校歌是校园文化的重要组成部分,是一个学校对内的号召和激励,对外的形象展示和宣言,其反映的既有办学者、教育者的理想、要求、愿望,又有受教育者的感受、追求和成长心声。明天是4月16日,适逢世界嗓音日来临之际,在提醒大家爱护嗓音健康的同时,让我们重温欣赏一下那些文采飞扬、传唱经典的大学校歌。
西南联大, 全称国立西南联合大学,由国立清华大学、国立北京大学、私立南开大学组成的国立长沙临时大学1938年迁至昆明而成。1938年10月,西南联大常委会成立“校歌校训委员会”,聘冯友兰、朱自清、罗常培、罗庸、闻一多为委员,冯友兰任主席。1939年6月30日,校歌委员会同意接受张清常的乐谱和《满江红》词。
《满江红》
词:罗庸、冯友兰 曲:张清常
万里长征,辞却了五朝宫阙,暂驻足衡山湘水,又成离别。绝徼移栽桢干质,九州遍洒黎元血。尽笳吹,弦诵在山城,情弥切。
千秋耻,终当雪。中兴业,须人杰。便一成三户,壮怀难折。多难殷忧新国运,动心忍性希前哲。待驱除仇寇,复神京,还燕碣。
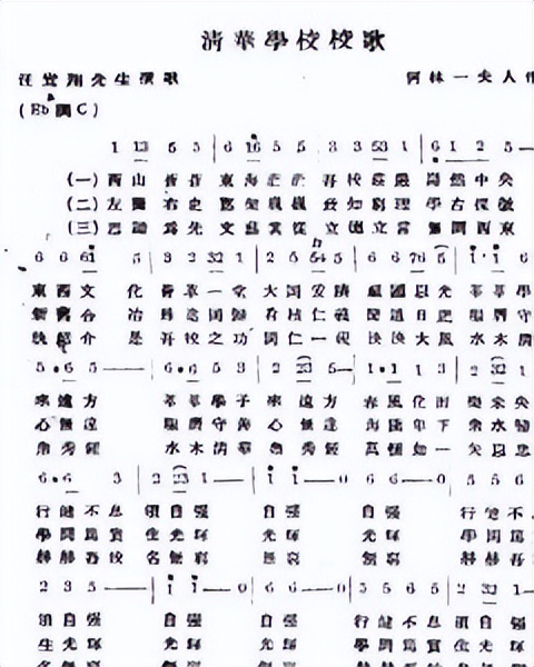
《清华大学校歌》是一首由汪鸾翔先生作词,张慧珍女士作曲的清华大学校歌,于1923年前后评审。该校歌是中国优秀传统文化的结晶,体现出了中国的传统文化,同时又能符合学校校训,践行了清华教育的宗旨。
《清华大学校歌》
词:汪鸾翔 曲:张慧珍
第一段:
西山苍苍,东海茫茫,吾校庄严,岿然中央。
东西文化,荟萃一堂,大同爰跻,祖国以光。
莘莘学子来远方,莘莘学子来远方。
春风化雨乐未央,行健不息须自强。
自强,自强,行健不息须自强!
自强,自强,行健不息须自强!
第二段:
左图右史,邺架巍巍,致知穷理,学古探微。
新旧合冶,殊途同归,肴核仁义,闻道日肥。
服膺守善心无违,服膺守善心无违。
海能卑下众水归,学问笃实生光辉。
光辉,光辉,学问笃实生光辉!
光辉,光辉,学问笃实生光辉!
第三段:
器识为先,文艺其从,立德立言,无问西东。
孰绍介是,吾校之功,同仁一视,泱泱大风。
水木清华众秀钟,水木清华众秀钟。
万悃如一矢以忠,赫赫吾校名无穷。
无穷,无穷,赫赫吾校名无穷!
无穷,无穷,赫赫吾校名无穷!
(注:在广泛流传的版本中,“岿然”一作“巍然”,“器识为先”一作“器识其先”,“孰绍介是”一作“孰介绍是”,“无穷”一作“无穹”。根据清华大学校史馆资料,前者为原版老校歌歌词。)
北京大学准校歌 《燕园情》
此曲作于1952年北大迁入燕园之后。歌词先对五四先哲的夙求和西南联大的颠沛作了回顾,然后抒写今日学子的读书报国之志。尽管至今为止北京大学没有正式的校歌,但《燕园情》在北大学子之中是代代相传下来的传唱最广的歌曲。
词:周保平 曲:孟卫东
红楼飞雪,一时英杰,先哲曾书写,爱国进步民主科学。
忆昔长别,阳关千迭,狂歌曾竞夜,收拾山河待百年约。
我们来自江南塞北,情系着城镇乡野;
我们走向海角天涯,指点着三山五岳。
我们今天东风桃李,用青春完成作业;
我们明天巨木成林,让中华震惊世界。
燕园情,千千结,问少年心事,
眼底未名水,胸中黄河月。
梁启超说:“少年智则国智,少年富则国富;少年强则国强,少年独立则国独立;少年自由则国自由;少年进步则国进步;少年胜于欧洲,则国胜于欧洲;少年雄于地球,则国雄于地球。红日初升,其道大光 。河出伏流,一泻汪洋。”愿我们在聆听那些经典传唱的校歌中,眼里有光亮,心中存山河,能不负这份未来的责任与期盼。
清荷山房
回归生命本真之美
版权声明:我们致力于保护作者版权,注重分享,被刊用文章【清华大学校歌歌词(有一种文采飞扬的经典)】因无法核实真实出处,未能及时与作者取得联系,或有版权异议的,请联系管理员,我们会立即处理! 部分文章是来自自研大数据AI进行生成,内容摘自(百度百科,百度知道,头条百科,中国民法典,刑法,牛津词典,新华词典,汉语词典,国家院校,科普平台)等数据,内容仅供学习参考,不准确地方联系删除处理!;
工作时间:8:00-18:00
客服电话
电子邮件
beimuxi@protonmail.com
扫码二维码
获取最新动态
