本文共包括16所医学院校复试及调剂的相关信息,希望能助你上岸,22考研,加油!#医学生有多难##2022考研复试调剂#
关注师兄,助你上岸!
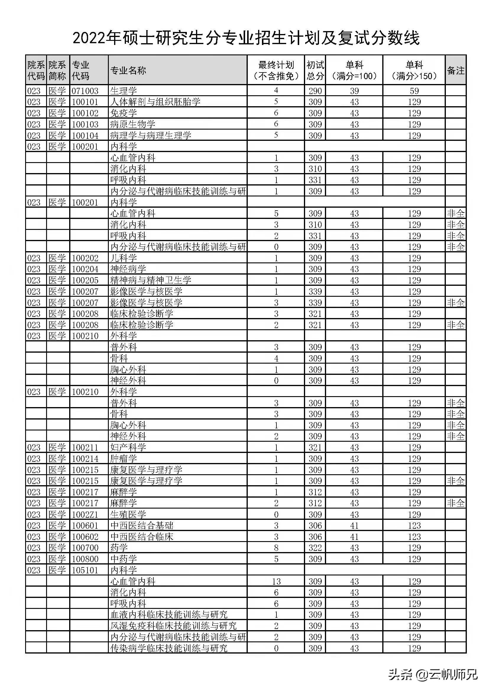
徐州医科大学最低分数线
徐州医科大学最低分数线
徐州医科大学最低复试分数线
徐州医科大学最低复试分数线
北航基础医学院复试分数线
注:北航实行差额复试,差额比例一般总体不低于120%,预计于26日-31日间,具体时间以我院后续通知为准。
西安医学院复试分数线
延安大学复试分数线
汕头大学调剂信息
调剂要求:
(一)初试成绩须符合教育部公布的《2022年全国硕士研究生招生考试考生进入复试的初试成绩基本要求》(A类考生)。
(二)申请调剂专业与第一志愿报考专业相同或相近,且在同一学科门类范围内。
(三)初试科目与调入专业初试科目相同或相近,其中初试全国统一命题科目应与调入专业全国统一命题科目相同。
(四)满足教育部文件及我校各招生学院2022年硕士研究生招生考试复试工作方案有关调剂的其它要求。
西南交通大学医学院复试分数
调剂信息如下:
西南大学医学院调剂信息
初试成绩总分≥309, 101 思想政治理论≥43, 201 英语一≥55,科目(满 分>100 分)≥129 2、本科专业为医学相关专业
江南大学医学院调剂信息
注:1、考生报考条件须符合我校2022年硕士研究生招生简章的规定。
2、初试成绩(包括初试总分、单科成绩)不低于2022年初试专业国家复试分数线(A类考生)。
3、调入专业与第一志愿报考专业相同或相近,应在同一学科门类范围内,原则上要求不得跨专业报考。
4、初试科目与调入专业初试科目相同或相近,其中初试全国统一命题科目应与调入专业全国统一命题科目相同。
5、不接受同等学力考生调剂申请。
江南大学医学院复试线
上海中医药大学复试分数线
湖北中医药大学复试分数线
湖北中医药大学复试分数线
湖北中医药大学复试分数线
哈医大复试复试线
哈医大招生计划
福建医科大学复试分数线
注:1.报考我校医学门类各专业达国家线但未达学校该专业自划线的考生,可调剂至基础医学专业(1001);
2.报考我校临床医学专硕(1051)达国家线但未达我校该专业自划线的考生,还可调至公共卫生专硕(1053)。
桂林医学院
桂林医学院
桂林医学院
注:桂林医学院的调剂考生复试分数线按后续调剂公告规定执行。
西藏民族大学复试分数线
佳木斯大学复试分数线
注:2022年我校招生1011人(含退役大学生士兵计划7人)。各招生学科复试分数线不得低于国家复试合格线A类线,可以提高复试分数线
宁夏医科大
可以自行去查一志愿复试名单了哈
广西医科大学复试分数线
呐~今天的分享就到这儿啦,有问题或者需要补充的评论区见喽!
版权声明:我们致力于保护作者版权,注重分享,被刊用文章【上海中医药大学分数线2017(得劲)】因无法核实真实出处,未能及时与作者取得联系,或有版权异议的,请联系管理员,我们会立即处理! 部分文章是来自自研大数据AI进行生成,内容摘自(百度百科,百度知道,头条百科,中国民法典,刑法,牛津词典,新华词典,汉语词典,国家院校,科普平台)等数据,内容仅供学习参考,不准确地方联系删除处理!;
工作时间:8:00-18:00
客服电话
电子邮件
beimuxi@protonmail.com
扫码二维码
获取最新动态
