计算机考研近年确实内卷,但也不要无限放大,因为不仅咱们计算机卷,法学、医学、会计、新传等专业跟我们一样卷,而所有考研的“卷”在公务员考试面前都是弟弟(三年后你们考个公务员就知道什么是真正的“卷”)。
小编无意为“内卷”辩护,因为没有必要,更重要的是,目前改变不了(小编当年考研也骂过内卷啊,但没用)。小编最怕在当前“卷然成风”的环境下,小伙伴们把“内卷”当成我们逃避的万能借口。真的不要抱怨为什么没早几年考研,其实每个时代有每个时代的机会:当所有人都认为中国的电子商务只剩淘宝和京东的时候,电子商务领域已经成为超级红海的时候,2015年拼多多起来了,它只用了3年的时间,市值就超过了京东,电商领域的老大淘宝目前面对拼多多也是严阵以待。
所以,你在抱怨的时候,就是别人在默默发育的时候。抱怨永远解决不了问题。真正努力的人,一定都有回报,一定有!这个回报有时候回滞后一些,让你感觉白干了,白努力了,但其实在日后它会以另外一种形式偿还你。不要被别人带起焦虑情绪,保持自己的节奏。不要假装努力,感动自己,要真正的复习效率。
“内卷”一词成了近年考研最热的词汇,尤其是计算机专业,在网络的各大考研内卷专业排名中,计算机专业几乎都榜上有名,几乎没人会否则计算机考研内卷的存在。
今年最先出分的上海大学,第一年专业课改成统考408,专硕383分排到了31名,几乎宣告了今年计算机考研“内卷”的开始。
接着,中国科学技术大学强势接力,计算机学院复试名单平均分超过400分!而中国科学技术大学软件学院(即“科软”)的电子信息(软件工程专硕)388分的复试线创下了历史新高!我们可以根据下面的图表看见,中国科学技术大学电子信息(软件工程专硕)近3年分数线如下:
根据网传的科软群统计消息,科软今年专硕今年的分数情况如下:
中国科学技术大学软件学院,单单一个学院360分以上达到1000人!而且这1000人中会有将近一半会因进不去复试或者复试被淘汰而加入调剂大军。
其实不仅仅是985、211院校的情况如此,很多普通院校的分数同样是水涨船高。例如,我们可以看到杭州电子科技大学计算机学院的计算机科学与技术(计算机学硕)和电子信息专硕的一志愿录取名单。
▍初试科目① 101 思想政治理论
② 201 英语一
③ 301 数学一
④ 408计算机学科专业基础综合
我们都知道杭州电子科技大学的计算机学硕和电子信息专硕都是考数一、英一,专业课考408,并且有不少的考生的初试分数已经突破了400+。我们要知道,这个分数是完全可以进入浙江的另外一所TOP级别的985高校浙江大学的复试。
小编之前和一位今年的考生聊天时了解到他的情况,报考石家庄铁道大学计算机专硕,分数320分排名70。今年的招生人数是48人,按照1.5:1的复试录取比堪堪进入复试。而去年的情况是招生49人,进入复试72人,最后一名264分,也就是说:差不多相同的排名,该校两年的分数线相差60分!
那么,是不是所有计算机考研院校都那么“卷”呢?答案显然是否定的。去年很多高校“卷到爆炸”,也有不少院校“冷到爆炸”。、
首先从985高校开始说起~
吉林大学软件学院的软件工程专硕原本计划是在21年取消招收,后来因为一些特殊原因,又开始恢复招生,但是招生人数相比20考研缺大幅度缩小。正是由于这样,吉林大学软件工程专硕在今年“爆冷”,330+的分数即可进入复试,并且一志愿还没有招收满,额外招收9名调剂。
21考研吉林大学软件学院招生目录和复试录取情况
同样也是东北的985高校之一的大连理工大学,今年其电子信息与电气工程学部的电子信息和软件学院的软件工程都遭遇了“爆冷“的现象。
我们通过去年大连理工大学的改考史可以发现:21考研大连理工大学计算机的专业课由810数据结构与计算机组成原理改考为810数据结构。
专业课由原来的两门改考为一门,这种逆潮流的改革(大部分高校专业课改革都是增加考试科目)意味着大连理工大学计算机的专业课总体程度上是变简单的。按照道理来讲,专业课考察变得简单,报考人数一般会增加,但结果与预期相反,21级大连理工报考热度反而下降。
我们下面的数据可以看出:大连理工大学电子信息与电气工程学部的电子信息(专硕)复试的最低分是325分,其复试分数线竟然比计算机科学与技术专业(学硕)的复试分数线还低(一般情况下,因为专硕招生较多,公共课考察数二和英二,报考热度高于学硕,所以专硕复试分数线一般高于学硕)。而软件学院的软件工程(学硕)的复试最低分才314分。大连理工大学,作为东北地区的老牌985高校,在今年确实算是容易上岸的985高校。
大连理工大学21考研数据
再拿一所在今年举办了100周年校庆的南昌大学来举个例子!
