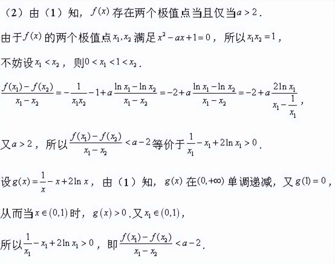
2018年高考全国卷1理科数学第21题
本文中两道试题均是典型的含双极值点不等式的相关问题,都需要使用韦达定理将多变量不等式转化为单变量不等式,从而为构造函数创造条件.
广东省佛山市2022届高三二模数学试题第22题
构造反例的方法类似于在解函数零点个数问题中寻找函数零点所在区间的方法,即①取整数或与e,π等相关的式子;②取与参数相关的式子作为零点所在区间端点;③取可以使得函数值变得简洁的值作为零点所在区间端点;④通过不等式放缩构造零点所在区间端点.
版权声明:我们致力于保护作者版权,注重分享,被刊用文章【2017年广东高考数学卷(广东佛山22届高三二模数学第22题与18年高考全国卷1理科第21题)】因无法核实真实出处,未能及时与作者取得联系,或有版权异议的,请联系管理员,我们会立即处理! 部分文章是来自自研大数据AI进行生成,内容摘自(百度百科,百度知道,头条百科,中国民法典,刑法,牛津词典,新华词典,汉语词典,国家院校,科普平台)等数据,内容仅供学习参考,不准确地方联系删除处理!;
工作时间:8:00-18:00
客服电话
电子邮件
beimuxi@protonmail.com
扫码二维码
获取最新动态
