2021年想考上国内重点大学,需要考多少分?学姐盘点了多所知名高校今年在各省的录取分数线,供各位考生和家长参考。
注:以下各批次录取分数线数据更新截至8月10日,如有错漏,请以高校最新发布为准。
北京大学
北京大学创办于1898年,初名京师大学堂,是中国第一所国立综合性大学。

清华大学
清华大学的前身清华学堂始建于1911年,1912年更名为清华学校。目前,清华大学共设21个学院、59个系,已成为一所设有理学、工学、文学、艺术学、历史学、哲学、经济学、管理学、法学、教育学和医学等11个学科门类的综合性、研究型大学。
(上下滑动查看)
【统招批录取分数线】
广东:物理组688分;物化组688分;历史组669分
上海:不限组619分;物化组617分;物理组615分
北京:不限组684分;物化组683分;物理组681分
内蒙古:理科673分;文科653分
广西:理科679分;文科669分
江苏:物理组666分;物化组666分;历史组646分
河南:理科699分;文科677分
山西:理科672分;文科666分
浙江:通用基础类715分;物理基础类695分;临床医学类695分
江西:理科685分;文科664分
宁夏:理科649分;文科665分
天津:不限组721分;物理组716分;物化组714分
湖南:物理组681分;物化组686分;历史组657分
黑龙江:理科682分;文科661分
海南:不限组877分;物理组838分;物化组836分
安徽:理科692分;文科680分
云南:理科696分;文科695分
山东:通用基础类704分;物理基础类678分;临床医学类683分
辽宁:通用基础类672分;物理基础类694分;临床医学类700分
甘肃:理科669分;文科656分
贵州:理科671分;文科689分
湖北:物理组687分;物化组694分;历史组668分
河北:物理基础类686分;临床医学类687分;通用基础类674分
吉林:理科679分;文科653分
新疆:理科651分;文科638分
四川:理科696分;文科647分
重庆:物理基础类704分;临床医学类705分;通用基础类682分
福建:物理组682分;物化组684分;历史组657分
【定向批录取分数线】
内蒙古:663分
黑龙江:664分
湖南:672分
江西:672分
江苏:650分
山西:663分
广西:668分
安徽:680分
四川:688分
贵州:655分
浙江:681分
辽宁:683分
天津:705分
宁夏:631分
云南:681分
宁夏:631分
山东:669分
广东:676分
河南:695分
福建:675分
陕西:687分
重庆:701分
甘肃:652分
海南:823分
湖北:679分
【国家专项批录取分数线】
内蒙古:理科647分;文科622分
山西:理科647分;文科634分
甘肃:理科646分;文科640分
青海:理科582分;文科616分;
广西:理科637分;文科631分
江西:理科677分;文科656分
河北:物理组663分(最低专业录取分);历史组643分
宁夏:理科637分;文科635分
安徽:理科681分;文科662分
海南:物理组773分;不限组740分
四川:理科675分;文科636分
黑龙江:理科659分;文科631分
新疆:理科635分;文科641分
云南:理科679分;文科688分
贵州:理科658分;文科680分
河南:理科686分;文科666分
陕西:理科669分;文科649分
吉林:理科660分;文科637分
重庆:物理组696分(最低专业录取分);历史组670分
湖南:物理组673分;物化组671分;历史组643分
湖北:物理组676分;历史组663分;物化组680分
中国人民大学
中国人民大学(Renmin University of China)是第一所新型正规大学,是一所以人文社会科学为主的综合性研究型全国重点大学,直属于教育部,由教育部与北京市共建。


中央民族大学
中央民族大学(Minzu University of China)坐落于北京学府林立的海淀区,南邻国家图书馆,北依中关村科技园,校园环境典雅,古朴幽美,人文氛围浓郁,具有鲜明的民族特色。

大连理工大学
大连理工大学是教育部直属全国重点大学,是国家“211工程”和“985工程”重点建设高校,也是世界一流大学A类建设高校。
主校区(含开发区校区)

