导读:作文在高考语文的总分里面,占据着非常重要的位置,甚至能够对考生的总分产生直接的影响。所以每位学生面对高考作文,都不能够有丝毫的松懈。
现在距离2021年高考已经不足10天,在最后的时间段,如何提高作文的水平,相信也是大家十分关心的问题。语文作文想要出彩,除了平时要注意积累素材,练好基本功之外,还需要合理运用技巧,才能够取得较好的分数。
一篇高分的语文作文,不仅需要有较好的文采,还需要有很好的卷面结构。想要在短时间里面写出比较出彩的文章,恐怕是一件很困难的6事情。么我们可以从结构方面,通过借鉴满分作文的优点,让自己的高考作文拿到合理的分数。
下面就让我们来看一篇高考的满分范文,通过这篇范文,学生们可以直接套用部分模板,或者是学习到相关的技巧。
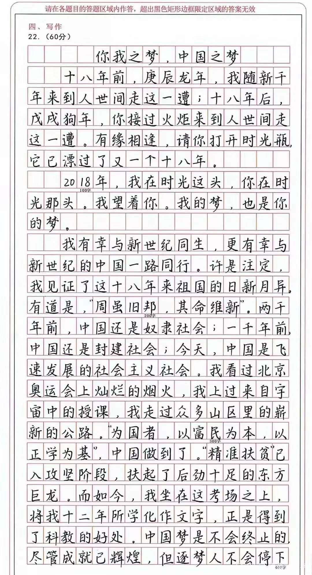
这是作文的开头部分。我们可以总结出两个方面值得学习的地方。第一,文章的标题切重要害,给人一种震撼感。常言道,“花香自来,题好一半文”,好的标题能够给人眼前一亮的感觉。
第二,字迹非常工整,没有涂改的痕迹。通篇文章都是一气呵成,磅礴大气,证明学生的字写得非常好,应该是有深厚的功底。即使扫描到电脑进行阅卷,这篇作文的卷面依然很不错,能够博得阅卷老师的欢心。
从整篇文章来看,这位作者的排版非常合理,这也从侧面告诫各位高三的学生,在考虑写高考作文的时候,需要筹划好整篇的布局,采用的论证方法要提前想好。
这样既能够避免边写边构思的尴尬,又能够提高写作的速度,更有利于卷面的整洁。
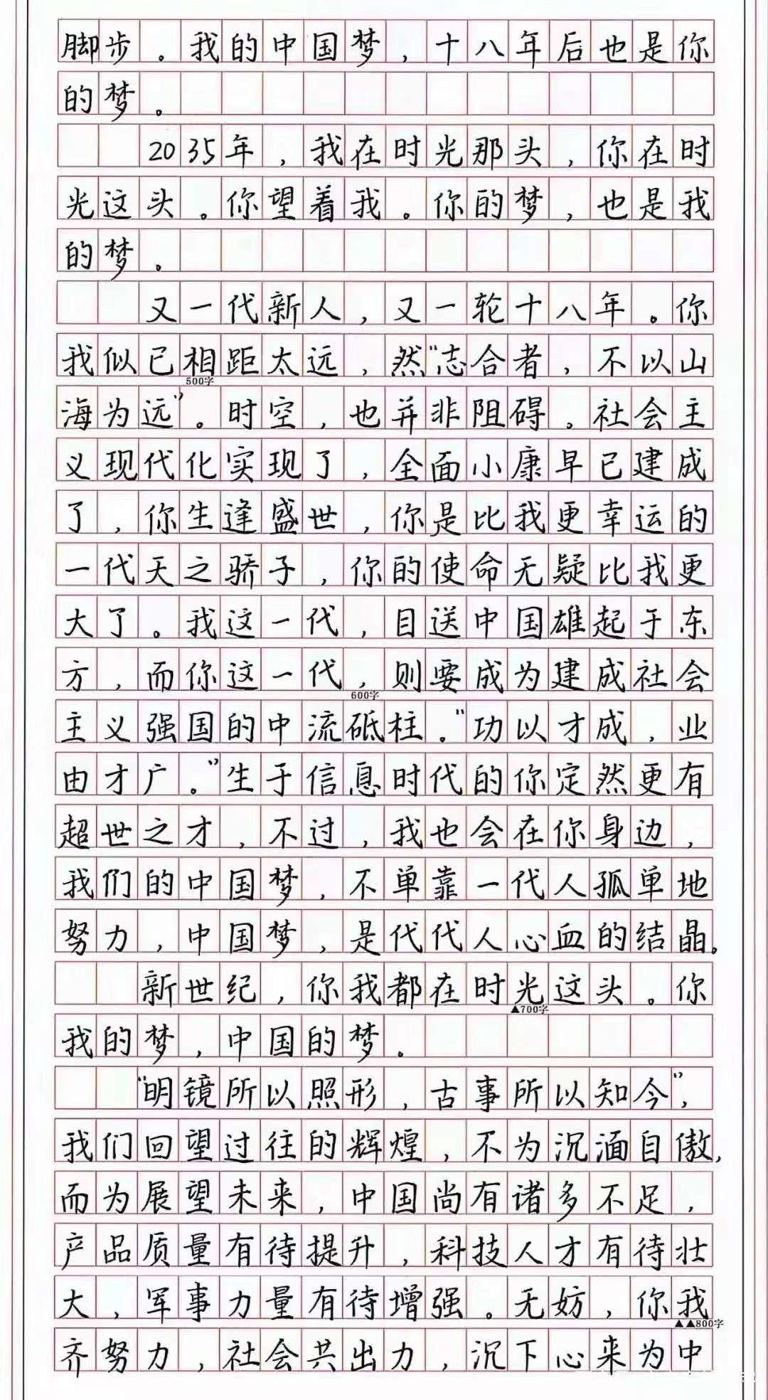
以上这篇高考的满分作文,文采是非常的好,能够引经据典,熟练地掌握各种历史事件,并且还能够用自己的观点恰好地表达出来。但是对于普通的学生来说,短时间里面无法达到这个高度。
普通学校的高考作文很难拿到54分以上,通常来说,能够拿到50分左右,应该是最理想的状态。从这篇作文里面,学生们应该学到下面的两个个技巧。
一、注意把标题写好
