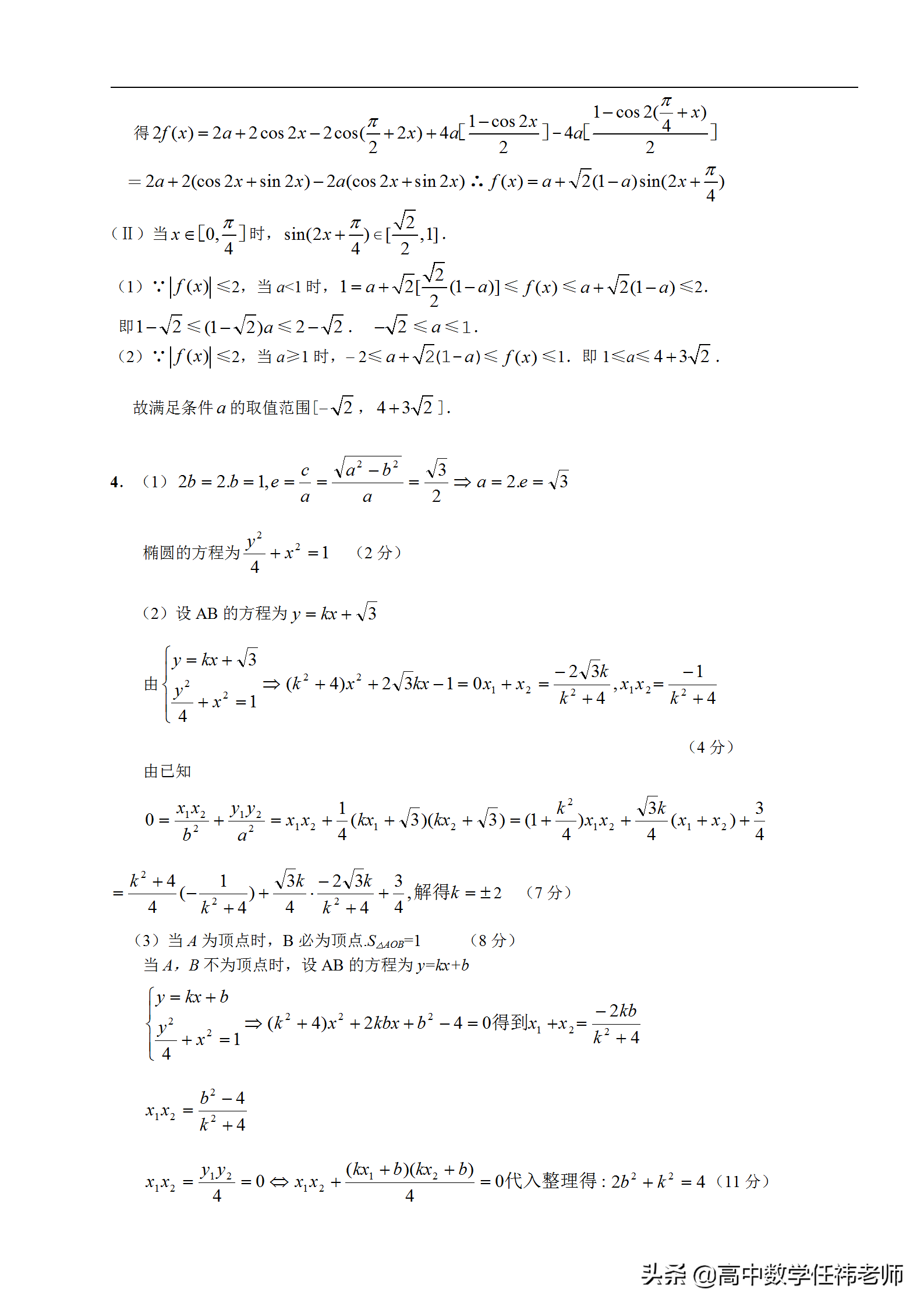
本资料主要针对高中数学基础扎实,冲刺985/211学生使用,所有题型均来自于历年高考或者名校模拟卷压轴题,一共100道题,题型涉及面及广,种类繁多,几乎涵盖了高中数学压轴题全部常考类型,特别适合百日冲刺练兵使用,且每道题讲解十分详细,详细到具体每个解题步骤应得几分,解答过程该如何写,是冲刺985/211必备资料,明确拿分点,做到压轴题尽可能利用有限的时间拿取更多的分数,希望可以帮助到需要的同学!
1、转发并关注任祎老师头条号
2、私信“100道压轴题”按要求获取
(由于资料太多,一共100页,这里只展示部分)
版权声明:我们致力于保护作者版权,注重分享,被刊用文章【高考压轴题(冲刺985)】因无法核实真实出处,未能及时与作者取得联系,或有版权异议的,请联系管理员,我们会立即处理! 部分文章是来自自研大数据AI进行生成,内容摘自(百度百科,百度知道,头条百科,中国民法典,刑法,牛津词典,新华词典,汉语词典,国家院校,科普平台)等数据,内容仅供学习参考,不准确地方联系删除处理!;
工作时间:8:00-18:00
客服电话
电子邮件
beimuxi@protonmail.com
扫码二维码
获取最新动态