盘锦校区

复旦大学
复旦大学校名取自《尚书大传》之“日月光华,旦复旦兮”,始创于1905年,原名复旦公学,1917年定名为复旦大学,是中国人自主创办的第一所高等院校。
复旦大学(10246)
(上下滑动查看)

复旦大学上海医学院(19246)
(上下滑动查看)

厦门大学
厦门大学(Xiamen University),简称厦大(XMU),由著名爱国华侨领袖陈嘉庚先生于1921年创办,是中国近代教育史上第一所华侨创办的大学,也是国家“211工程”和“985工程”重点建设的高水平大学。
(上下滑动查看)


东南大学
东南大学坐落于六朝古都南京,是享誉海内外的著名高等学府。学校是国家教育部直属并与江苏省共建的全国重点大学,是国家“985工程”和“211工程”重点建设大学之一。
(点击查看详情)

中山大学
中山大学由孙中山先生创办,有着一百多年办学传统。作为中国教育部直属高校,通过部省共建,中山大学已经成为一所国内一流、国际知名的现代综合性大学。现由广州校区、珠海校区、深圳校区三个校区、五个校园及十家附属医院组成。
(点击查看详情)

华南理工大学
华南理工大学地处广州,是直属教育部的全国重点大学,校园分为五山校区、大学城校区和广州国际校区,是首届“全国文明校园”获得单位。
(上下滑动查看)

哈尔滨工业大学(深圳)
哈尔滨工业大学(深圳)由哈工大与深圳市政府合作共建的一个校区,哈工大(深圳)以全日制本科生与研究生教育为主、非全日制教育为辅,是首所进驻深圳招收本科生的中国九校联盟(C9)成员、国家“985工程”建设高校和“双一流”建设A类高校。

四川大学
四川大学是教育部直属全国重点大学,是国家布局在中国西部的重点建设的高水平研究型综合大学。四川大学地处中国历史文化名城——“天府之国”的成都,有望江、华西和江安三个校区,占地面积7050亩,校舍建筑面积269.4万平方米。
(点击查看详情)


东北大学
东北大学始建于1923年4月26日,是一所具有爱国主义光荣传统的大学。学校是国家首批“211工程”和“985工程”重点建设的高校,2017年9月,经国务院批准,进入一流大学建设高校行列。
(点击查看详情)

湖南大学
湖南大学位于中国历史文化名城长沙,校区坐落在湘江之滨、岳麓山下,享有“千年学府,百年名校”之誉。学校办学历史悠久、教育传统优良,是教育部直属全国重点大学、国家“211工程”“985工程”重点建设高校、国家“世界一流大学”建设高校。

云南大学
云南大学始建于1922年,时为私立东陆大学,1934年更名为省立云南大学,1938年改为国立云南大学,是我国西部边疆最早建立的综合性大学之一。
(上下滑动查看)


西北农林科技大学
西北农林科技大学地处中华农耕文明发祥地、国家级农业高新技术产业示范区——陕西杨凌,是教育部直属、国家原“985工程”和“211工程”重点建设高校,首批入选国家“世界一流大学和一流学科”建设高校。
(上下滑动查看)


北京交通大学
北京交通大学是教育部直属,教育部、交通运输部、北京市人民政府和中国国家铁路集团有限公司共建的全国重点大学,“211工程”“985工程优势学科创新平台”项目建设高校和具有研究生院的全国首批博士、硕士学位授予高校。
(上下滑动查看)

北京化工大学
北京化工大学是新中国为“培养尖端科学技术所需求的高级化工人才”而创建的一所高水平大学。作为教育部直属的全国重点大学、国家“211工程”和“‘985’优势学科创新平台”重点建设院校,国家“一流学科”建设高校。
普通类:

北京邮电大学
北京邮电大学是教育部直属、工业和信息化部共建、首批进行“211工程”建设的全国重点大学,是“985优势学科创新平台”项目重点建设高校,是一所以信息科技为特色、工学门类为主体、工管文理协调发展的多科性、研究型大学,是我国信息科技人才的重要培养基地。
(点击查看详情)

