题目:
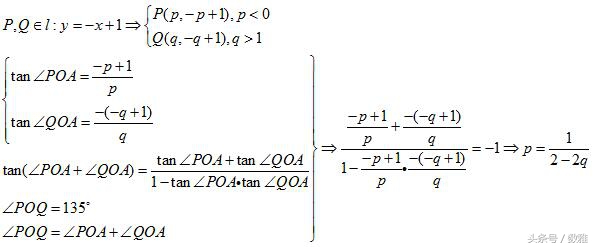
如图,直线l:y=﹣x+1与x轴,y轴分别交于A,B两点,点P,Q是直线l上的两个动点,且点P在第二象限,点Q在第四象限,∠POQ=135°。
1、求△AOB的周长;
2、设AQ=t>0,试用含t的代数式表示点P的坐标;
3、当动点P,Q在直线l上运动到使得△AOQ与△BPO的周长相等时,记tan∠AOQ=m,若过点A的二次函数L同时满足以下两个条件:
求二次项系数a的值。
分析:
题目1:
不再赘述分析,直接写过程如下
△AOB的周长为2+√2;
题目2:
如果您所在区域学过三角函数变换(2角和),那么这道题不算复杂,否则计算量将较大。
问:如何求用t表达点P坐标?
答:只能从与P相关的条件去挖掘
∠POQ=135°
P,Q所在直线斜率为-1,即与x轴夹角为135°
所以,我们先把上述关系表述出来,再用t代入(t代表了Q的坐标,大家想想为什么)。有2种思路:
利用tan的2角和公式
继续挖掘∠POQ=135°
分别赘述如下:
利用tan的2角和公式
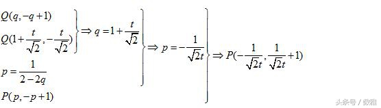
第一步:利用三角函数找到P、Q坐标关系
注意到题设规定P在第2象限,Q在第4象限,所以有
第二步:用t替代q,进而替代p
这一步,此处有意略去,直接给结果,大家自己多想一想。如下
继续挖掘∠POQ=135°
其中,OA、OB都是定值、可求长度的线段(都等于1),我们可以利用任何一个式子求出P的坐标关于t的表达式。下略。
题目3:
问:如何求a值?
答:“翻译”关于a的3个条件,然后看还缺什么条件
A在L上:第一个关于a的方程(实际上是以a,b,c为未知数的3元1次方程);
6a+3b+2c=0:第二个关于a的方程;
在与m相关的特定区间上,L最大值为2/∏:第3个关于a的方程(含未知数m)
如果m值可知,那么3个3元1次方程能够解出a,b,c的值。
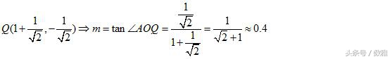
问:如何求m值?
答:题设告诉我们tan∠AOQ=m,而tan∠AOQ等于Q的纵坐标与横坐标比值相反数。
问:Q的坐标怎么求?
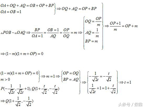
答:由“△AOQ与△BPO的周长相等”求解。但是,直接求解两个三角形的周长,介个计算量,啧啧。幸好,通过求解题目2已知 “△AOQ与△BPO相似”,并且这两个三角形都是包含一个135°角的钝角三角形,且OA=OB,所以当△AOQ与△BPO的周长相等时,一定有PB=QA。
第一步:求Q的坐标
第二步:求解m的值
第三步:翻译3个条件
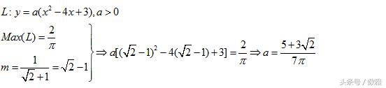
注意,我们不知道a的正负,即不知道L的开口方向。在求解L最大值时需要分类讨论。
于是L与x轴的交点为(1,0)和(3,0),对称轴为x=2,顶点为(2,-a)。接下来,我们翻译最后一个条件。
为了便于理解、分析,大家看看草图
如图,由于0<m<1,2<m+2<3,所以L在规定区间上的最大值如下
a>0时,最大值在x=m处取得
a<0时,最大值在x=2处取得
版权声明:我们致力于保护作者版权,注重分享,被刊用文章【2016高考冲刺压轴卷吧(中考数学2016)】因无法核实真实出处,未能及时与作者取得联系,或有版权异议的,请联系管理员,我们会立即处理! 部分文章是来自自研大数据AI进行生成,内容摘自(百度百科,百度知道,头条百科,中国民法典,刑法,牛津词典,新华词典,汉语词典,国家院校,科普平台)等数据,内容仅供学习参考,不准确地方联系删除处理!;
工作时间:8:00-18:00
客服电话
电子邮件
beimuxi@protonmail.com
扫码二维码
获取最新动态