南昌大学,211院校,位于江西省南昌市,计算机学科评估C+,软件工程学科评估没有参与评估。南昌大学有两个单位招收计算机类的研究生,分别是:信息工程学院和软件学院(即网络空间安全学院)。
南昌大学是一个比较低调的211院校了,仅考数据结构,分数线也不算高,往年的招生一直比较平稳。其专业课在9月份从数据结构改考到408统考之后,一门变四门,让很多没有准备的同学们措手不及,3个月完成另外3门课程的学习或许也是导致今年网安专业一志愿无人上线的情况出现的原因。
南昌大学软件学院招生信息
软件学院21年电子信息(软件工程)专业招生计划数39人,一志愿上线35人参加复试。网络空间安全专业招生计划数10人(含推免生1人),但一志愿上线0人,生源不足的网安专业要通过调剂完成招生计划,调剂复试26人,最高分:382,最低分:305分,平均分:339分。
南昌大学软件学院招生信息
我们可以看到,更改完408的南昌大学,今年的考研难度是急剧缩减,国家线即可进复试,而且网络空间安全甚至无人报考。
说完211高校,再来说一说双非高校吧~
广东工业大学计算机学硕和软件工程学硕在去年9月份改考408统考(原829数据结构自主命题),结果学硕的录取分数为国家线,并且软件工程学硕只有1人上岸(国家线即可复试),并且招收调剂。专硕同样进行改考,由原自主命题831C语言和数据结构改为869数据结构和计算机网络,进复试分数同样是比去年(340+)低的非常多。
再来看一看另外一所双非高校——燕山大学!燕山大学是今年全网最早公布一志愿复试名单的高校。燕山大学官网公布2021年硕士研究生一志愿待录取名单!计算机相关专业一志愿大量缺额,需要招收调剂名额130+。
燕山大学计算机科学与技术专业招生信息
燕山大学电子信息(计算机技术)专业招生信息
计算机科学与技术
拟招70(原招生计划为74)
分数线 263
已经拟录取 39人
录取最高分 359分
录取最低分 263分
录取平均分 286分
复试刷人1人
电子信息(计算机技术)
拟招 112 (原招生计划为110)
分数线 263
已经拟录取 11人
录取最高分 366人
录取最低分 268人(士兵计划、单考生除外)
录取平均分 294分
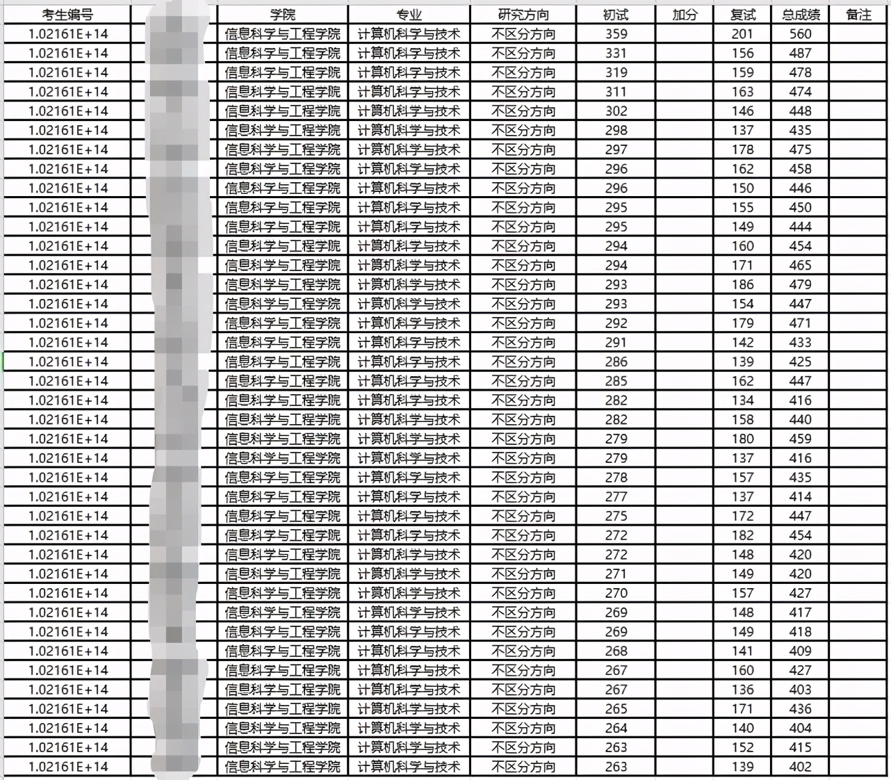
故燕山大学信息科学与工程学院复试录取情况如下(复试名单中电子信息无法区分方向,合并统计):
在图表中,我们可以看到,燕山大学的计算机学硕和计算机专硕的缺额都是非常多的,学硕缺额31个,而专硕达到101个。
纵观上述所列举的高校,我们可以发现知名院校高分云集,部分非知名院校无人问津(当然也出现了名校“爆冷”的情况)。而在出分之后,无缘一志愿复试的考生又蜂拥至非知名院校造成二次内卷,一志愿过国家线就能上的学校,考350分的调剂生可能还要争个头破血流。
考研想要考知名院校无可厚非,大家考研都是为了更好学历背景。选择比努力更重要一直是考研圈流传的经典语录,分析自己的考研需求,寻找与匹配的学校,看清形势不盲从,才是最正确的心态。同样调剂也是,绝大部分一志愿985的调剂生,都没有机会调剂到211院校。
最后,小编再次提醒今年考研的小伙伴:停止抱怨,你在抱怨的时候,就是别人在默默发育的时候。抱怨永远解决不了问题。不要在年级轻轻的时候还未取得任何成就的时候,真的傻乎乎地相信网上的所谓的“躺平学”,考研再痛苦也就一年,加油干吧。
如果觉得小编这篇文章写得不错,给我们点个关注吧!
版权声明:我们致力于保护作者版权,注重分享,被刊用文章【广东工业大学计算机学院(计算机)】因无法核实真实出处,未能及时与作者取得联系,或有版权异议的,请联系管理员,我们会立即处理! 部分文章是来自自研大数据AI进行生成,内容摘自(百度百科,百度知道,头条百科,中国民法典,刑法,牛津词典,新华词典,汉语词典,国家院校,科普平台)等数据,内容仅供学习参考,不准确地方联系删除处理!;
工作时间:8:00-18:00
客服电话
电子邮件
beimuxi@protonmail.com
扫码二维码
获取最新动态