北京林业大学
北京林业大学是教育部直属、教育部与国家林业和草原局共建的全国重点大学。学校办学历史可追溯至1902年的京师大学堂农业科林学目。

首都师范大学
首都师范大学建于1954年,办学历史可追溯至1905年成立的通州师范,是国家“双一流”建设高校、北京市与教育部“省部共建”高校。
2021在北京各批次最低录取分数

2021京外普通类录取最低分数

中国传媒大学
中国传媒大学是教育部直属的“一流学科建设高校”,“211工程”重点建设大学,“985优势学科创新平台”重点建设高校。
艺术类本科专业录取分数线:

中央财经大学
中央财经大学是教育部直属,教育部、财政部和北京市共建的大学,是国家“双一流”建设、“211工程”建设和首批“优势学科创新平台”项目建设高校。
注:以下分数含政策性加分;不含非第一志愿及特殊类型考生分数。
(点击查看详情)

中国音乐学院
中国音乐学院于1964年建立,素有“中国音乐家的摇篮”“中国音乐的殿堂”的美誉。是国家“一流学科”建设学校、“全球音乐教育联盟”秘书处学校。

天津工业大学
天津工业大学是教育部与天津市共建、天津市重点建设的全日制普通高等学校。2017年入选国家“双一流”世界一流学科建设高校,2018年获批国防科工局与天津市共建高校。
(上下滑动查看)

太原理工大学
太原理工大学是一所历史悠久、底蕴深厚、特色鲜明的世纪学府。其前身是创立于1902年的山西大学堂西学专斋,为中国创办最早的三所国立大学之一,坐落于具有2500多年建城史的国家历史文化名城——太原。
(上下滑动查看)

中央音乐学院
中央音乐学院1949年由中央人民政府政务院命名成立,是一所培养高级专门音乐人才的高等学府。1960年被国务院定为全国重点高等学校,2000年被列入国家“211工程”建设院校,是全国艺术院校中唯一一所国家重点大学,2017年入选国家“双一流”学科建设高校。


中国科学院大学
中国科学院大学简称“国科大”,是一所以科教融合为办学模式、研究生教育为办学主体、精英化本科教育为办学特色的创新型大学。

陕西师范大学
陕西师范大学是教育部直属、世界一流学科建设高校,是国家培养高等院校、中等学校师资和教育管理干部以及其他高级专门人才的重要基地,被誉为“教师的摇篮”。
(上下滑动查看)






海南大学
海南大学是于2007年8月由原华南热带农业大学与原海南大学合并组建而成的综合性重点大学,是教育部和海南省人民政府部省合建高校。
(上下滑动查看)
2021年在非综合改革省份普通一批录取情况:

2021年在非综合改革省份普通二批录取情况:

2021年在综合改革省份本科普通批录取情况:

2021年地方专项计划投档最低分、录取最低分等情况:

2021年国家专项录取情况(仅招海南、贵州生源):

中南财经政法大学
中南财经政法大学是中华人民共和国教育部直属的一所以经济学、法学、管理学为主干,兼有哲学、文学、史学、理学、工学、艺术学等九大学科门类的普通高等学校,是国家“211工程”高校和“985工程优势学科创新平台”项目重点建设高校,入选世界一流大学和一流学科(简称“双一流”)建设高校及建设学科名单。
(上下滑动查看)
辽宁大学
辽宁大学是一所具备文、史、哲、经、法、理、工、管、医、艺等学科门类的省属综合性大学。学校现有三个校区,即沈阳崇山校区、沈阳蒲河校区和辽阳武圣校区。





注:录取结果以各省招生考试机构公布为准。最低分为首次投档已录取考生最低分(艺术类部分专业为专业成绩最低分或综合分)。
成都理工大学
2001年经教育部批准,合并四川商业高等专科学校、有色金属地质职工大学,组建成都理工大学。学校先后由地质部、地质矿产部、国土资源部直属,2000年划转地方,成为中央与地方共建、以四川省人民政府管理为主的省属重点大学。2010年11月3日,国土资源部与四川省人民政府签署共建成都理工大学协议。2017年9月,学校进入国家一流学科建设高校行列。2019年12月26日,学校成为教育部与四川省共建的“双一流”建设高校。

