江苏省泰州中学,是国家级示范高中、江苏省属重点中学、江苏省四星级高中。
江苏省江都中学(Jiangdu High School)是江苏省四星级高中。1982年该校被评为江苏省首批重点中学,2000年4月被江苏省教育厅确认为已达国家级示范高中标准的省级重点中学,2004年12月转评为江苏省四星级高中.
江苏省宜兴中学创建于1928年,其前身为私立宜兴精一中学。 2004年经江苏省教育厅批准转评为“江苏省四星级学校
参考答案
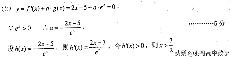
15.
16.
17.
18.
19.
20.
版权声明:我们致力于保护作者版权,注重分享,被刊用文章【江都中学2017高考(2019)】因无法核实真实出处,未能及时与作者取得联系,或有版权异议的,请联系管理员,我们会立即处理! 部分文章是来自自研大数据AI进行生成,内容摘自(百度百科,百度知道,头条百科,中国民法典,刑法,牛津词典,新华词典,汉语词典,国家院校,科普平台)等数据,内容仅供学习参考,不准确地方联系删除处理!;
工作时间:8:00-18:00
客服电话
电子邮件
beimuxi@protonmail.com
扫码二维码
获取最新动态