好的标题恰如善睐之明眸,盼兮之美目,能使文章光彩照人。一个好的标题,能够瞬间吸引到阅卷老的目光,能够让老师有兴趣阅读下去,这就是最基本的要求。一般来说,只要学生的标题没有偏离中心论点,这篇文章起码都能够在42分以上。
笔者建议各位学生可以采用对称式的标题写法,可以引用名言警句、成语典故、电影名片、歌曲名等拟题。
二、保持合理的结构,让卷面高度整洁
合理的结构就是需要学生们进行全篇谋划,简单来说就是要划分好段落。每一段的字数应该控制在150个字左右,每个分论点该如何布局,学生们都要提前想好。正如前面那篇范文,作者把每个分论点都作为一行,这样简单明了,又能够让阅卷老师看到。
每个段落后面都应该留有相应的空格,这样做目的是为了减轻老师的阅卷负担。当然,学生的字体不追求美观,也应该保持基本的工整,这样全面才能够高度整洁。
要想让自己的作文变得更好,就是要从小养成良好的习惯,并且吸取学霸们的优点。今天,笔者为大家推荐《等你在清华》、《等你在北大》两本书。
这些学霸往日里面的学习技巧,也是很值得各位普通的学生借鉴。如果学生们能够持之以恒,即使不能够达到学霸级别的高度,也能够提高自己的成绩,所以建议各位学生或者是家长,在暑假来临之际,可以看看这两本书。
一本值得学生借鉴的书籍 ¥36 购买笔者寄语:距离高考的时间越来越近,以上的建议,希望能够对各位高三的学生有所帮助。最后阶段多积累素材,多看看优秀的作文,提升作文的写作技巧,会有很大的帮助。
版权声明:我们致力于保护作者版权,注重分享,被刊用文章【高考作文(学霸的高考满分作文)】因无法核实真实出处,未能及时与作者取得联系,或有版权异议的,请联系管理员,我们会立即处理! 部分文章是来自自研大数据AI进行生成,内容摘自(百度百科,百度知道,头条百科,中国民法典,刑法,牛津词典,新华词典,汉语词典,国家院校,科普平台)等数据,内容仅供学习参考,不准确地方联系删除处理!;
工作时间:8:00-18:00
客服电话
电子邮件
beimuxi@protonmail.com
扫码二维码
获取最新动态