长安大学
长安大学直属国家教育部,是国家首批“211工程”重点建设大学、国家“985优势学科创新平台”建设高校、国家“双一流”建设高校。学校2011年入选国家“985优势学科创新平台”建设高校,2017年入选国家“双一流”建设高校。
(上下滑动查看)






中国农业大学
中国农业大学作为教育部直属高校,是我国现代农业高等教育的起源地,其历史起自于1905年成立的京师大学堂农科大学。
表中各省分数为一志愿录取最低分:




武汉大学
武汉大学是国家教育部直属重点综合性大学,是国家“985工程”和“211工程”重点建设高校,是首批“双一流”建设高校。学校学科门类齐全、综合性强、特色明显,涵盖了哲、经、法、教育、文、史、理、工、农、医、管理、艺术等12个学科门类。
(上下滑动查看)




自强计划录取分数线:


马克思主义理论录取分数线:


艺术类录取分数线:

民族班录取分数线:

港澳台录取分数线:
单设投档单位录取分数线:

北京理工大学
北京理工大学1940年诞生于延安,是中国共产党创办的第一所理工科大学,是新中国成立以来国家历批次重点建设的高校,首批进入国家“211工程”和“985工程”,首批进入“世界一流大学”建设高校A类行列。
2021年本科招生普通批次录取分数线:

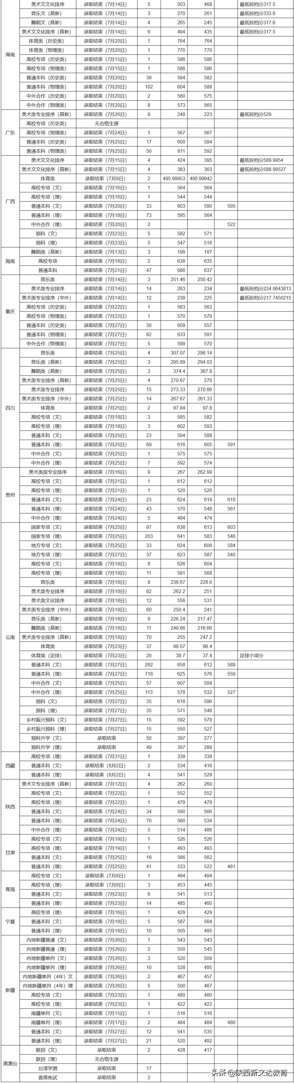
华中科技大学
华中科技大学是国家教育部直属重点综合性大学,由原华中理工大学、同济医科大学、武汉城市建设学院于2000年5月26日合并成立,是国家“211工程”重点建设和“985工程”建设高校之一,是首批“双一流”建设高校。

同济大学
同济大学历史悠久、声誉卓著,是中国最早的国立大学之一,是教育部直属并与上海市共建的全国重点大学。2017年,学校被列为国家世界一流大学建设高校。


天津中医药大学
天津中医药大学始建于1958年,原名天津中医学院。2005年更名为天津中医药大学。2017年,学校列入国家“双一流”建设高校名单,中药学科入选国家“双一流”建设学科。
以下为各省市录取情况:
(上下滑动查看)
广东:
福建:
四川:

内蒙古:
青海:
广西:
陕西:
甘肃:
黑龙江:


四川:
山东:
山西:
上海海洋大学
上海海洋大学是多科性应用研究型大学,上海市人民政府与国家海洋局、农业农村部共建高校。2017年9月入选国家“世界一流学科建设高校”。
学校校训:勤朴忠实,1914年9月1日定立。创校初心:渔界所至,海权所在也。办学传统:把论文写在世界的大洋大海和祖国的江河湖泊上。
(上下滑动查看)


