学医到底好不好?有人说:劝人学医、天打雷劈,意思就是说学医比较苦、比较累,要比一般人付出更艰辛的努力;也有人说:一人学医、全家受益,学医是苦,但如果能够学成归来,顺利进入医院工作的话,也有一个令人羡慕的好工作。
对于四川考生来讲,如果想要报考医学院校,省内就有几所不错的高校可供选择,比如四川大学、电子科技大学、西南医科大学、川北医学院、西南交通大学等,这些院校都有医学院,可满足不同层次考生志愿报考的需要。
本文将着重介绍一下西南医科大学,重点介绍学校2021年在四川省本科各批次的录取情况。2021年,西南医科大学在四川省本科提前批、本科一批(含预科)、本科二批、国家专项、地方专项、帮扶专项等都有招生,下面我们分批次逐一展开介绍。
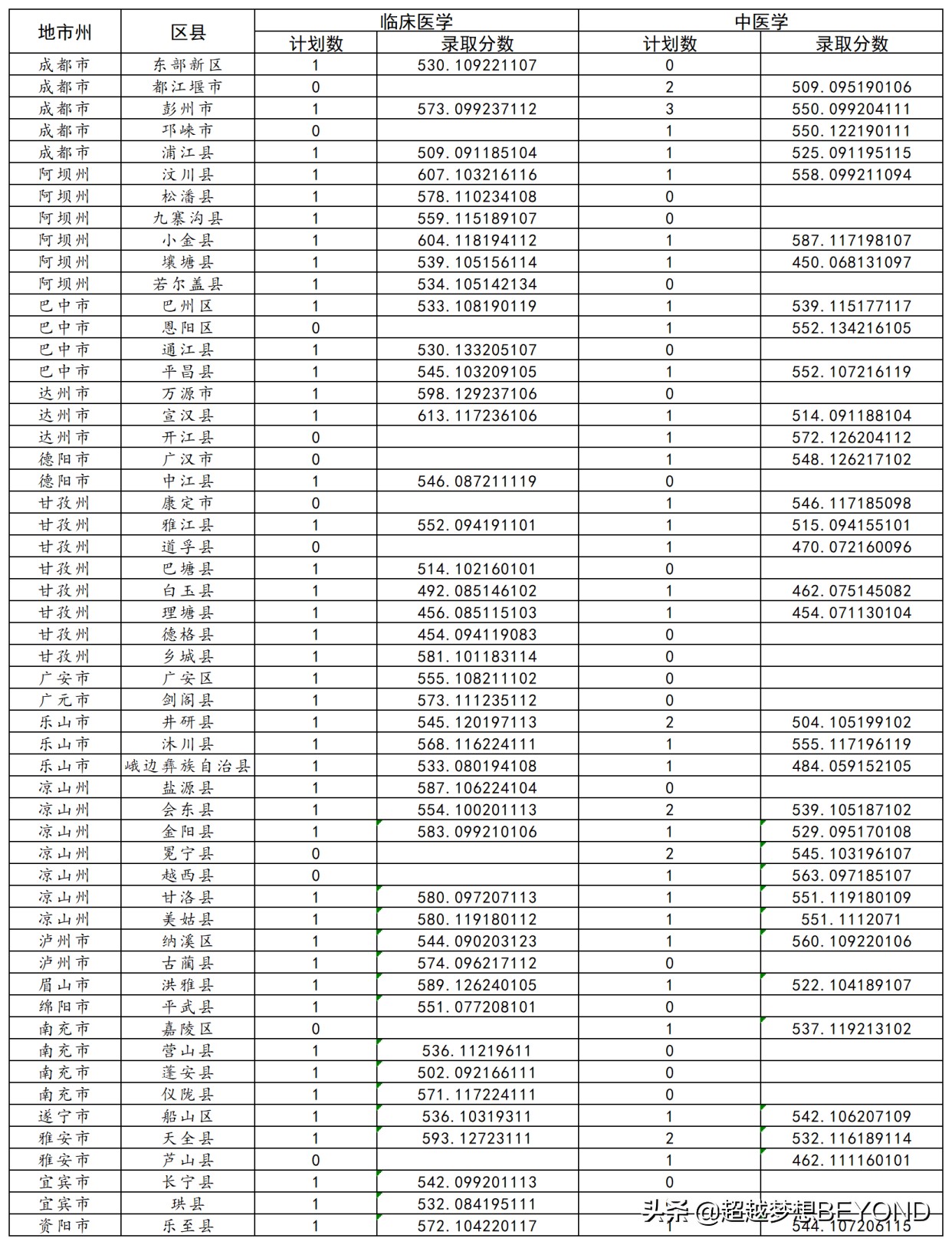
2021年,西南医科大学免费医学定向生共招生有临床医学、中医学两个专业,面向成都、阿坝、巴中、达州、德阳、甘孜、广安、广元、乐山、凉山、泸州、眉山、绵阳、南充、遂宁、雅安、宜宾、资阳等18个地市州的54个县(市、区)招生。
临床医学和中医学两个专业在各县(市、区)的录取分数线统计情况,详见下表。
2021年,西南医科大学在四川省本科一批共招生有18个专业,其中理科专业16个、文科专业2个。
理科专业录取分数线最高的是口腔医学(613分),其次是麻醉学(600分),临床医学排名第三(597分),另外医学影像学、儿科学录取分数线也都在590分以上;文科专业录取分数线最高的是中医学(560分),详见下表。
西南医科大学在四川省本科二批招生的均为非医学类专业,2021年共有10个理科专业、6个文科专业参与招生。
其中,理科录取最高分582分(英语)、最低分512分,最低分超过省控线82分;文科录取最高分555分(法学)、最低分533分,最低分超过省控线59分,详见下表。
除了免费医学定向生、本科一批、二批之外,西南医科大学在四川省还招生有国家专项、地方专项、帮扶专项和预科班等,详细录取情况如下:
(1)国家专项理科招生100人,投档最高分637分、最低分545分(含征集);
(2)地方专项招生理科招生115人,投档最高分618分、最低分527分(含征集);文科招生25人,投档最高分569分、最低分548分(含征集)。
(3)帮扶专项理科招生20人,投档最高分582分、最低分521分(含征集)。
(4)一本预科理科招生37人,投档最高分567分、最低分507分;一类模式本科一批预科文科招生8人,投档最高分454分、最低分431分。
从以上统计结果来看,西南医科大学2021年在四川省的录取情况还是不错的,特别是医学类专业录取分数线比较高,如口腔医学、麻醉学、临床医学、儿科学、医学影像学等专业,这也说明了考生们还是比较热衷于学医的。
除了西南医科大学,四川省还有一所独立设置的医学本科院校-川北医学院,您觉得这两所院校相比,各有什么优势,哪所院校的录取分数更高一些?欢迎大家留言评论。【End】
(注:文中所用图表来源于西南医科大学本科招生信息网,仅供宣传学校之用,如有侵权,联系删除。)
版权声明:我们致力于保护作者版权,注重分享,被刊用文章【西南医科大学在哪(西南医科大学2021年四川省本科专业录取分数统计)】因无法核实真实出处,未能及时与作者取得联系,或有版权异议的,请联系管理员,我们会立即处理! 部分文章是来自自研大数据AI进行生成,内容摘自(百度百科,百度知道,头条百科,中国民法典,刑法,牛津词典,新华词典,汉语词典,国家院校,科普平台)等数据,内容仅供学习参考,不准确地方联系删除处理!;
工作时间:8:00-18:00
客服电话
电子邮件
beimuxi@protonmail.com
扫码二维码
获取最新动态
