亲爱的团员朋友们
“青年大学习”网上主题团课
终于开学啦!
这里是团员青年学习习近平新时代中国特色社会主义思想的大学堂,这里有最时尚的政治学习,每周一上午与大家见面,风雨无阻!
对于“青年大学习”的老朋友,从这一季网上团课开始,我们将取景地拓展到了全国各地,主持人也将在全国范围内遴选,打造全团皆可参与的名副其实的“大”学习平台。
同时,我们还进一步充实了每一期网上团课的信息量,优化了内容包装,增加了“带你逛取景地”版块,相信会给大家带来新的更好的学习体验。
接下来,就让我们共同开启新的学期吧!
关注青春上海微信公众号
长按识别下方二维码
进入学习时间吧
▼
你也可以在青春上海微信公众号菜单
点击“青年大学习”参与
▼
今天,新一期的
也准时出炉啦!
上周又有哪些精彩内容?
赶紧来看↓
一周点评
☆本期位列地区榜第二的青春杨浦贡献了最高单篇阅读推送——《投票丨你心目中的杨浦“社区青年先锋”是谁呢?》。推文展示了33名杨浦区第一批社区青年先锋候选人。他们中有人是哈佛归来的社区垃圾分类推动者,有人是社区足球队的热心教练,有人是居委会和业委会里新来的有想法的年轻人。这次的评选也发出了一个强烈的信号:每一份微小的青年力量,都是宜居社区的助推器。青春徐汇举办了线上活动“辉煌七十年,献礼新时代,那些年我爱的徐汇”照片征集,目前已经是第3期了,每期的传播效果都不错,期待未来能有更多摄影爱好者加入,不断提升活动品质。
☆原本以为本期校园榜的关键词是“开学”,没想到被军训牢牢占据C位。热文榜上足足有7条是军训相关内容。从画报到教官,各家把这个选题全方面进行了挖掘与展示,这里我们向大家推荐《军训特辑 | 上中医“迷彩天团”出没,究竟谁是最萌的TA?》一文。文中展示了16幅风格各异的动漫作品。原来杏林学子里卧虎藏龙,大家用画笔展现着军训中的故事与教官风采。漫画作为一种当下极受欢迎的内容呈现形式,往往能让故事更生动,进一步提升阅读体验。相信这一次的征集选拔,也让中医青年找到了能用漫画讲故事的校园画手,假以时日,更多精彩的校园故事将以条漫的形式出现在我们面前,以生动、有趣的形式,讲述年轻人自己的生活与成长。
☆暑假都发生了些什么事儿? SMG青团和团聚鑫青不约而同展示了暑期里发生的趣味活动。《画画,太上头!当国画遇上油画,谁会赢得这场battle?》展现了SMG青团这些年的社群建设,ARTPLUS俱乐部已经成为了众多文艺员工的“心灵归属”。一条微信综合回顾了油画和国画两场活动,把学院的作品作为亮点展示,我们看到的是精彩纷呈的团青活动,更是这个社群的稳固成长,比如国画的老师便是社群的成员。同时,社群也已经拥有了自己的logo,逐步走向成熟、成为专业。另一边的团聚鑫青则展现了一个童真世界。上海农商银行闵行支行,利用银行专业优势,以青年团员志愿者为依托,在暑假里为爱心暑托班带来了“小小金融家”财商课程。31位农商人,累计上课接近100节,全覆盖闵行区14个街、镇(工业区)。视频和图文的回顾让我们生动了解了课堂,这样的活动设计,不仅丰富了孩子们的暑期生活,也提升上海农商银行品牌影响力和认知度。团青活动无论是对内还是对外,都大有可为!
一周榜单
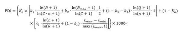
PDI指数是什么
青春上海携手上海交通大学大数据与传播创新实验室(T-Lab)打造全新的PDI(Pandata Index)全景数据评估指数,拒绝过度关注点赞数,更认真地统计峰值,认同潜力值,立志于更科学地为新媒体传播做测算:
文章发布时段:2019年9月1日~2019年9月7日
数据收录时间:2019年9月9日 10:00
Act+一周福利
1、开心麻花《开心YAO玩》首个主题互动展
报名截止时间:2019/09/17
地点:上海市浦东世纪汇广场
2、好乐迪免费欢唱券等你来拿
报名截止时间:2019/09/16
3、“集合准备团战!”王者世界探秘之旅,召唤师你准备好了吗?
报名截止时间:2019/09/29
4、轻松学习编程,做未来科技体验官体验编程的趣味
报名截止时间:2019/09/12
地点:上海市徐汇区淮海中路1325号瑞力大厦3层(常熟路口)
5、年年断货王!美心月饼终于来了!网红爆款,错过再等一年!
报名截止时间:2019/09/20
地点:上海市黄浦区南京东路414号
文字:CCQ 数据汇总:Nala 制表:吴佳斐
Act+福利:朱琳琦
内容整合:塔哥
责任编辑:唐昱霄
青年大学习
一起来学习
版权声明:我们致力于保护作者版权,注重分享,被刊用文章【青年大学习网址(青年大学习)】因无法核实真实出处,未能及时与作者取得联系,或有版权异议的,请联系管理员,我们会立即处理! 部分文章是来自自研大数据AI进行生成,内容摘自(百度百科,百度知道,头条百科,中国民法典,刑法,牛津词典,新华词典,汉语词典,国家院校,科普平台)等数据,内容仅供学习参考,不准确地方联系删除处理!;
工作时间:8:00-18:00
客服电话
电子邮件
beimuxi@protonmail.com
扫码二维码
获取最新动态