上海外国语大学
上海外国语大学(Shanghai International Studies University,SISU)创建于1949年12月,是中华人民共和国成立后兴办的第一所高等外语学府,是新中国外语教育的发祥地之一,是教育部直属并与上海市共建、进入国家“211工程”和“双一流”建设的全国重点大学。
(上下滑动查看)




上海财经大学
上海财经大学已成为一所以经济管理学科为主,经、管、法、文、理协调发展的多科性重点大学。学校占地818亩,设有三个校区,主校区位于国定路777号。
(上下滑动查看)




上海大学
上海大学是上海市属、国家“211工程”重点建设的综合性大学,是教育部与上海市人民政府共建高校,上海市首批高水平地方高校建设试点,教育部一流学科建设高校。
(上下滑动查看)



南京理工大学
南京理工大学是隶属于工业和信息化部的全国重点大学,坐落在钟灵毓秀、虎踞龙蟠的古都南京。学校由创建于1953年的新中国军工科技最高学府——中国人民解放军军事工程学院(简称“哈军工”)分建而成,经历了炮兵工程学院、华东工程学院、华东工学院等发展阶段,1993年更名为南京理工大学。
(上下滑动查看)





艺术类录取规则
河北:综合成绩=文化课成绩×30%+美术统考成绩/美术统考满分×750×70%
江苏:综合成绩=[文化课成绩/文化课满分×60% +美术统考成绩/美术统考满分×40%]×750
浙江:综合成绩=文化课成绩+美术统考成绩
安徽:综合成绩=文化课成绩/文化课满分×300+美术统考成绩/美术统考满分×700
山东:综合成绩=美术统考成绩×750/300×70%+文化课成绩×30%
河南:综合成绩=文化课成绩+美术统考成绩
湖南:综合成绩=文化课成绩×30%+美术统考成绩×70%


中国矿业大学(北京)
中国矿业大学(北京)是教育部直属的全国重点高校、国家“211工程”、“985优势学科创新平台项目”、世界一流学科建设高校,是全国首批产业技术创新战略联盟高校,同时也是教育部与原国家安全生产监督管理总局共建高校。学校有两个校区:学院路校区坐落于北京市高校云集的海淀区学院路,沙河校区坐落于北京市昌平沙河高教区。

"3+1+2"综合改革省份

"3+3"综合改革省份

南京邮电大学
南京邮电大学是国家“双一流”建设高校和江苏高水平大学建设高校,其前身是1942年诞生于山东抗日根据地的八路军战邮干训班,是我党、我军早期系统培养通信人才的学校之一。1958年经国务院批准改建为本科高校,取名南京邮电学院;2005年4月,更名为南京邮电大学。
南京邮电大学2021年江苏省本科批次投档线:

2021年招录可查询批次(更新中):

南京师范大学
南京师范大学是国家“双一流”建设高校和江苏高水平大学建设高校。2015年成为教育部与江苏省共建高校。2017年入选国家“双一流”建设高校。学校拥有仙林、随园、紫金三个校区,随园校区有着“东方最美丽的校园”之美誉。
2021年江苏本科普通批投档线:


江南大学
江南大学是教育部直属、国家“211工程”重点建设高校和一流学科建设高校。学校具有悠久的办学历史、厚重的文化积淀,源起1902年创建的三江师范学堂,历经国立中央大学、南京大学等发展时期;1958年南京工学院食品工业系整建制东迁无锡,建立无锡轻工业学院;1995年更名为无锡轻工大学;2001年无锡轻工大学、江南学院、无锡教育学院合并组建江南大学;2003年东华大学无锡校区并入江南大学。
(上下滑动查看)
一、本一批/本科批

广东各专业组录取分数线

福建各专业组录取分数线

重庆各专业组录取分数线

河北各专业录取分数线

上海各专业组录取分数线

湖北各专业组录取分数线

山东各专业录取分数线

湖南各专业组录取分数线
辽宁各专业录取分数线

北京各专业组录取分数线

江苏各专业组录取分数线


浙江各专业录取分数线

天津各专业组录取分数线

二、国家专项计划
录取结束省份:河北、山西、内蒙古、广西、青海、宁夏、黑龙江、安徽、四川、河南、云南、贵州、甘肃、江西、海南、吉林、陕西、重庆、新疆、湖北
三、高校专项计划
录取已全部结束:内蒙古、青海、江苏、河南、浙江、湖南、广西、黑龙江、云南、江西、辽宁、海南、广东、山东、安徽、山西、甘肃、湖北、贵州、河北、陕西、福建、四川、吉林、新疆、重庆。
四、高水平运动队
录取结束省份:浙江、上海、江苏、黑龙江、福建、吉林
五、少数民族预科班
已结束录取:内蒙古、广西、宁夏、甘肃
六、其他类型
已结束录取:华侨港澳台联招、台湾学测、南疆计划
七、艺术类
录取已全部结束。
校 考
(一)美术设计类
(二)舞蹈编导
省统考
(一)美术设计类
(二)音乐学(师范)
南京林业大学
南京林业大学坐落于风景秀丽的紫金山麓、碧波荡漾的玄武湖畔,是中央与地方共建的省属重点高校,于2017年入选国家“双一流”建设高校名单。
学校前身为中央大学(创建于1902年)森林系和金陵大学(创建于1910年)森林系,1952年合并组建的南京林学院,是当时全国仅有的三所高等林业院校之一。
(上下滑动查看)





南京信息工程大学
南京信息工程大学是国家“双一流”建设高校,是江苏高水平大学建设重点支持高校。学校始建于1960年,应新中国国家战略和国民经济建设需求而生,隶属中央(军委)气象局,前身为南京大学气象学院,1963年独立建校为南京气象学院,1978年列入全国重点大学,2004年更名为南京信息工程大学。2007年以来,先后实现了江苏省人民政府、中国气象局、教育部、国家海洋局的多方共建。现为以江苏省管理为主的中央与地方共建高校。
(上下滑动查看)


华中农业大学
学校前身是清朝光绪年间湖广总督张之洞1898年创办的湖北农务学堂。几经演变,1952年,武汉大学农学院和湖北农学院的全部系科以及中山大学等6所综合性大学农学院的部分系科组建成立华中农学院。1979年,经国务院批准列为全国重点大学,直属农业部。1985年,更名为华中农业大学。2000年,由农业部划转教育部直属领导。2005年,进入国家“211工程”建设行列。2017年,列入国家“双一流”建设行列。
(上下滑动查看)

武汉理工大学
武汉理工大学是教育部直属全国重点大学,是首批列入国家“211工程”和“双一流”建设高校,是教育部和交通运输部等部委共建高校。
(上下滑动查看)
广东:

福建:

四川:

北京:

天津:

河北:

山西:

内蒙古:

辽宁:

吉林:

黑龙江:

上海:

江苏:

浙江:

安徽:

福建:
福建:
江西:
山东:
河南:
广东:
重庆:
四川:
贵州:
云南:
中国地质大学(武汉)
中国地质大学是教育部直属全国重点大学, 是国家批准设立研究生院的大学,是国家“211工程”、国家“双一流”建设高校。中国地质大学位于武汉东湖之畔,南望山麓,学校以地球科学为主要特色,学科涵盖理学、工学、文学、管理学、经济学、法学、教育学、艺术学等门类,地质学、地质资源与地质工程2个一级学科入选“双一流”建设学科。




版权声明:我们致力于保护作者版权,注重分享,被刊用文章【各大学投档线2017(全国53所重点大学各省投档线汇总)】因无法核实真实出处,未能及时与作者取得联系,或有版权异议的,请联系管理员,我们会立即处理! 部分文章是来自自研大数据AI进行生成,内容摘自(百度百科,百度知道,头条百科,中国民法典,刑法,牛津词典,新华词典,汉语词典,国家院校,科普平台)等数据,内容仅供学习参考,不准确地方联系删除处理!;
工作时间:8:00-18:00
客服电话
电子邮件
beimuxi@protonmail.com
扫码二维码
获取最新动态
